Номер 3.38, страница 151 - гдз по алгебре 9 класс учебник Арефьева, Пирютко

Алгебра, 9 класс Учебник, авторы: Арефьева Ирина Глебовна, Пирютко Ольга Николаевна, издательство Народная асвета, Минск, 2019, голубого цвета

Авторы: Арефьева И. Г., Пирютко О. Н.

Тип: Учебник

Издательство: Народная асвета

Год издания: 2019 - 2026

Цвет обложки: голубой, синий с графиком

ISBN: 978-985-03-3077-2

Допущено Министерством образования Республики Беларусь

Популярные ГДЗ в 9 классе

Глава 3. Дробно-рациональные уравнения и неравенства. Параграф 10. Дробно-рациональные уравнения - номер 3.38, страница 151.

№3.38 (с. 151)
Условие. №3.38 (с. 151)
скриншот условия
Алгебра, 9 класс Учебник, авторы: Арефьева Ирина Глебовна, Пирютко Ольга Николаевна, издательство Народная асвета, Минск, 2019, голубого цвета, страница 151, номер 3.38, Условие

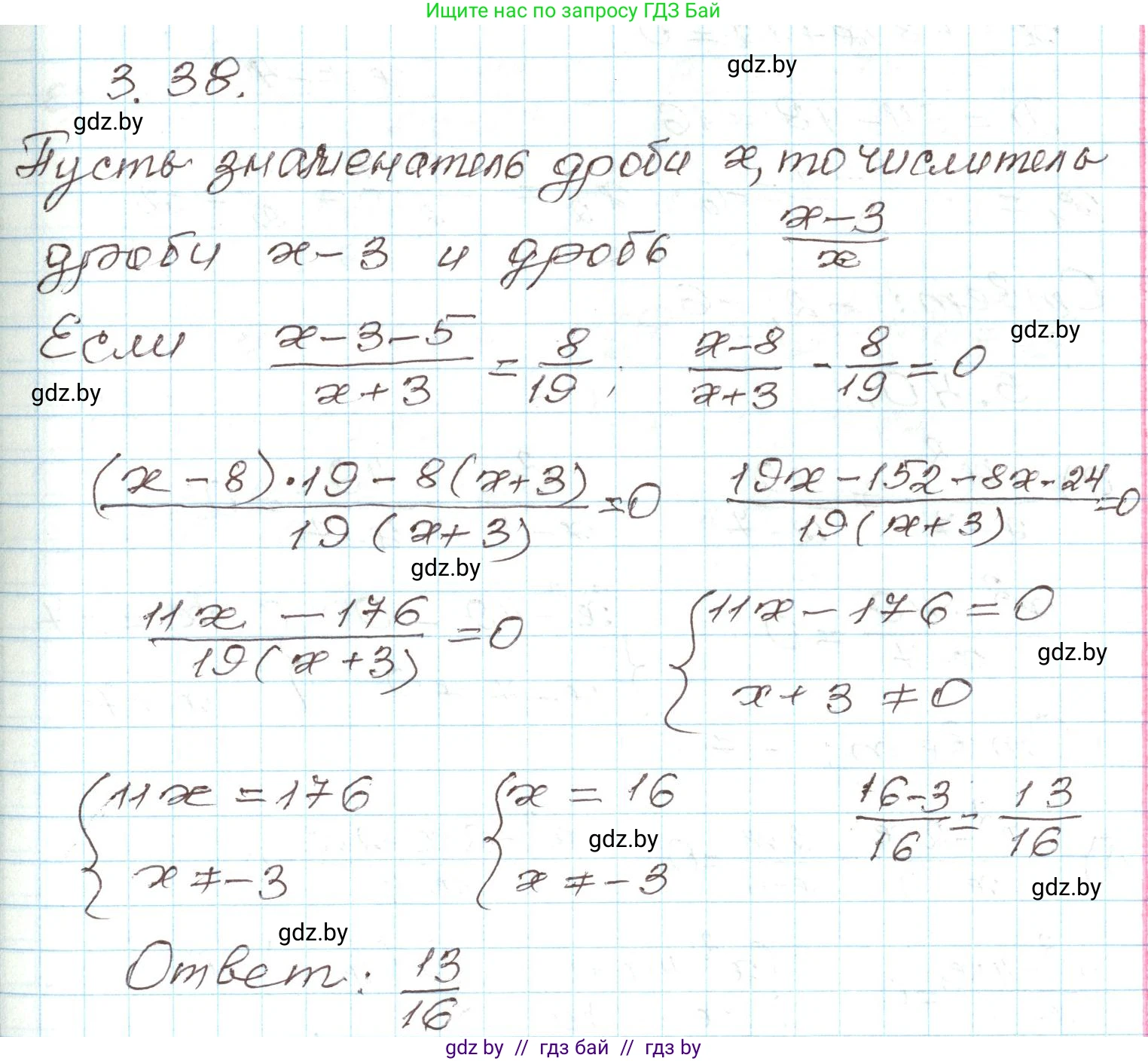
3.38. Числитель обыкновенной дроби на 3 меньше знаменателя. Если числитель этой дроби уменьшить на 5, а знаменатель увеличить на 3, то получится дробь $\frac{8}{19}$. Найдите исходную дробь.

Решение. №3.38 (с. 151)
Алгебра, 9 класс Учебник, авторы: Арефьева Ирина Глебовна, Пирютко Ольга Николаевна, издательство Народная асвета, Минск, 2019, голубого цвета, страница 151, номер 3.38, Решение
Решение 2. №3.38 (с. 151)

Для решения задачи введем переменную. Пусть $x$ — это знаменатель исходной дроби.

По условию, числитель обыкновенной дроби на 3 меньше знаменателя. Следовательно, числитель равен $x - 3$.

Таким образом, исходная дробь имеет вид $\frac{x - 3}{x}$.

Далее в условии говорится, что если числитель этой дроби уменьшить на 5, а знаменатель увеличить на 3, то получится новая дробь. Выполним эти преобразования:

  • Новый числитель: $(x - 3) - 5 = x - 8$.
  • Новый знаменатель: $x + 3$.

Новая дробь будет равна $\frac{x - 8}{x + 3}$.

Известно, что полученная дробь равна $\frac{8}{19}$. Мы можем составить уравнение:

$\frac{x - 8}{x + 3} = \frac{8}{19}$

Чтобы решить это уравнение, воспользуемся основным свойством пропорции (произведение крайних членов равно произведению средних):

$19 \cdot (x - 8) = 8 \cdot (x + 3)$

Раскроем скобки в обеих частях уравнения:

$19x - 152 = 8x + 24$

Теперь перенесем все слагаемые с переменной $x$ в левую часть, а числовые значения — в правую часть уравнения, меняя знаки при переносе:

$19x - 8x = 24 + 152$

Приведем подобные слагаемые:

$11x = 176$

Найдем $x$, разделив обе части уравнения на 11:

$x = \frac{176}{11}$

$x = 16$

Мы нашли знаменатель исходной дроби, он равен 16. Теперь найдем числитель:

$x - 3 = 16 - 3 = 13$

Следовательно, исходная дробь — это $\frac{13}{16}$.

Проверим правильность решения. Исходная дробь $\frac{13}{16}$. Числитель (13) действительно на 3 меньше знаменателя (16). Уменьшим числитель на 5: $13-5=8$. Увеличим знаменатель на 3: $16+3=19$. Получилась дробь $\frac{8}{19}$, что соответствует условию задачи.

Найдите исходную дробь. Ответ: $\frac{13}{16}$.

Помогло решение? Оставьте отзыв в комментариях ниже.

Присоединяйтесь к Телеграм-группе @gdz_by_belarus

Присоединиться

Мы подготовили для вас ответ c подробным объяснением домашего задания по алгебре за 9 класс, для упражнения номер 3.38 расположенного на странице 151 к учебнику 2019 года издания для учащихся школ и гимназий.

Теперь на нашем сайте ГДЗ.ТОП вы всегда легко и бесплатно найдёте условие с правильным ответом на вопрос «Как решить ДЗ» и «Как сделать» задание по алгебре к упражнению №3.38 (с. 151), авторов: Арефьева (Ирина Глебовна), Пирютко (Ольга Николаевна), учебного пособия издательства Народная асвета.