Номер 3.44, страница 151 - гдз по алгебре 9 класс учебник Арефьева, Пирютко

Алгебра, 9 класс Учебник, авторы: Арефьева Ирина Глебовна, Пирютко Ольга Николаевна, издательство Народная асвета, Минск, 2019, голубого цвета

Авторы: Арефьева И. Г., Пирютко О. Н.

Тип: Учебник

Издательство: Народная асвета

Год издания: 2019 - 2026

Цвет обложки: голубой, синий с графиком

ISBN: 978-985-03-3077-2

Допущено Министерством образования Республики Беларусь

Популярные ГДЗ в 9 классе

Глава 3. Дробно-рациональные уравнения и неравенства. Параграф 10. Дробно-рациональные уравнения - номер 3.44, страница 151.

№3.44 (с. 151)
Условие. №3.44 (с. 151)
скриншот условия
Алгебра, 9 класс Учебник, авторы: Арефьева Ирина Глебовна, Пирютко Ольга Николаевна, издательство Народная асвета, Минск, 2019, голубого цвета, страница 151, номер 3.44, Условие

3.44. Найдите корни уравнения:

а) $\frac{12}{x-1} - \frac{8}{x+1} = 1;$

б) $\frac{x+12}{x+2} + \frac{9}{x} = 2;$

в) $\frac{5x+12}{x+2} - 5 = \frac{x-7}{2-x};$

г) $\frac{x+1}{x-2} + \frac{7}{x+2} = \frac{x+10}{x}.$

Решение. №3.44 (с. 151)
Алгебра, 9 класс Учебник, авторы: Арефьева Ирина Глебовна, Пирютко Ольга Николаевна, издательство Народная асвета, Минск, 2019, голубого цвета, страница 151, номер 3.44, Решение Алгебра, 9 класс Учебник, авторы: Арефьева Ирина Глебовна, Пирютко Ольга Николаевна, издательство Народная асвета, Минск, 2019, голубого цвета, страница 151, номер 3.44, Решение (продолжение 2)
Решение 2. №3.44 (с. 151)

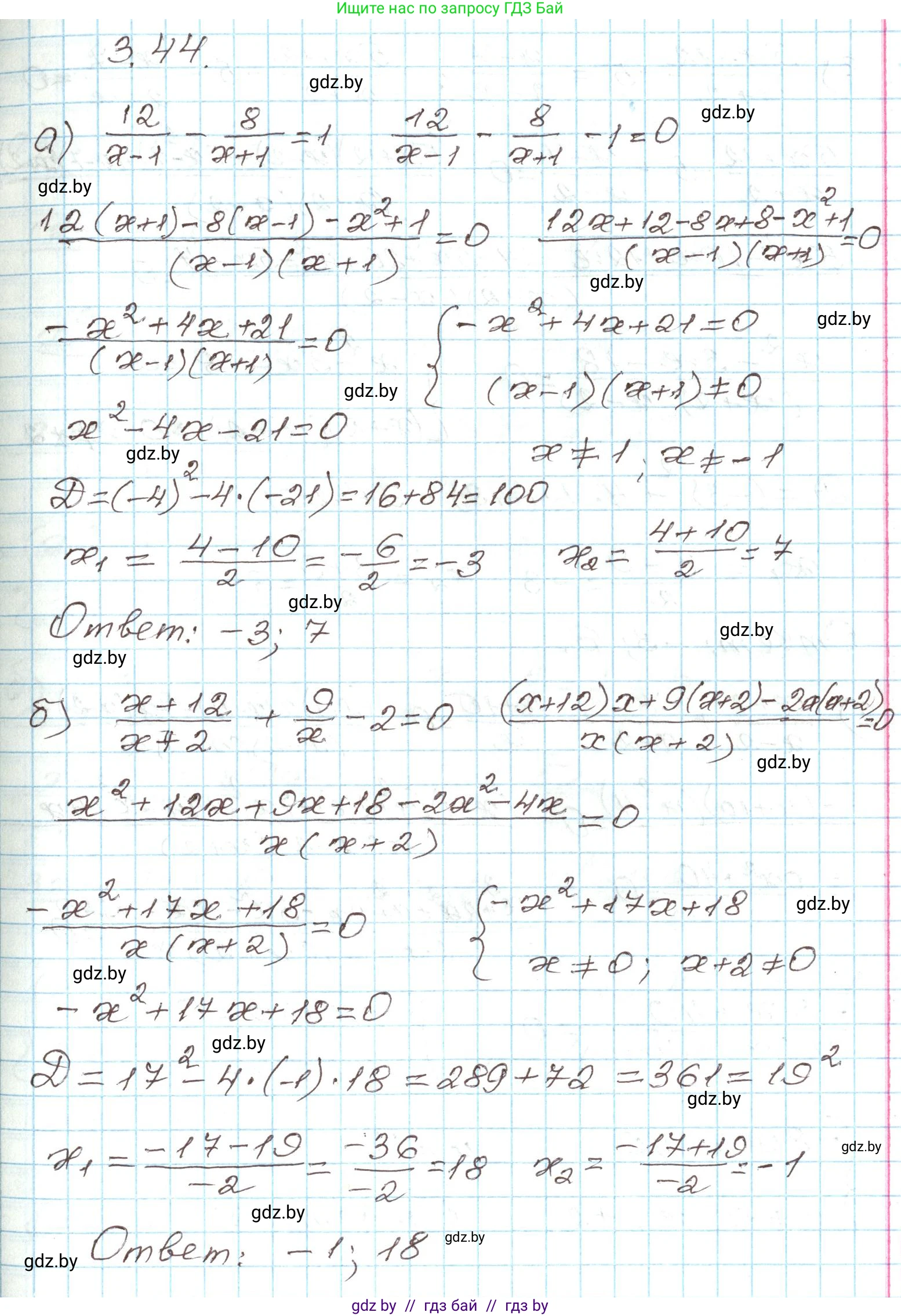
а) $\frac{12}{x-1} - \frac{8}{x+1} = 1$

Область допустимых значений (ОДЗ) уравнения определяется условиями $x-1 \neq 0$ и $x+1 \neq 0$, то есть $x \neq 1$ и $x \neq -1$.

Приведем дроби в левой части к общему знаменателю $(x-1)(x+1)$:
$\frac{12(x+1) - 8(x-1)}{(x-1)(x+1)} = 1$

Умножим обе части уравнения на $(x-1)(x+1)$, так как мы учли, что это выражение не равно нулю в ОДЗ:
$12(x+1) - 8(x-1) = (x-1)(x+1)$
$12x + 12 - 8x + 8 = x^2 - 1$
$4x + 20 = x^2 - 1$

Перенесем все члены в одну сторону, чтобы получить квадратное уравнение:
$x^2 - 4x - 21 = 0$

Решим это уравнение с помощью дискриминанта $D = b^2 - 4ac$:
$D = (-4)^2 - 4 \cdot 1 \cdot (-21) = 16 + 84 = 100$
$x_1 = \frac{-b - \sqrt{D}}{2a} = \frac{4 - 10}{2} = \frac{-6}{2} = -3$
$x_2 = \frac{-b + \sqrt{D}}{2a} = \frac{4 + 10}{2} = \frac{14}{2} = 7$

Оба корня, -3 и 7, входят в область допустимых значений.
Ответ: -3; 7.

б) $\frac{x+12}{x+2} + \frac{9}{x} = 2$

ОДЗ: $x+2 \neq 0$ и $x \neq 0$, то есть $x \neq -2$ и $x \neq 0$.

Умножим все члены уравнения на общий знаменатель $x(x+2)$:
$x(x+12) + 9(x+2) = 2x(x+2)$
$x^2 + 12x + 9x + 18 = 2x^2 + 4x$
$x^2 + 21x + 18 = 2x^2 + 4x$

Приведем к стандартному квадратному уравнению:
$2x^2 - x^2 + 4x - 21x - 18 = 0$
$x^2 - 17x - 18 = 0$

Решим уравнение. Можно использовать теорему Виета: сумма корней равна 17, а их произведение -18. Корни: 18 и -1.
Проверим через дискриминант:
$D = (-17)^2 - 4 \cdot 1 \cdot (-18) = 289 + 72 = 361 = 19^2$
$x_1 = \frac{17 - 19}{2} = \frac{-2}{2} = -1$
$x_2 = \frac{17 + 19}{2} = \frac{36}{2} = 18$

Оба корня, -1 и 18, удовлетворяют ОДЗ.
Ответ: -1; 18.

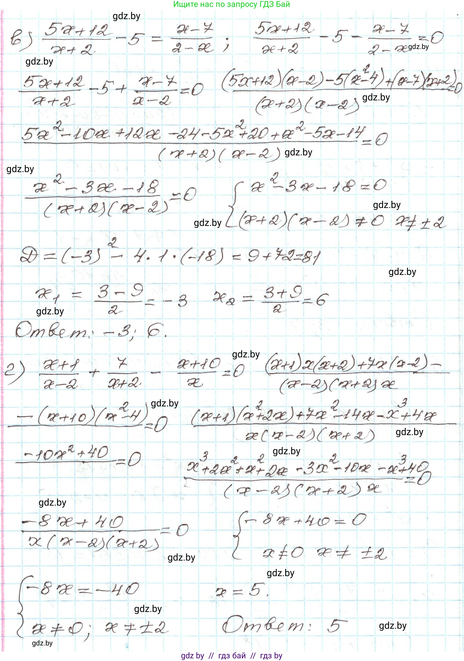
в) $\frac{5x+12}{x+2} - 5 = \frac{x-7}{2-x}$

ОДЗ: $x+2 \neq 0$ и $2-x \neq 0$, то есть $x \neq -2$ и $x \neq 2$.

Заметим, что $2-x = -(x-2)$, поэтому $\frac{x-7}{2-x} = -\frac{x-7}{x-2}$. Перепишем уравнение:
$\frac{5x+12}{x+2} - 5 = -\frac{x-7}{x-2}$

Преобразуем левую часть, приведя к общему знаменателю $x+2$:
$\frac{5x+12 - 5(x+2)}{x+2} = -\frac{x-7}{x-2}$
$\frac{5x+12 - 5x - 10}{x+2} = -\frac{x-7}{x-2}$
$\frac{2}{x+2} = -\frac{x-7}{x-2}$

Используем свойство пропорции (перекрестное умножение):
$2(x-2) = -(x-7)(x+2)$
$2x-4 = -(x^2 - 7x + 2x - 14)$
$2x-4 = -(x^2 - 5x - 14)$
$2x-4 = -x^2 + 5x + 14$

Переносим все в левую часть:
$x^2 + 2x - 5x - 4 - 14 = 0$
$x^2 - 3x - 18 = 0$

По теореме Виета, сумма корней равна 3, произведение -18. Корни: 6 и -3.
$x_1 = -3, x_2 = 6$.

Оба корня удовлетворяют ОДЗ.
Ответ: -3; 6.

г) $\frac{x+1}{x-2} + \frac{7}{x+2} = \frac{x+10}{x}$

ОДЗ: $x-2 \neq 0$, $x+2 \neq 0$ и $x \neq 0$, то есть $x \neq 2$, $x \neq -2$ и $x \neq 0$.

Приведем левую часть к общему знаменателю $(x-2)(x+2) = x^2 - 4$:
$\frac{(x+1)(x+2) + 7(x-2)}{x^2-4} = \frac{x+10}{x}$
$\frac{x^2+2x+x+2 + 7x-14}{x^2-4} = \frac{x+10}{x}$
$\frac{x^2+10x-12}{x^2-4} = \frac{x+10}{x}$

Воспользуемся свойством пропорции:
$x(x^2+10x-12) = (x+10)(x^2-4)$
$x^3+10x^2-12x = x^3-4x+10x^2-40$

Сократим одинаковые члены ($x^3$ и $10x^2$) в обеих частях уравнения:
$-12x = -4x - 40$
$-12x + 4x = -40$
$-8x = -40$
$x = 5$

Корень $x=5$ удовлетворяет ОДЗ.
Ответ: 5.

Помогло решение? Оставьте отзыв в комментариях ниже.

Присоединяйтесь к Телеграм-группе @gdz_by_belarus

Присоединиться

Мы подготовили для вас ответ c подробным объяснением домашего задания по алгебре за 9 класс, для упражнения номер 3.44 расположенного на странице 151 к учебнику 2019 года издания для учащихся школ и гимназий.

Теперь на нашем сайте ГДЗ.ТОП вы всегда легко и бесплатно найдёте условие с правильным ответом на вопрос «Как решить ДЗ» и «Как сделать» задание по алгебре к упражнению №3.44 (с. 151), авторов: Арефьева (Ирина Глебовна), Пирютко (Ольга Николаевна), учебного пособия издательства Народная асвета.