Номер 3.46, страница 152 - гдз по алгебре 9 класс учебник Арефьева, Пирютко

Алгебра, 9 класс Учебник, авторы: Арефьева Ирина Глебовна, Пирютко Ольга Николаевна, издательство Народная асвета, Минск, 2019, голубого цвета

Авторы: Арефьева И. Г., Пирютко О. Н.

Тип: Учебник

Издательство: Народная асвета

Год издания: 2019 - 2026

Цвет обложки: голубой, синий с графиком

ISBN: 978-985-03-3077-2

Допущено Министерством образования Республики Беларусь

Популярные ГДЗ в 9 классе

Глава 3. Дробно-рациональные уравнения и неравенства. Параграф 10. Дробно-рациональные уравнения - номер 3.46, страница 152.

№3.46 (с. 152)
Условие. №3.46 (с. 152)
скриншот условия
Алгебра, 9 класс Учебник, авторы: Арефьева Ирина Глебовна, Пирютко Ольга Николаевна, издательство Народная асвета, Минск, 2019, голубого цвета, страница 152, номер 3.46, Условие

3.46. Решите задачу, выполнив анализ зависимостей между значениями величин:

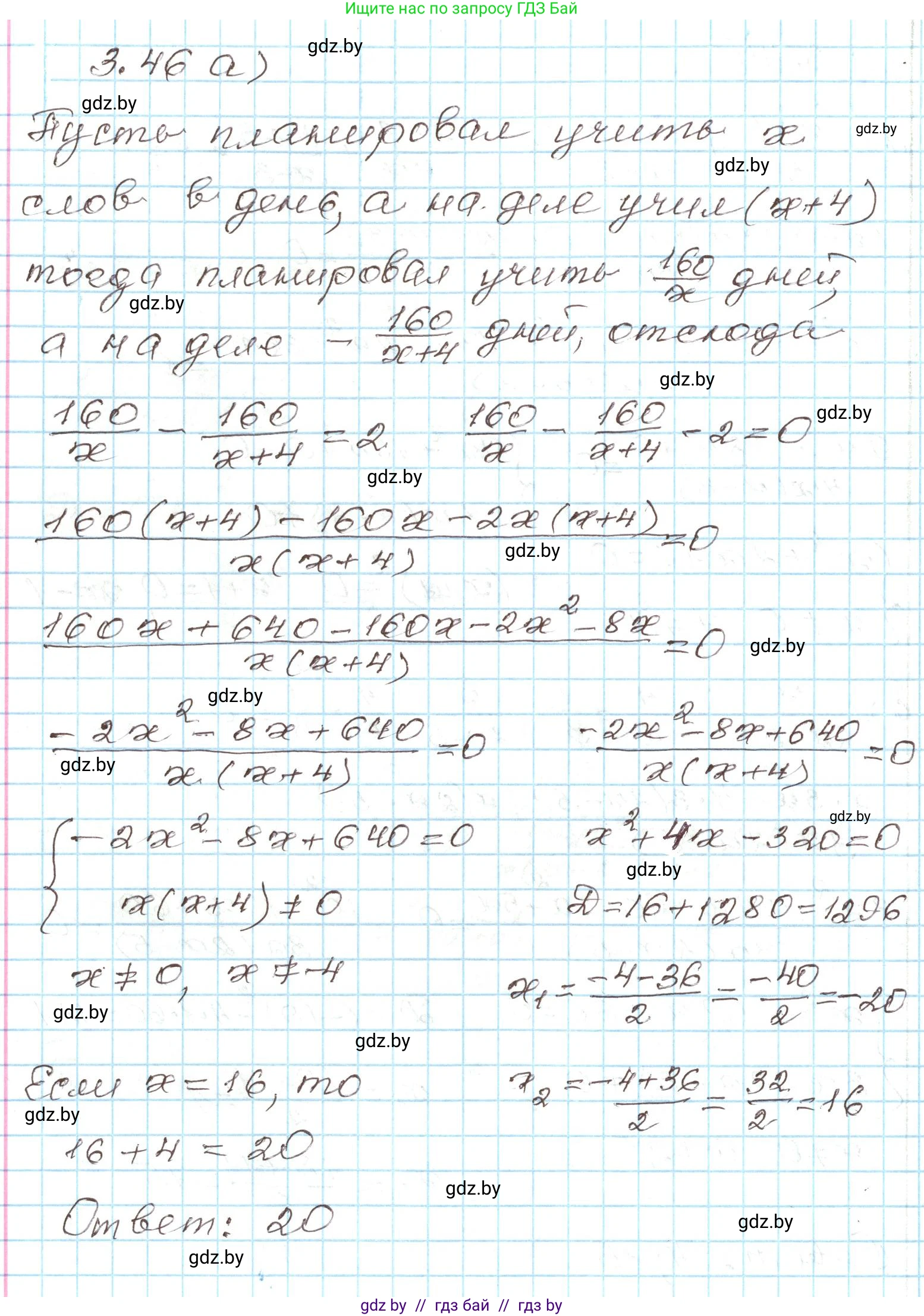
а) Девятиклассник должен был за определенное время выучить 160 новых иностранных слов. Ежедневно он учил на 4 слова больше, чем планировал, поэтому он справился с заданием на 2 дня раньше запланированного срока. Сколько слов в день учил девятиклассник?

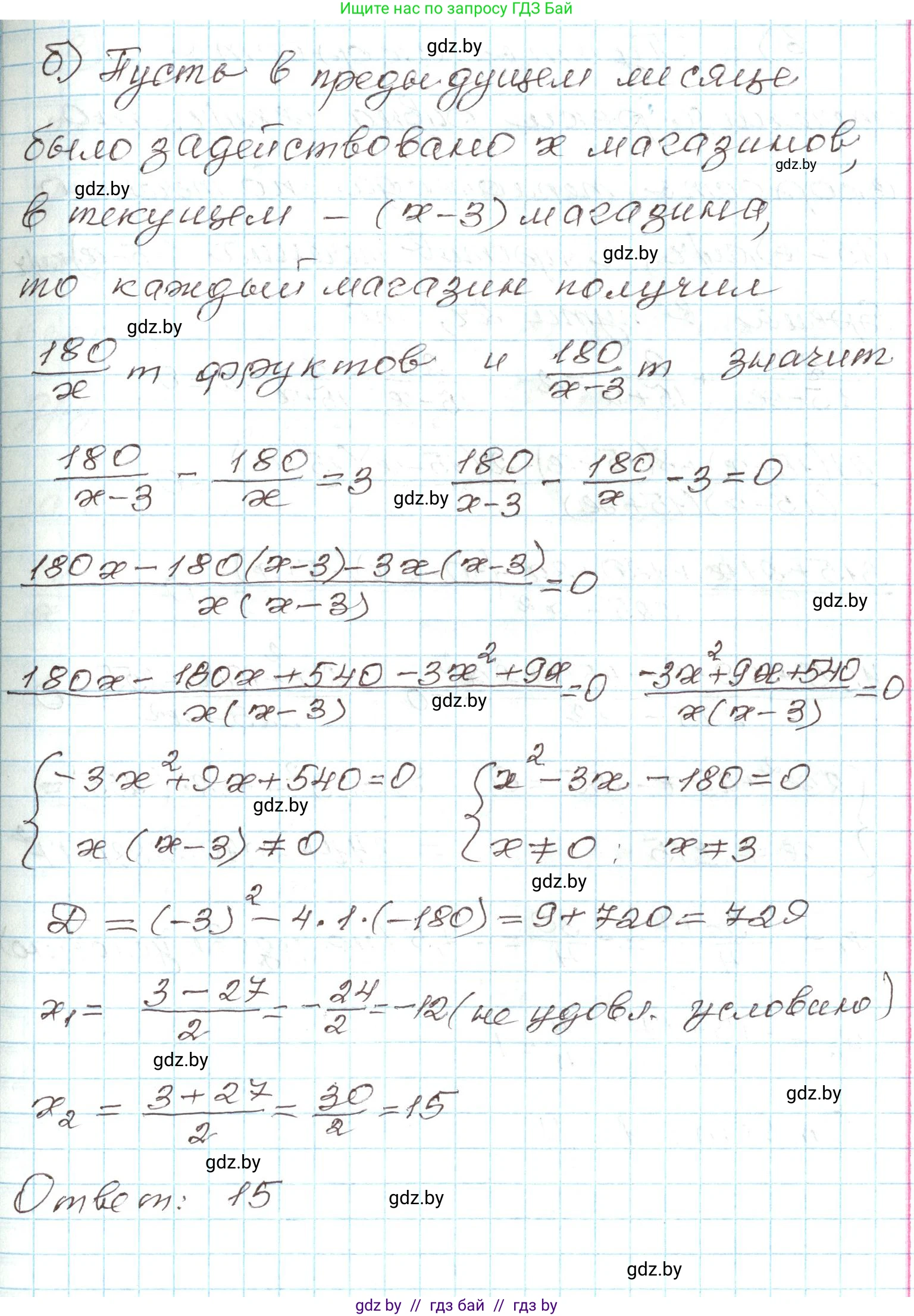
б) На оптовый склад торговой сети ежемесячно поступает 180 т фруктов. В прошлом месяце поступившие фрукты были поровну распределены между несколькими магазинами сети. В текущем месяце было решено задействовать на 3 магазина меньше. В каждый магазин было поставлено на 3 т фруктов больше. Сколько магазинов сети было задействовано в предыдущем месяце?

в) Программа экскурсии по живописным местам предусматривает двухчасовую прогулку на теплоходе. За это время теплоход проходит 21 км против течения реки и 8 км по течению. Найдите скорость течения реки, если собственная скорость теплохода составляет $15 \frac{км}{ч}$.

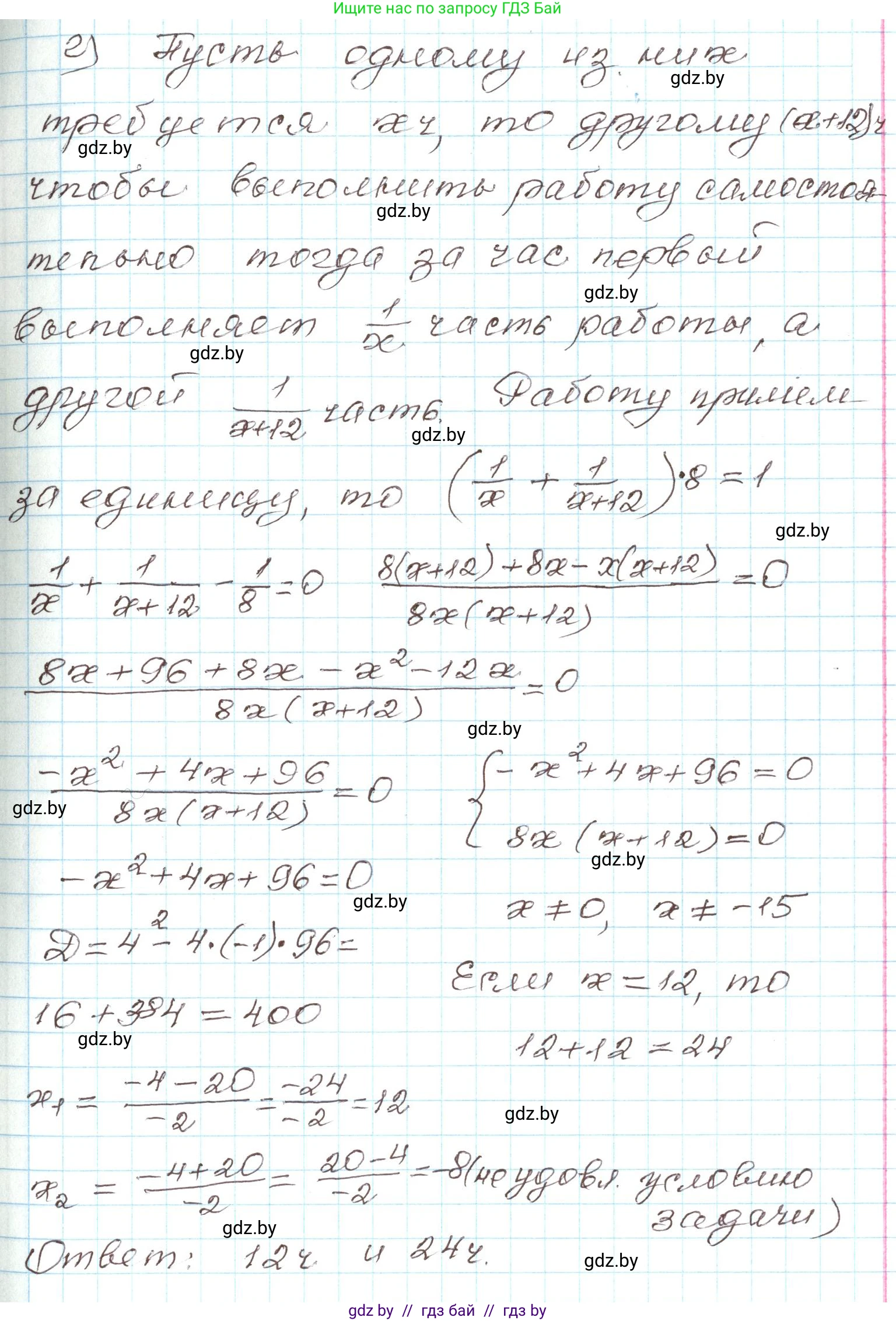
г) Два тестировщика программного обеспечения, работая вместе, выполнили задание за 8 ч. За сколько часов может выполнить это задание каждый тестировщик самостоятельно, если одному из них на это нужно на 12 ч больше, чем другому?

Решение. №3.46 (с. 152)
Алгебра, 9 класс Учебник, авторы: Арефьева Ирина Глебовна, Пирютко Ольга Николаевна, издательство Народная асвета, Минск, 2019, голубого цвета, страница 152, номер 3.46, Решение Алгебра, 9 класс Учебник, авторы: Арефьева Ирина Глебовна, Пирютко Ольга Николаевна, издательство Народная асвета, Минск, 2019, голубого цвета, страница 152, номер 3.46, Решение (продолжение 2)
Решение 2. №3.46 (с. 152)

а) Пусть $x$ — запланированное количество слов, которое девятиклассник должен был учить в день. Тогда фактически он учил $(x+4)$ слова в день.

Планируемое время на изучение 160 слов: $t_{план} = \frac{160}{x}$ дней.

Фактическое время, затраченное на изучение: $t_{факт} = \frac{160}{x+4}$ дней.

По условию, он справился на 2 дня раньше, значит разница между планируемым и фактическим временем составляет 2 дня: $t_{план} - t_{факт} = 2$

Составим и решим уравнение: $\frac{160}{x} - \frac{160}{x+4} = 2$

Разделим обе части уравнения на 2, чтобы упростить вычисления: $\frac{80}{x} - \frac{80}{x+4} = 1$

Приведем левую часть к общему знаменателю $x(x+4)$: $\frac{80(x+4) - 80x}{x(x+4)} = 1$
$\frac{80x + 320 - 80x}{x^2 + 4x} = 1$
$\frac{320}{x^2 + 4x} = 1$

Из этого следует, что $x^2 + 4x = 320$. Перенесем все члены в одну сторону, чтобы получить квадратное уравнение: $x^2 + 4x - 320 = 0$

Решим квадратное уравнение с помощью дискриминанта $D = b^2 - 4ac$: $D = 4^2 - 4 \cdot 1 \cdot (-320) = 16 + 1280 = 1296 = 36^2$
$x_1 = \frac{-4 + 36}{2} = \frac{32}{2} = 16$
$x_2 = \frac{-4 - 36}{2} = \frac{-40}{2} = -20$

Так как количество слов в день не может быть отрицательным, корень $x_2 = -20$ не подходит по смыслу задачи. Следовательно, планировалось учить $x = 16$ слов в день.

Вопрос задачи: "Сколько слов в день учил девятиклассник?". Это фактическое количество. Фактически он учил: $x + 4 = 16 + 4 = 20$ слов в день.

Ответ: 20.

б) Пусть $x$ — количество магазинов, задействованных в предыдущем месяце.

Тогда в текущем месяце было задействовано $(x-3)$ магазина.

Количество фруктов (в тоннах), которое получил каждый магазин в прошлом месяце: $\frac{180}{x}$.

Количество фруктов, которое получил каждый магазин в текущем месяце: $\frac{180}{x-3}$.

По условию, в текущем месяце в каждый магазин было поставлено на 3 т фруктов больше. Составим уравнение: $\frac{180}{x-3} - \frac{180}{x} = 3$

Разделим обе части уравнения на 3: $\frac{60}{x-3} - \frac{60}{x} = 1$

Приведем к общему знаменателю $x(x-3)$: $\frac{60x - 60(x-3)}{x(x-3)} = 1$
$\frac{60x - 60x + 180}{x^2 - 3x} = 1$
$\frac{180}{x^2 - 3x} = 1$

Отсюда $x^2 - 3x = 180$, что приводит к квадратному уравнению: $x^2 - 3x - 180 = 0$

Решим уравнение: $D = (-3)^2 - 4 \cdot 1 \cdot (-180) = 9 + 720 = 729 = 27^2$
$x_1 = \frac{3 + 27}{2} = \frac{30}{2} = 15$
$x_2 = \frac{3 - 27}{2} = \frac{-24}{2} = -12$

Количество магазинов не может быть отрицательным, поэтому $x=15$. Это и есть количество магазинов, задействованных в предыдущем месяце.

Ответ: 15.

в) Пусть $x$ км/ч — скорость течения реки. Собственная скорость теплохода — 15 км/ч.

Скорость теплохода по течению реки: $(15+x)$ км/ч.
Скорость теплохода против течения реки: $(15-x)$ км/ч.

Время, затраченное на путь 8 км по течению: $t_1 = \frac{8}{15+x}$ ч.
Время, затраченное на путь 21 км против течения: $t_2 = \frac{21}{15-x}$ ч.

Общее время прогулки составляет 2 часа, значит: $t_1 + t_2 = 2$
$\frac{8}{15+x} + \frac{21}{15-x} = 2$

Приведем к общему знаменателю $(15+x)(15-x) = 225 - x^2$: $\frac{8(15-x) + 21(15+x)}{225-x^2} = 2$
$\frac{120 - 8x + 315 + 21x}{225-x^2} = 2$
$\frac{435 + 13x}{225-x^2} = 2$

$435 + 13x = 2(225 - x^2)$
$435 + 13x = 450 - 2x^2$
$2x^2 + 13x + 435 - 450 = 0$
$2x^2 + 13x - 15 = 0$

Решим получившееся квадратное уравнение: $D = 13^2 - 4 \cdot 2 \cdot (-15) = 169 + 120 = 289 = 17^2$
$x_1 = \frac{-13 + 17}{2 \cdot 2} = \frac{4}{4} = 1$
$x_2 = \frac{-13 - 17}{4} = \frac{-30}{4} = -7.5$

Скорость течения не может быть отрицательной, поэтому $x = 1$ км/ч.

Ответ: 1.

г) Примем всю работу по выполнению задания за 1.

Пусть первый (более быстрый) тестировщик выполняет всю работу за $t$ часов. Тогда его производительность (часть работы в час) составляет $P_1 = \frac{1}{t}$.

Второй тестировщик выполняет работу на 12 часов дольше, то есть за $(t+12)$ часов. Его производительность $P_2 = \frac{1}{t+12}$.

Работая вместе, они выполняют работу за 8 часов. Их совместная производительность $P_{совм} = \frac{1}{8}$.

Совместная производительность равна сумме индивидуальных производительностей: $P_1 + P_2 = P_{совм}$
$\frac{1}{t} + \frac{1}{t+12} = \frac{1}{8}$

Приведем левую часть уравнения к общему знаменателю: $\frac{t+12+t}{t(t+12)} = \frac{1}{8}$
$\frac{2t+12}{t^2+12t} = \frac{1}{8}$

Используем свойство пропорции (перекрестное умножение): $8(2t+12) = 1 \cdot (t^2 + 12t)$
$16t + 96 = t^2 + 12t$
$t^2 - 4t - 96 = 0$

Решим квадратное уравнение: $D = (-4)^2 - 4 \cdot 1 \cdot (-96) = 16 + 384 = 400 = 20^2$
$t_1 = \frac{4 + 20}{2} = \frac{24}{2} = 12$
$t_2 = \frac{4 - 20}{2} = \frac{-16}{2} = -8$

Время не может быть отрицательным, поэтому $t = 12$ часов. Это время первого (более быстрого) тестировщика.

Время второго тестировщика: $t+12 = 12+12 = 24$ часа.

Ответ: один тестировщик может выполнить задание за 12 часов, а другой — за 24 часа.

Помогло решение? Оставьте отзыв в комментариях ниже.

Присоединяйтесь к Телеграм-группе @gdz_by_belarus

Присоединиться

Мы подготовили для вас ответ c подробным объяснением домашего задания по алгебре за 9 класс, для упражнения номер 3.46 расположенного на странице 152 к учебнику 2019 года издания для учащихся школ и гимназий.

Теперь на нашем сайте ГДЗ.ТОП вы всегда легко и бесплатно найдёте условие с правильным ответом на вопрос «Как решить ДЗ» и «Как сделать» задание по алгебре к упражнению №3.46 (с. 152), авторов: Арефьева (Ирина Глебовна), Пирютко (Ольга Николаевна), учебного пособия издательства Народная асвета.