Номер 3.51, страница 153 - гдз по алгебре 9 класс учебник Арефьева, Пирютко

Алгебра, 9 класс Учебник, авторы: Арефьева Ирина Глебовна, Пирютко Ольга Николаевна, издательство Народная асвета, Минск, 2019, голубого цвета

Авторы: Арефьева И. Г., Пирютко О. Н.

Тип: Учебник

Издательство: Народная асвета

Год издания: 2019 - 2026

Цвет обложки: голубой, синий с графиком

ISBN: 978-985-03-3077-2

Допущено Министерством образования Республики Беларусь

Популярные ГДЗ в 9 классе

Глава 3. Дробно-рациональные уравнения и неравенства. Параграф 10. Дробно-рациональные уравнения - номер 3.51, страница 153.

№3.51 (с. 153)
Условие. №3.51 (с. 153)
скриншот условия
Алгебра, 9 класс Учебник, авторы: Арефьева Ирина Глебовна, Пирютко Ольга Николаевна, издательство Народная асвета, Минск, 2019, голубого цвета, страница 153, номер 3.51, Условие

3.51. Решите уравнение:

а) $\frac{2}{x-1} + \frac{5}{x-2} = \frac{13}{(x-1)(x-2)}$

б) $\frac{x+1}{x-2} + \frac{x-2}{x+3} = \frac{15}{(x-2)(x+3)}$

В) $\frac{1-9x}{x^2+2x-3} + \frac{3x-1}{x-1} = \frac{2x}{x+3}$

Г) $\frac{7-2x}{x^2-5x-6} + \frac{3}{x^2-9x+18} = \frac{1}{3-x}$

Решение. №3.51 (с. 153)
Алгебра, 9 класс Учебник, авторы: Арефьева Ирина Глебовна, Пирютко Ольга Николаевна, издательство Народная асвета, Минск, 2019, голубого цвета, страница 153, номер 3.51, Решение Алгебра, 9 класс Учебник, авторы: Арефьева Ирина Глебовна, Пирютко Ольга Николаевна, издательство Народная асвета, Минск, 2019, голубого цвета, страница 153, номер 3.51, Решение (продолжение 2)
Решение 2. №3.51 (с. 153)

а) Дано уравнение: $\frac{2}{x-1} + \frac{5}{x-2} = \frac{13}{(x-1)(x-2)}$

1. Найдем область допустимых значений (ОДЗ). Знаменатели не должны равняться нулю:$x-1 \neq 0 \Rightarrow x \neq 1$$x-2 \neq 0 \Rightarrow x \neq 2$ОДЗ: $x \in (-\infty, 1) \cup (1, 2) \cup (2, +\infty)$.

2. Общий знаменатель дробей — $(x-1)(x-2)$. Умножим обе части уравнения на общий знаменатель, чтобы избавиться от дробей:

$\frac{2(x-1)(x-2)}{x-1} + \frac{5(x-1)(x-2)}{x-2} = \frac{13(x-1)(x-2)}{(x-1)(x-2)}$

3. Сокращаем дроби и получаем:

$2(x-2) + 5(x-1) = 13$

4. Раскрываем скобки и решаем полученное линейное уравнение:

$2x - 4 + 5x - 5 = 13$

$7x - 9 = 13$

$7x = 13 + 9$

$7x = 22$

$x = \frac{22}{7}$

5. Проверяем, входит ли корень в ОДЗ. $x = \frac{22}{7}$ не равен 1 или 2, следовательно, корень является решением уравнения.

6. Представим неправильную дробь в виде смешанного числа: $\frac{22}{7} = 3\frac{1}{7}$.

Ответ: $3\frac{1}{7}$


б) Дано уравнение: $\frac{x+1}{x-2} + \frac{x-2}{x+3} = \frac{15}{(x-2)(x+3)}$

1. Найдем ОДЗ:$x-2 \neq 0 \Rightarrow x \neq 2$$x+3 \neq 0 \Rightarrow x \neq -3$ОДЗ: $x \in (-\infty, -3) \cup (-3, 2) \cup (2, +\infty)$.

2. Общий знаменатель — $(x-2)(x+3)$. Умножим обе части уравнения на него:

$(x+1)(x+3) + (x-2)(x-2) = 15$

3. Раскрываем скобки:

$(x^2 + 3x + x + 3) + (x^2 - 4x + 4) = 15$

$x^2 + 4x + 3 + x^2 - 4x + 4 = 15$

4. Приводим подобные слагаемые и решаем квадратное уравнение:

$2x^2 + 7 = 15$

$2x^2 = 8$

$x^2 = 4$

$x_1 = 2$, $x_2 = -2$

5. Проверяем корни по ОДЗ.$x_1 = 2$ не удовлетворяет ОДЗ ($x \neq 2$), поэтому это посторонний корень.$x_2 = -2$ удовлетворяет ОДЗ.

Ответ: $-2$


в) Дано уравнение: $\frac{1-9x}{x^2+2x-3} + \frac{3x-1}{x-1} = \frac{2x}{x+3}$

1. Разложим на множители знаменатель $x^2+2x-3$. Для этого решим уравнение $x^2+2x-3=0$. По теореме Виета, корни $x_1=1$, $x_2=-3$. Таким образом, $x^2+2x-3 = (x-1)(x+3)$.

2. Перепишем уравнение:

$\frac{1-9x}{(x-1)(x+3)} + \frac{3x-1}{x-1} = \frac{2x}{x+3}$

3. ОДЗ: $x-1 \neq 0 \Rightarrow x \neq 1$ и $x+3 \neq 0 \Rightarrow x \neq -3$.

4. Общий знаменатель — $(x-1)(x+3)$. Умножим уравнение на него:

$1-9x + (3x-1)(x+3) = 2x(x-1)$

5. Раскрываем скобки и упрощаем:

$1-9x + (3x^2 + 9x - x - 3) = 2x^2 - 2x$

$1-9x + 3x^2 + 8x - 3 = 2x^2 - 2x$

$3x^2 - x - 2 = 2x^2 - 2x$

6. Переносим все члены в левую часть и решаем квадратное уравнение:

$3x^2 - 2x^2 - x + 2x - 2 = 0$

$x^2 + x - 2 = 0$

По теореме Виета, корни $x_1=1$, $x_2=-2$.

7. Проверяем корни по ОДЗ.$x_1 = 1$ не удовлетворяет ОДЗ ($x \neq 1$), это посторонний корень.$x_2 = -2$ удовлетворяет ОДЗ.

Ответ: $-2$


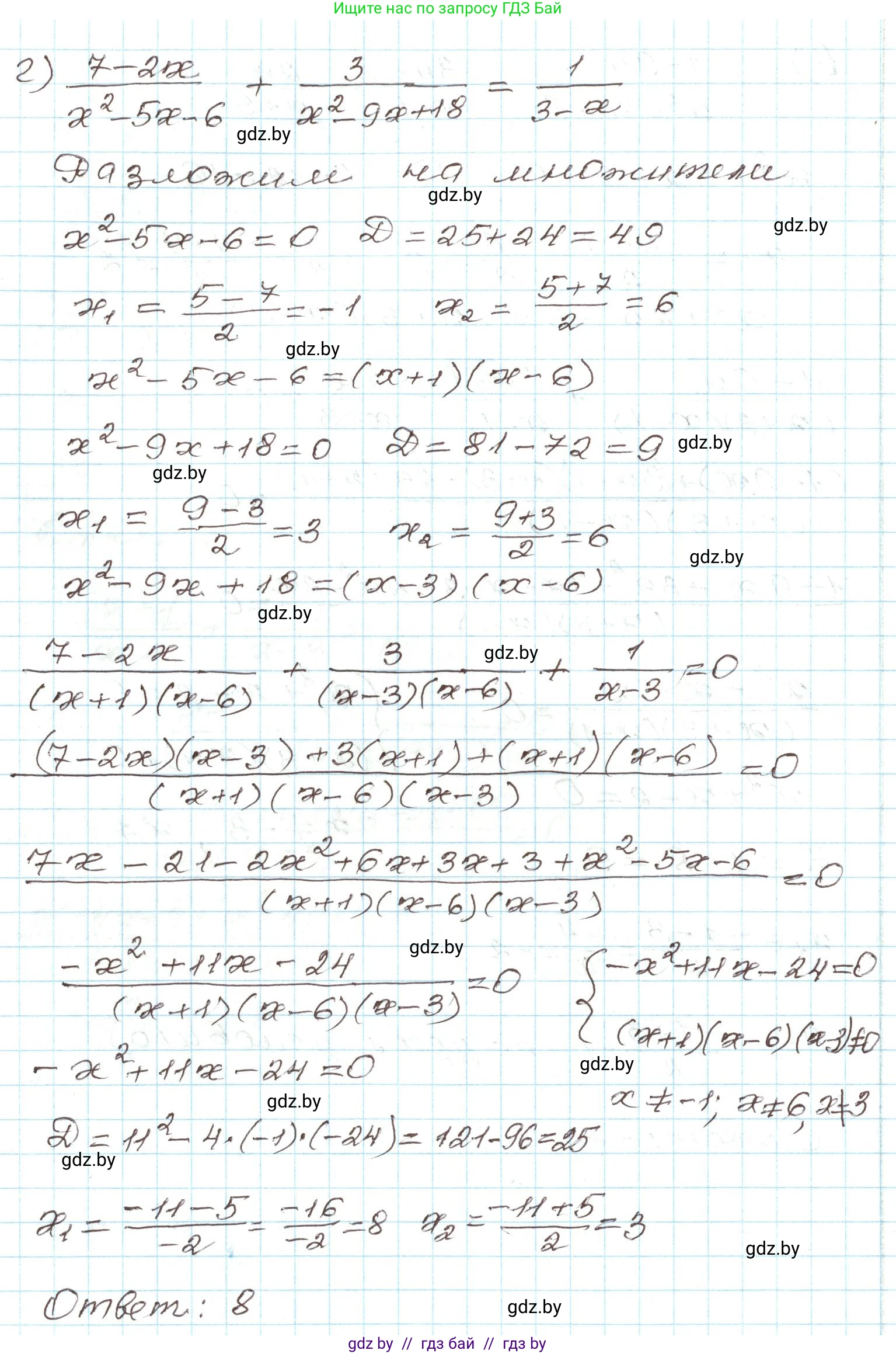
г) Дано уравнение: $\frac{7-2x}{x^2-5x-6} + \frac{3}{x^2-9x+18} = \frac{1}{3-x}$

1. Разложим знаменатели на множители:$x^2-5x-6 = (x-6)(x+1)$ (корни 6 и -1)$x^2-9x+18 = (x-3)(x-6)$ (корни 3 и 6)$3-x = -(x-3)$

2. Перепишем уравнение:

$\frac{7-2x}{(x-6)(x+1)} + \frac{3}{(x-3)(x-6)} = -\frac{1}{x-3}$

3. ОДЗ: $x \neq 6, x \neq -1, x \neq 3$.

4. Перенесем все члены в левую часть и приведем к общему знаменателю $(x-6)(x+1)(x-3)$:

$\frac{7-2x}{(x-6)(x+1)} + \frac{3}{(x-3)(x-6)} + \frac{1}{x-3} = 0$

$\frac{(7-2x)(x-3) + 3(x+1) + 1(x-6)(x+1)}{(x-6)(x+1)(x-3)} = 0$

5. Решаем уравнение для числителя (при условии, что знаменатель не равен нулю):

$(7-2x)(x-3) + 3(x+1) + (x-6)(x+1) = 0$

$(7x-21-2x^2+6x) + (3x+3) + (x^2+x-6x-6) = 0$

$(-2x^2+13x-21) + (3x+3) + (x^2-5x-6) = 0$

Приводим подобные слагаемые:

$(-2x^2+x^2) + (13x+3x-5x) + (-21+3-6) = 0$

$-x^2 + 11x - 24 = 0$

$x^2 - 11x + 24 = 0$

6. По теореме Виета, корни $x_1=3$, $x_2=8$.

7. Проверяем корни по ОДЗ.$x_1 = 3$ не удовлетворяет ОДЗ ($x \neq 3$), это посторонний корень.$x_2 = 8$ удовлетворяет ОДЗ.

Ответ: $8$

Помогло решение? Оставьте отзыв в комментариях ниже.

Присоединяйтесь к Телеграм-группе @gdz_by_belarus

Присоединиться

Мы подготовили для вас ответ c подробным объяснением домашего задания по алгебре за 9 класс, для упражнения номер 3.51 расположенного на странице 153 к учебнику 2019 года издания для учащихся школ и гимназий.

Теперь на нашем сайте ГДЗ.ТОП вы всегда легко и бесплатно найдёте условие с правильным ответом на вопрос «Как решить ДЗ» и «Как сделать» задание по алгебре к упражнению №3.51 (с. 153), авторов: Арефьева (Ирина Глебовна), Пирютко (Ольга Николаевна), учебного пособия издательства Народная асвета.