Номер 3.90, страница 168 - гдз по алгебре 9 класс учебник Арефьева, Пирютко

Алгебра, 9 класс Учебник, авторы: Арефьева Ирина Глебовна, Пирютко Ольга Николаевна, издательство Народная асвета, Минск, 2019, голубого цвета

Авторы: Арефьева И. Г., Пирютко О. Н.

Тип: Учебник

Издательство: Народная асвета

Год издания: 2019 - 2026

Цвет обложки: голубой, синий с графиком

ISBN: 978-985-03-3077-2

Допущено Министерством образования Республики Беларусь

Популярные ГДЗ в 9 классе

Глава 3. Дробно-рациональные уравнения и неравенства. Параграф 11. Системы нелинейных уравнений - номер 3.90, страница 168.

№3.90 (с. 168)
Условие. №3.90 (с. 168)
скриншот условия
Алгебра, 9 класс Учебник, авторы: Арефьева Ирина Глебовна, Пирютко Ольга Николаевна, издательство Народная асвета, Минск, 2019, голубого цвета, страница 168, номер 3.90, Условие

3.90*. Воспользуйтесь методом замены переменных и решите систему уравнений:

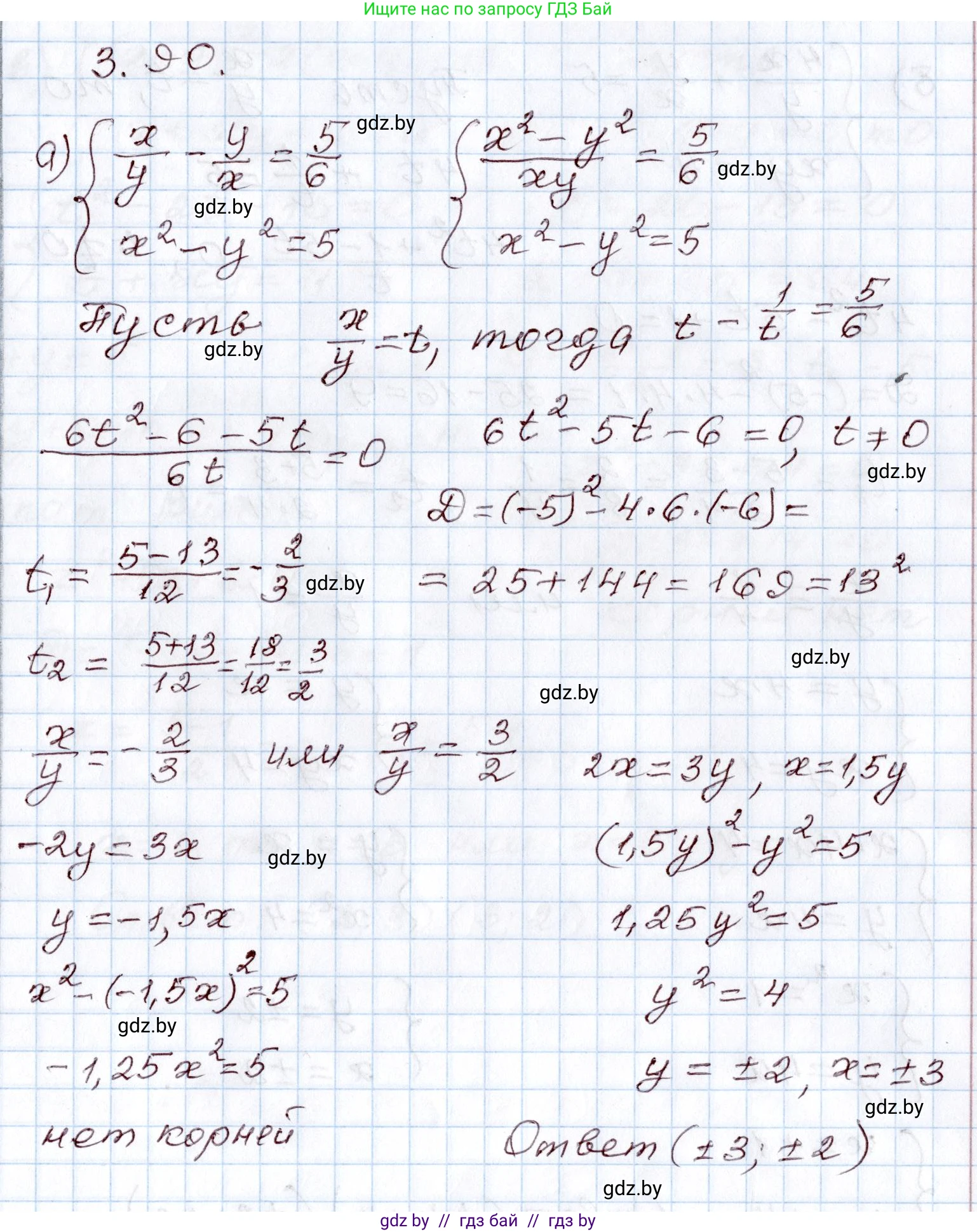
a) $\begin{cases} \frac{x}{y} - \frac{y}{x} = \frac{5}{6}, \\ x^2 - y^2 = 5; \end{cases}$

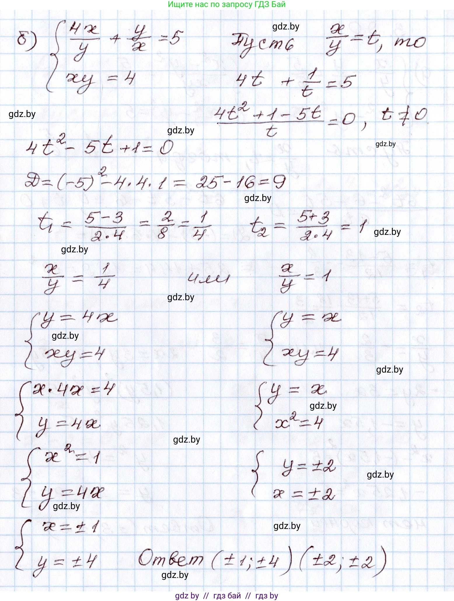
б) $\begin{cases} \frac{4x}{y} + \frac{y}{x} = 5, \\ xy = 4; \end{cases}$

в) $\begin{cases} (x + y)^2 - 2(x + y) = 15, \\ x + xy + y = 11; \end{cases}$

г) $\begin{cases} x + y + xy = 11, \\ x^2 y + xy^2 = 30; \end{cases}$

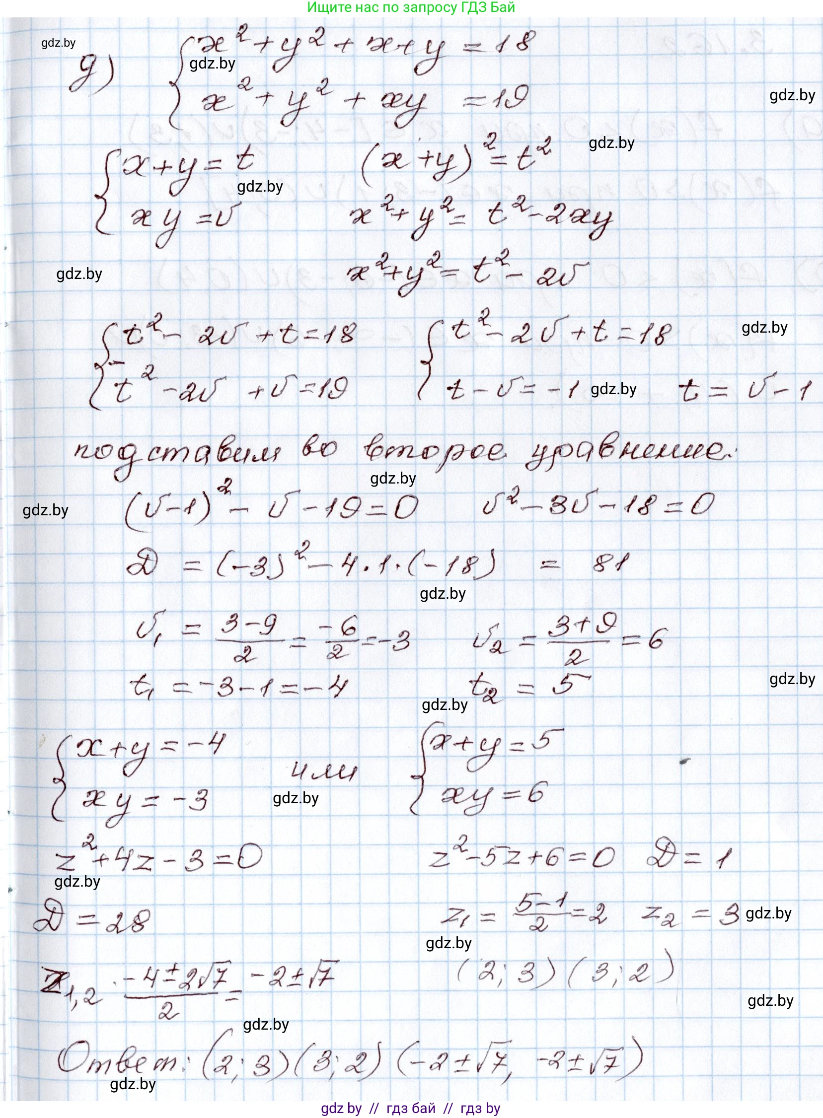
д) $\begin{cases} x^2 + y^2 + x + y = 18, \\ x^2 + y^2 + xy = 19. \end{cases}$

Решение. №3.90 (с. 168)
Алгебра, 9 класс Учебник, авторы: Арефьева Ирина Глебовна, Пирютко Ольга Николаевна, издательство Народная асвета, Минск, 2019, голубого цвета, страница 168, номер 3.90, Решение Алгебра, 9 класс Учебник, авторы: Арефьева Ирина Глебовна, Пирютко Ольга Николаевна, издательство Народная асвета, Минск, 2019, голубого цвета, страница 168, номер 3.90, Решение (продолжение 2)
Решение 2. №3.90 (с. 168)

а) Дана система уравнений: $$ \begin{cases} \frac{x}{y} - \frac{y}{x} = \frac{5}{6} \\ x^2 - y^2 = 5 \end{cases} $$ ОДЗ: $x \ne 0, y \ne 0$.
Введем замену переменной $t = \frac{x}{y}$. Тогда первое уравнение примет вид: $$ t - \frac{1}{t} = \frac{5}{6} $$ Домножим уравнение на $6t$ (при $t \ne 0$): $$ 6t^2 - 6 = 5t $$ $$ 6t^2 - 5t - 6 = 0 $$ Найдем корни квадратного уравнения. Дискриминант $D = (-5)^2 - 4 \cdot 6 \cdot (-6) = 25 + 144 = 169 = 13^2$. $$ t_1 = \frac{5 + 13}{12} = \frac{18}{12} = \frac{3}{2} $$ $$ t_2 = \frac{5 - 13}{12} = \frac{-8}{12} = -\frac{2}{3} $$ Теперь рассмотрим два случая:

  1. $\frac{x}{y} = \frac{3}{2} \Rightarrow x = \frac{3}{2}y$.
    Подставим это выражение во второе уравнение системы: $$ \left(\frac{3}{2}y\right)^2 - y^2 = 5 $$ $$ \frac{9}{4}y^2 - y^2 = 5 $$ $$ \frac{5}{4}y^2 = 5 $$ $$ y^2 = 4 \Rightarrow y = \pm 2 $$ Если $y=2$, то $x = \frac{3}{2} \cdot 2 = 3$. Решение: $(3, 2)$.
    Если $y=-2$, то $x = \frac{3}{2} \cdot (-2) = -3$. Решение: $(-3, -2)$.
  2. $\frac{x}{y} = -\frac{2}{3} \Rightarrow x = -\frac{2}{3}y$.
    Подставим во второе уравнение: $$ \left(-\frac{2}{3}y\right)^2 - y^2 = 5 $$ $$ \frac{4}{9}y^2 - y^2 = 5 $$ $$ -\frac{5}{9}y^2 = 5 $$ $$ y^2 = -9 $$ В этом случае действительных решений нет.

Ответ: $(3, 2), (-3, -2)$.

б) Дана система уравнений: $$ \begin{cases} \frac{4x}{y} + \frac{y}{x} = 5 \\ xy = 4 \end{cases} $$ ОДЗ: $x \ne 0, y \ne 0$.
Введем замену переменной $t = \frac{y}{x}$. Тогда первое уравнение примет вид: $$ \frac{4}{t} + t = 5 $$ Домножим уравнение на $t$ (при $t \ne 0$): $$ 4 + t^2 = 5t $$ $$ t^2 - 5t + 4 = 0 $$ По теореме Виета, корни уравнения $t_1 = 1$ и $t_2 = 4$. Рассмотрим два случая:

  1. $\frac{y}{x} = 1 \Rightarrow y = x$.
    Подставляем во второе уравнение системы: $x \cdot x = 4 \Rightarrow x^2 = 4 \Rightarrow x = \pm 2$.
    Если $x=2$, то $y=2$. Решение: $(2, 2)$.
    Если $x=-2$, то $y=-2$. Решение: $(-2, -2)$.
  2. $\frac{y}{x} = 4 \Rightarrow y = 4x$.
    Подставляем во второе уравнение: $x \cdot 4x = 4 \Rightarrow 4x^2 = 4 \Rightarrow x^2 = 1 \Rightarrow x = \pm 1$.
    Если $x=1$, то $y=4$. Решение: $(1, 4)$.
    Если $x=-1$, то $y=-4$. Решение: $(-1, -4)$.

Ответ: $(2, 2), (-2, -2), (1, 4), (-1, -4)$.

в) Дана система уравнений: $$ \begin{cases} (x+y)^2 - 2(x+y) = 15 \\ x+xy+y = 11 \end{cases} $$ Введем замены $u = x+y$ и $v = xy$. Система примет вид: $$ \begin{cases} u^2 - 2u = 15 \\ u+v = 11 \end{cases} $$ Решим первое уравнение $u^2 - 2u - 15 = 0$. По теореме Виета, $u_1 = 5, u_2 = -3$.

  1. Если $u=5$, то из второго уравнения $v = 11 - u = 11 - 5 = 6$.
    Получаем систему для $x$ и $y$: $$ \begin{cases} x+y=5 \\ xy=6 \end{cases} $$ По теореме Виета, $x$ и $y$ — корни уравнения $t^2 - 5t + 6 = 0$, то есть $t_1=2, t_2=3$. Решения: $(2, 3)$ и $(3, 2)$.
  2. Если $u=-3$, то $v = 11 - u = 11 - (-3) = 14$.
    Получаем систему: $$ \begin{cases} x+y=-3 \\ xy=14 \end{cases} $$ Уравнение $t^2 + 3t + 14 = 0$ не имеет действительных корней, так как его дискриминант $D = 3^2 - 4 \cdot 14 = 9 - 56 = -47 < 0$.

Ответ: $(2, 3), (3, 2)$.

г) Дана система уравнений: $$ \begin{cases} x+y+xy = 11 \\ x^2y + xy^2 = 30 \end{cases} $$ Введем замены $u=x+y$ и $v=xy$. Преобразуем второе уравнение: $xy(x+y)=30 \Rightarrow uv=30$. Система примет вид: $$ \begin{cases} u+v=11 \\ uv=30 \end{cases} $$ По теореме Виета, $u$ и $v$ являются корнями уравнения $t^2 - 11t + 30 = 0$, то есть $\{u,v\} = \{5,6\}$.

  1. Если $u=5, v=6$: $\begin{cases} x+y=5 \\ xy=6 \end{cases}$. Решения (как в пункте в)): $(2, 3)$ и $(3, 2)$.
  2. Если $u=6, v=5$: $\begin{cases} x+y=6 \\ xy=5 \end{cases}$. $x$ и $y$ — корни уравнения $t^2 - 6t + 5 = 0$, то есть $t_1=1, t_2=5$. Решения: $(1, 5)$ и $(5, 1)$.

Ответ: $(2, 3), (3, 2), (1, 5), (5, 1)$.

д) Дана система уравнений: $$ \begin{cases} x^2+y^2+x+y = 18 \\ x^2+y^2+xy = 19 \end{cases} $$ Введем замены $u=x+y, v=xy$. Используя тождество $x^2+y^2=(x+y)^2-2xy=u^2-2v$, система примет вид: $$ \begin{cases} u^2-2v+u = 18 \\ u^2-2v+v = 19 \end{cases} \Rightarrow \begin{cases} u^2+u-2v = 18 \\ u^2-v = 19 \end{cases} $$ Из второго уравнения выразим $v$: $v=u^2-19$. Подставим в первое: $$ u^2+u-2(u^2-19)=18 $$ $$ u^2+u-2u^2+38=18 $$ $$ -u^2+u+20=0 \Rightarrow u^2-u-20=0 $$ Корни этого уравнения: $u_1=5, u_2=-4$.

  1. Если $u=5$, то $v=5^2-19=6$. Система $\begin{cases} x+y=5 \\ xy=6 \end{cases}$ дает решения $(2, 3)$ и $(3, 2)$.
  2. Если $u=-4$, то $v=(-4)^2-19=-3$. Система $\begin{cases} x+y=-4 \\ xy=-3 \end{cases}$.
    $x$ и $y$ — корни уравнения $t^2 - (-4)t - 3 = 0 \Rightarrow t^2+4t-3=0$. $$ t = \frac{-4 \pm \sqrt{4^2 - 4(1)(-3)}}{2} = \frac{-4 \pm \sqrt{16+12}}{2} = \frac{-4 \pm \sqrt{28}}{2} = \frac{-4 \pm 2\sqrt{7}}{2} = -2 \pm \sqrt{7} $$ Решения: $(-2+\sqrt{7}, -2-\sqrt{7})$ и $(-2-\sqrt{7}, -2+\sqrt{7})$.

Ответ: $(2, 3), (3, 2), (-2+\sqrt{7}, -2-\sqrt{7}), (-2-\sqrt{7}, -2+\sqrt{7})$.

Помогло решение? Оставьте отзыв в комментариях ниже.

Присоединяйтесь к Телеграм-группе @gdz_by_belarus

Присоединиться

Мы подготовили для вас ответ c подробным объяснением домашего задания по алгебре за 9 класс, для упражнения номер 3.90 расположенного на странице 168 к учебнику 2019 года издания для учащихся школ и гимназий.

Теперь на нашем сайте ГДЗ.ТОП вы всегда легко и бесплатно найдёте условие с правильным ответом на вопрос «Как решить ДЗ» и «Как сделать» задание по алгебре к упражнению №3.90 (с. 168), авторов: Арефьева (Ирина Глебовна), Пирютко (Ольга Николаевна), учебного пособия издательства Народная асвета.