Номер 3.93, страница 168 - гдз по алгебре 9 класс учебник Арефьева, Пирютко

Алгебра, 9 класс Учебник, авторы: Арефьева Ирина Глебовна, Пирютко Ольга Николаевна, издательство Народная асвета, Минск, 2019, голубого цвета

Авторы: Арефьева И. Г., Пирютко О. Н.

Тип: Учебник

Издательство: Народная асвета

Год издания: 2019 - 2026

Цвет обложки: голубой, синий с графиком

ISBN: 978-985-03-3077-2

Допущено Министерством образования Республики Беларусь

Популярные ГДЗ в 9 классе

Глава 3. Дробно-рациональные уравнения и неравенства. Параграф 11. Системы нелинейных уравнений - номер 3.93, страница 168.

№3.93 (с. 168)
Условие. №3.93 (с. 168)
скриншот условия
Алгебра, 9 класс Учебник, авторы: Арефьева Ирина Глебовна, Пирютко Ольга Николаевна, издательство Народная асвета, Минск, 2019, голубого цвета, страница 168, номер 3.93, Условие

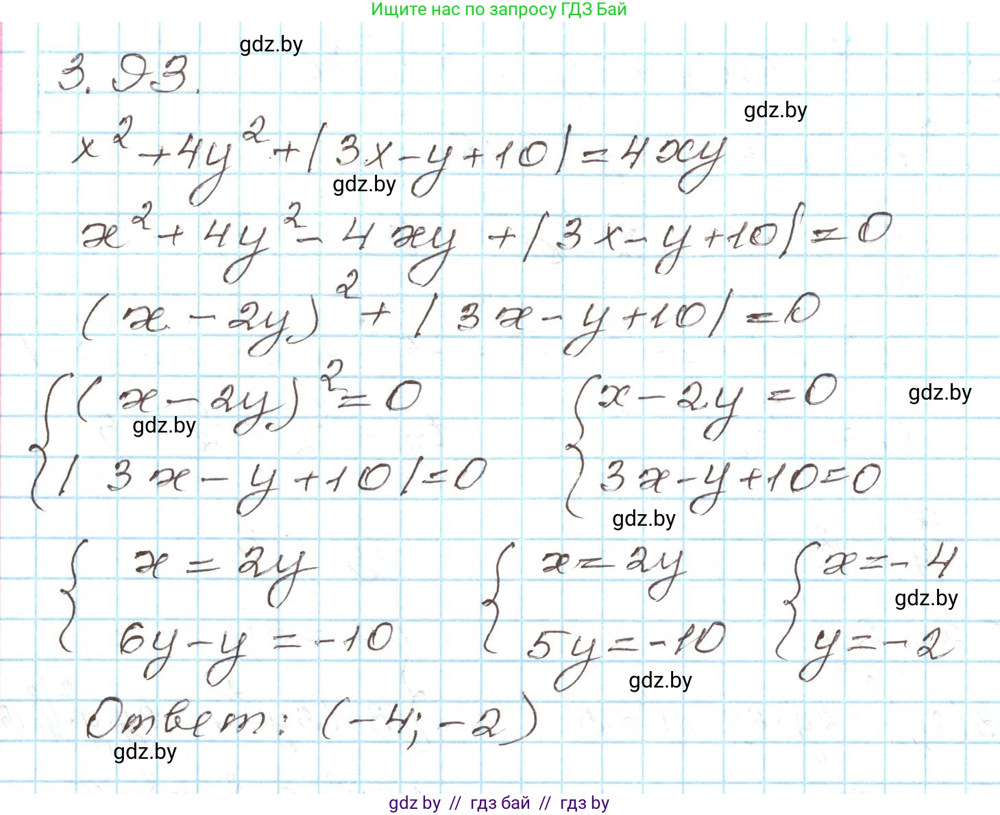
3.93*: Решите уравнение $x^2 + 4y^2 + |3x - y + 10| = 4xy$.

Решение. №3.93 (с. 168)
Алгебра, 9 класс Учебник, авторы: Арефьева Ирина Глебовна, Пирютко Ольга Николаевна, издательство Народная асвета, Минск, 2019, голубого цвета, страница 168, номер 3.93, Решение
Решение 2. №3.93 (с. 168)

Для решения данного уравнения перенесем член $4xy$ в левую часть и сгруппируем слагаемые:

$$x^2 - 4xy + 4y^2 + |3x - y + 10| = 0$$

Заметим, что первые три слагаемых образуют полный квадрат разности $(x - 2y)^2$:

$$(x - 2y)^2 = x^2 - 2 \cdot x \cdot (2y) + (2y)^2 = x^2 - 4xy + 4y^2$$

Подставим это в уравнение:

$$(x - 2y)^2 + |3x - y + 10| = 0$$

В левой части уравнения находится сумма двух неотрицательных выражений. Квадрат любого действительного числа $(x - 2y)^2$ всегда больше или равен нулю ($ \ge 0 $). Модуль любого действительного числа $|3x - y + 10|$ также всегда больше или равен нулю ($ \ge 0 $).

Сумма двух неотрицательных выражений может быть равна нулю только в том случае, если каждое из этих выражений равно нулю. Это условие приводит нас к системе уравнений:

$$ \begin{cases} (x - 2y)^2 = 0 \\ |3x - y + 10| = 0 \end{cases} $$

Эта система равносильна следующей системе линейных уравнений:

$$ \begin{cases} x - 2y = 0 \\ 3x - y + 10 = 0 \end{cases} $$

Решим эту систему. Из первого уравнения выразим $x$ через $y$:

$$x = 2y$$

Теперь подставим это выражение для $x$ во второе уравнение системы:

$$3(2y) - y + 10 = 0$$

$$6y - y + 10 = 0$$

$$5y = -10$$

$$y = -2$$

Наконец, найдем соответствующее значение $x$, подставив найденный $y$ в выражение $x = 2y$:

$$x = 2(-2) = -4$$

Таким образом, единственное решение уравнения — это пара чисел $x = -4$ и $y = -2$.

Ответ: $x = -4, y = -2$.

Помогло решение? Оставьте отзыв в комментариях ниже.

Присоединяйтесь к Телеграм-группе @gdz_by_belarus

Присоединиться

Мы подготовили для вас ответ c подробным объяснением домашего задания по алгебре за 9 класс, для упражнения номер 3.93 расположенного на странице 168 к учебнику 2019 года издания для учащихся школ и гимназий.

Теперь на нашем сайте ГДЗ.ТОП вы всегда легко и бесплатно найдёте условие с правильным ответом на вопрос «Как решить ДЗ» и «Как сделать» задание по алгебре к упражнению №3.93 (с. 168), авторов: Арефьева (Ирина Глебовна), Пирютко (Ольга Николаевна), учебного пособия издательства Народная асвета.