Номер 3.100, страница 169 - гдз по алгебре 9 класс учебник Арефьева, Пирютко

Алгебра, 9 класс Учебник, авторы: Арефьева Ирина Глебовна, Пирютко Ольга Николаевна, издательство Народная асвета, Минск, 2019, голубого цвета

Авторы: Арефьева И. Г., Пирютко О. Н.

Тип: Учебник

Издательство: Народная асвета

Год издания: 2019 - 2026

Цвет обложки: голубой, синий с графиком

ISBN: 978-985-03-3077-2

Допущено Министерством образования Республики Беларусь

Популярные ГДЗ в 9 классе

Глава 3. Дробно-рациональные уравнения и неравенства. Параграф 11. Системы нелинейных уравнений - номер 3.100, страница 169.

№3.100 (с. 169)
Условие. №3.100 (с. 169)
скриншот условия
Алгебра, 9 класс Учебник, авторы: Арефьева Ирина Глебовна, Пирютко Ольга Николаевна, издательство Народная асвета, Минск, 2019, голубого цвета, страница 169, номер 3.100, Условие

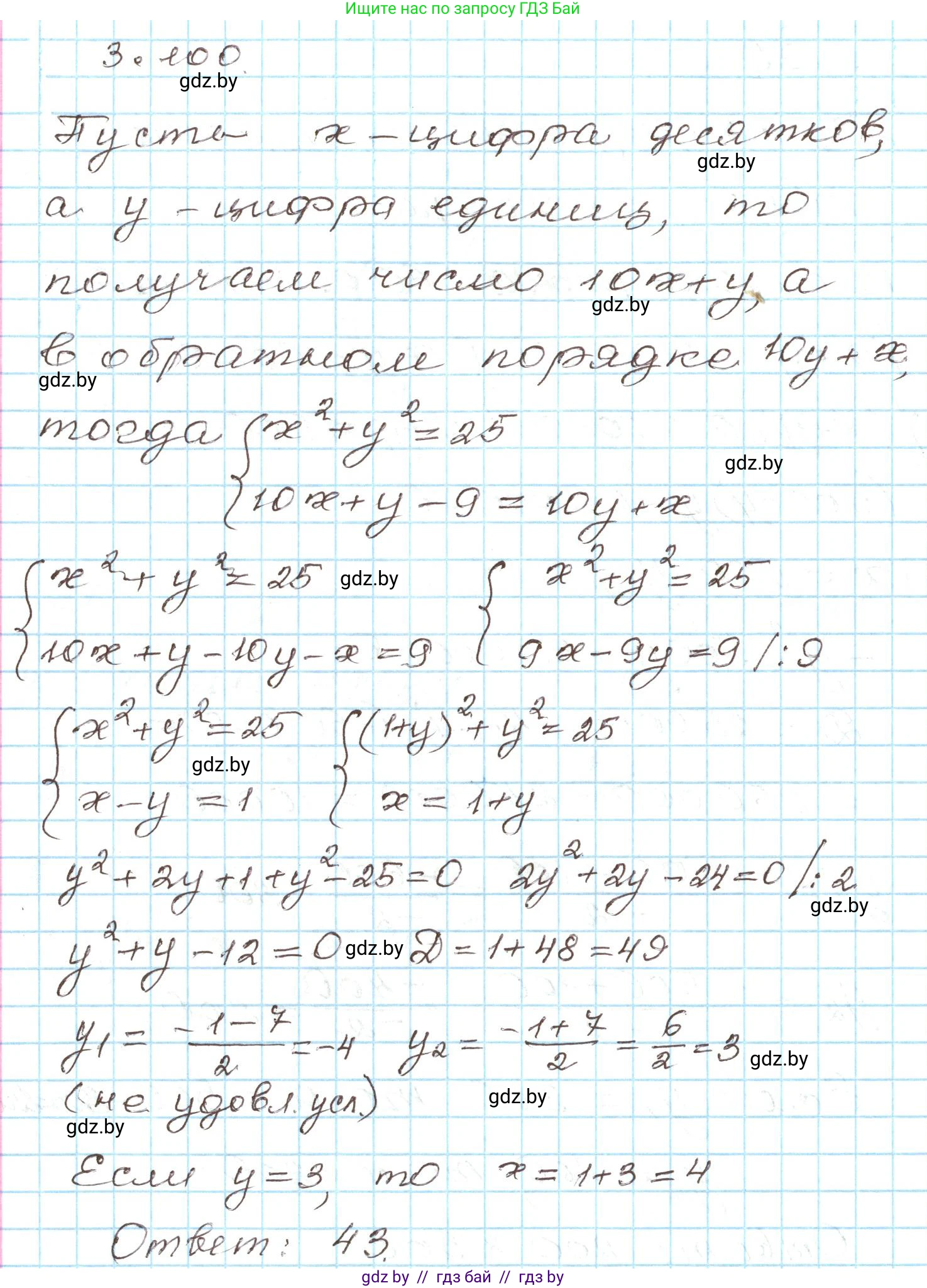
3.100. Сумма квадратов цифр двузначного числа равна 25. Если из этого числа вычесть 9, то получится число, записанное теми же цифрами, но в обратном порядке. Найдите это число.

Решение. №3.100 (с. 169)
Алгебра, 9 класс Учебник, авторы: Арефьева Ирина Глебовна, Пирютко Ольга Николаевна, издательство Народная асвета, Минск, 2019, голубого цвета, страница 169, номер 3.100, Решение
Решение 2. №3.100 (с. 169)

Обозначим искомое двузначное число как $10x + y$, где $x$ — это цифра десятков, а $y$ — цифра единиц. При этом $x$ может быть любой цифрой от 1 до 9, а $y$ — от 0 до 9.

Число, записанное теми же цифрами, но в обратном порядке, будет равно $10y + x$.

Исходя из условий задачи, составим систему уравнений:

  1. Сумма квадратов цифр равна 25:
    $x^2 + y^2 = 25$
  2. Если из исходного числа вычесть 9, получится число с переставленными цифрами:
    $(10x + y) - 9 = 10y + x$

Упростим второе уравнение:

$10x - x + y - 10y = 9$

$9x - 9y = 9$

Разделим обе части уравнения на 9:

$x - y = 1$

Отсюда выразим $x$ через $y$:

$x = y + 1$

Теперь подставим это выражение в первое уравнение системы ($x^2 + y^2 = 25$):

$(y + 1)^2 + y^2 = 25$

Раскроем скобки и решим полученное квадратное уравнение:

$y^2 + 2y + 1 + y^2 = 25$

$2y^2 + 2y + 1 - 25 = 0$

$2y^2 + 2y - 24 = 0$

Разделим уравнение на 2 для упрощения:

$y^2 + y - 12 = 0$

Найдем корни этого квадратного уравнения. По теореме Виета, произведение корней равно -12, а их сумма равна -1. Подходят числа 3 и -4.

$y_1 = 3$

$y_2 = -4$

Поскольку $y$ — это цифра, она не может быть отрицательной. Следовательно, нам подходит только корень $y = 3$.

Теперь найдем $x$, используя ранее выведенную формулу $x = y + 1$:

$x = 3 + 1 = 4$

Таким образом, цифра десятков $x=4$, а цифра единиц $y=3$. Искомое число — 43.

Проверим решение:

  • Сумма квадратов цифр: $4^2 + 3^2 = 16 + 9 = 25$. (Верно)
  • Разность с числом с переставленными цифрами: $43 - 9 = 34$. (Верно)
Найдите это число. Ответ: 43

Помогло решение? Оставьте отзыв в комментариях ниже.

Присоединяйтесь к Телеграм-группе @gdz_by_belarus

Присоединиться

Мы подготовили для вас ответ c подробным объяснением домашего задания по алгебре за 9 класс, для упражнения номер 3.100 расположенного на странице 169 к учебнику 2019 года издания для учащихся школ и гимназий.

Теперь на нашем сайте ГДЗ.ТОП вы всегда легко и бесплатно найдёте условие с правильным ответом на вопрос «Как решить ДЗ» и «Как сделать» задание по алгебре к упражнению №3.100 (с. 169), авторов: Арефьева (Ирина Глебовна), Пирютко (Ольга Николаевна), учебного пособия издательства Народная асвета.