Номер 3.107, страница 170 - гдз по алгебре 9 класс учебник Арефьева, Пирютко

Алгебра, 9 класс Учебник, авторы: Арефьева Ирина Глебовна, Пирютко Ольга Николаевна, издательство Народная асвета, Минск, 2019, голубого цвета

Авторы: Арефьева И. Г., Пирютко О. Н.

Тип: Учебник

Издательство: Народная асвета

Год издания: 2019 - 2026

Цвет обложки: голубой, синий с графиком

ISBN: 978-985-03-3077-2

Допущено Министерством образования Республики Беларусь

Популярные ГДЗ в 9 классе

Глава 3. Дробно-рациональные уравнения и неравенства. Параграф 11. Системы нелинейных уравнений - номер 3.107, страница 170.

№3.107 (с. 170)
Условие. №3.107 (с. 170)
скриншот условия
Алгебра, 9 класс Учебник, авторы: Арефьева Ирина Глебовна, Пирютко Ольга Николаевна, издательство Народная асвета, Минск, 2019, голубого цвета, страница 170, номер 3.107, Условие

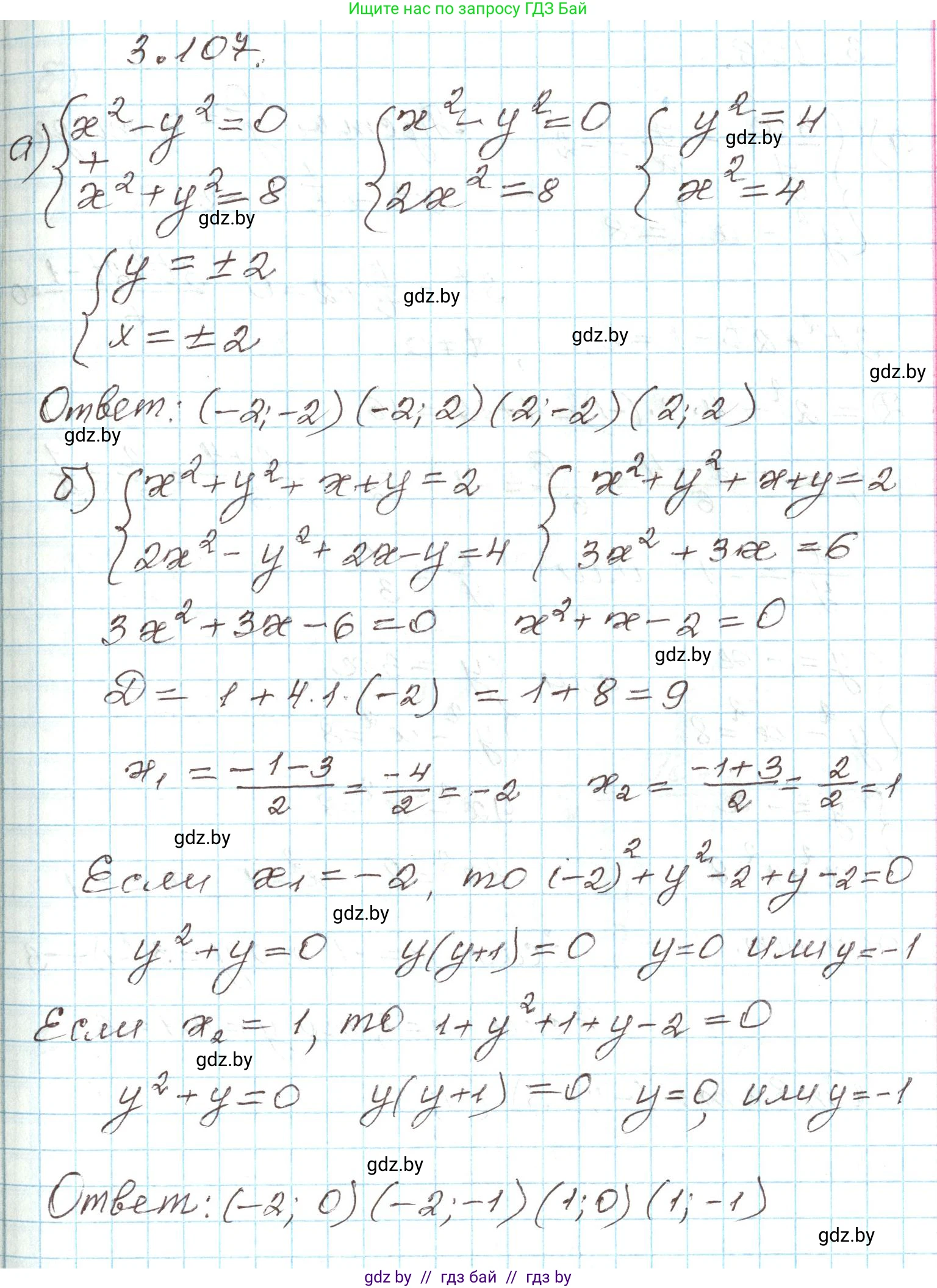
3.107. Решите систему уравнений:

a) $\begin{cases} x^2 - y^2 = 0, \\ x^2 + y^2 = 8; \end{cases}$

б) $\begin{cases} x^2 + y^2 + x + y = 2, \\ 2x^2 - y^2 + 2x - y = 4. \end{cases}$

Решение. №3.107 (с. 170)
Алгебра, 9 класс Учебник, авторы: Арефьева Ирина Глебовна, Пирютко Ольга Николаевна, издательство Народная асвета, Минск, 2019, голубого цвета, страница 170, номер 3.107, Решение
Решение 2. №3.107 (с. 170)

а) Дана система уравнений:

$\begin{cases} x^2 - y^2 = 0, \\ x^2 + y^2 = 8; \end{cases}$

Это система нелинейных уравнений. Для ее решения можно использовать метод сложения и вычитания уравнений.

1. Сложим первое и второе уравнения системы:

$(x^2 - y^2) + (x^2 + y^2) = 0 + 8$

$2x^2 = 8$

$x^2 = 4$

Из этого следует, что $x = \pm\sqrt{4}$, то есть $x_1 = 2$ и $x_2 = -2$.

2. Вычтем первое уравнение из второго:

$(x^2 + y^2) - (x^2 - y^2) = 8 - 0$

$2y^2 = 8$

$y^2 = 4$

Из этого следует, что $y = \pm\sqrt{4}$, то есть $y_1 = 2$ и $y_2 = -2$.

Мы получили, что $x^2 = 4$ и $y^2 = 4$. Оба эти условия удовлетворяют исходной системе уравнений. Следовательно, решениями являются все возможные комбинации значений $x \in \{2, -2\}$ и $y \in \{2, -2\}$.

Пары решений:

  • $(2, 2)$
  • $(2, -2)$
  • $(-2, 2)$
  • $(-2, -2)$

Ответ: $(2, 2), (2, -2), (-2, 2), (-2, -2)$.

б) Дана система уравнений:

$\begin{cases} x^2 + y^2 + x + y = 2, \\ 2x^2 - y^2 + 2x - y = 4. \end{cases}$

Для решения этой системы удобно сложить оба уравнения, так как это позволит исключить переменные $y$ и $y^2$.

1. Сложим два уравнения системы:

$(x^2 + y^2 + x + y) + (2x^2 - y^2 + 2x - y) = 2 + 4$

$3x^2 + 3x = 6$

Разделим обе части уравнения на 3:

$x^2 + x = 2$

$x^2 + x - 2 = 0$

2. Решим полученное квадратное уравнение относительно $x$. Используя теорему Виета (сумма корней равна -1, произведение равно -2), находим корни:

$x_1 = 1$

$x_2 = -2$

3. Теперь для каждого найденного значения $x$ найдем соответствующее значение $y$, подставив $x$ в одно из исходных уравнений. Возьмем первое уравнение: $x^2 + y^2 + x + y = 2$.

Случай 1: $x = 1$.

Подставляем $x = 1$ в первое уравнение:

$1^2 + y^2 + 1 + y = 2$

$1 + y^2 + 1 + y = 2$

$y^2 + y + 2 = 2$

$y^2 + y = 0$

$y(y+1) = 0$

Отсюда получаем два значения для $y$: $y_1 = 0$ и $y_2 = -1$.

Таким образом, мы имеем две пары решений: $(1, 0)$ и $(1, -1)$.

Случай 2: $x = -2$.

Подставляем $x = -2$ в первое уравнение:

$(-2)^2 + y^2 + (-2) + y = 2$

$4 + y^2 - 2 + y = 2$

$y^2 + y + 2 = 2$

$y^2 + y = 0$

$y(y+1) = 0$

Отсюда также получаем два значения для $y$: $y_3 = 0$ и $y_4 = -1$.

Таким образом, мы имеем еще две пары решений: $(-2, 0)$ и $(-2, -1)$.

Всего найдено четыре пары решений. Проверка показывает, что все они удовлетворяют второму уравнению исходной системы.

Ответ: $(1, 0), (1, -1), (-2, 0), (-2, -1)$.

Помогло решение? Оставьте отзыв в комментариях ниже.

Присоединяйтесь к Телеграм-группе @gdz_by_belarus

Присоединиться

Мы подготовили для вас ответ c подробным объяснением домашего задания по алгебре за 9 класс, для упражнения номер 3.107 расположенного на странице 170 к учебнику 2019 года издания для учащихся школ и гимназий.

Теперь на нашем сайте ГДЗ.ТОП вы всегда легко и бесплатно найдёте условие с правильным ответом на вопрос «Как решить ДЗ» и «Как сделать» задание по алгебре к упражнению №3.107 (с. 170), авторов: Арефьева (Ирина Глебовна), Пирютко (Ольга Николаевна), учебного пособия издательства Народная асвета.