Номер 3.101, страница 169 - гдз по алгебре 9 класс учебник Арефьева, Пирютко

Алгебра, 9 класс Учебник, авторы: Арефьева Ирина Глебовна, Пирютко Ольга Николаевна, издательство Народная асвета, Минск, 2019, голубого цвета

Авторы: Арефьева И. Г., Пирютко О. Н.

Тип: Учебник

Издательство: Народная асвета

Год издания: 2019 - 2026

Цвет обложки: голубой, синий с графиком

ISBN: 978-985-03-3077-2

Допущено Министерством образования Республики Беларусь

Популярные ГДЗ в 9 классе

Глава 3. Дробно-рациональные уравнения и неравенства. Параграф 11. Системы нелинейных уравнений - номер 3.101, страница 169.

№3.101 (с. 169)
Условие. №3.101 (с. 169)
скриншот условия
Алгебра, 9 класс Учебник, авторы: Арефьева Ирина Глебовна, Пирютко Ольга Николаевна, издательство Народная асвета, Минск, 2019, голубого цвета, страница 169, номер 3.101, Условие

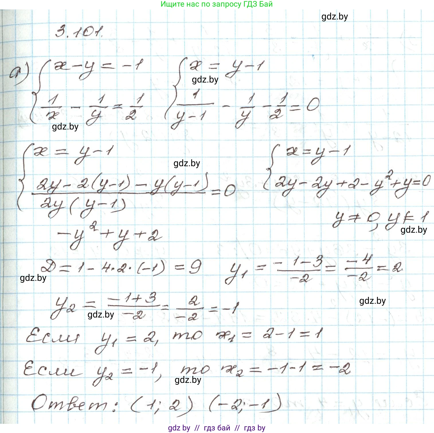
3.101. Способом подстановки решите систему уравнений:

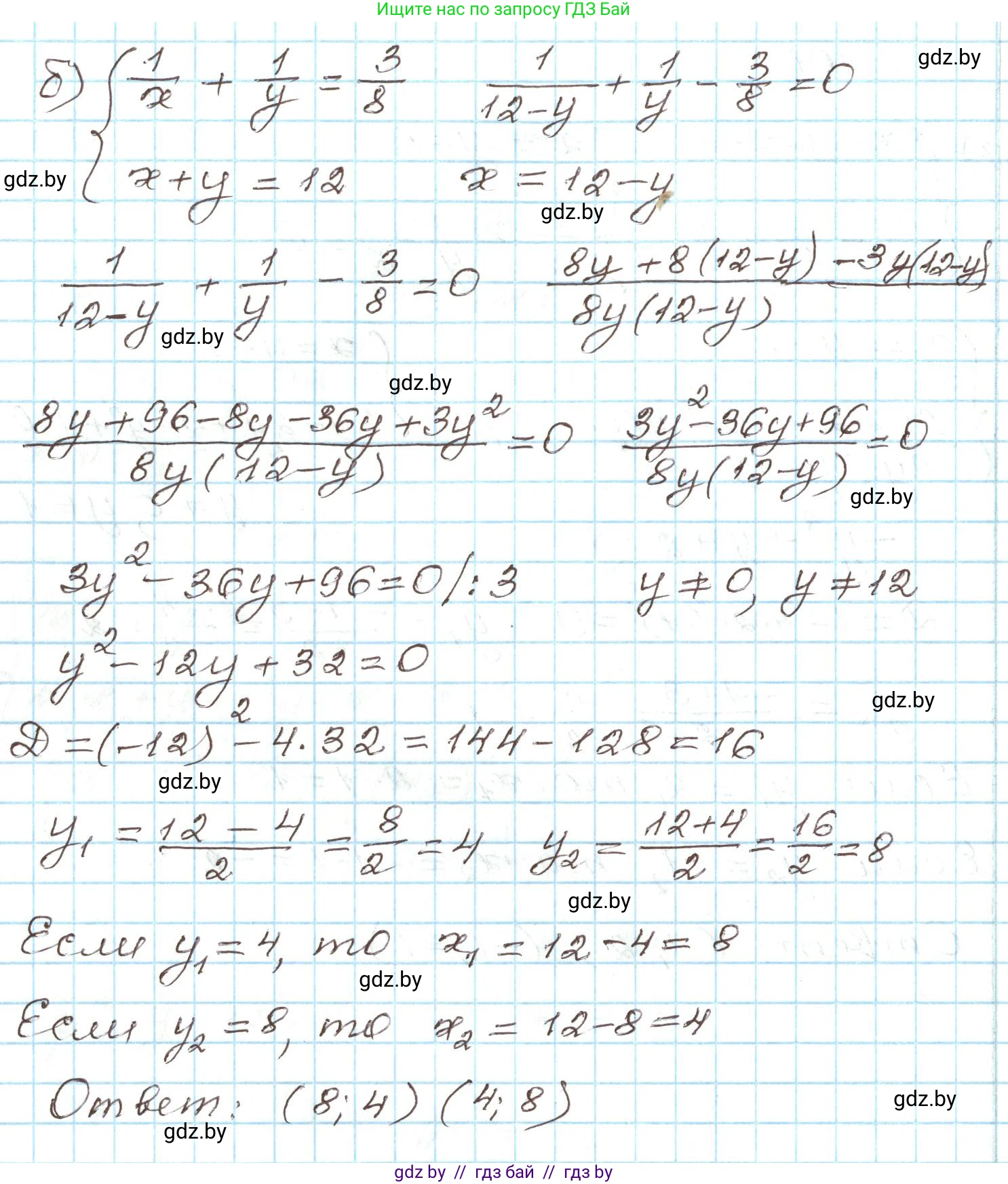
а) $\begin{cases} x - y = -1, \\ \frac{1}{x} - \frac{1}{y} = \frac{1}{2}; \end{cases}$ б) $\begin{cases} \frac{1}{x} + \frac{1}{y} = \frac{3}{8}, \\ x + y = 12. \end{cases}$

Решение. №3.101 (с. 169)
Алгебра, 9 класс Учебник, авторы: Арефьева Ирина Глебовна, Пирютко Ольга Николаевна, издательство Народная асвета, Минск, 2019, голубого цвета, страница 169, номер 3.101, Решение Алгебра, 9 класс Учебник, авторы: Арефьева Ирина Глебовна, Пирютко Ольга Николаевна, издательство Народная асвета, Минск, 2019, голубого цвета, страница 169, номер 3.101, Решение (продолжение 2)
Решение 2. №3.101 (с. 169)

а) $ \begin{cases} x - y = -1, \\ \frac{1}{x} - \frac{1}{y} = \frac{1}{2} \end{cases} $

1. Из первого уравнения системы выразим переменную $x$ через $y$:

$x = y - 1$

2. Подставим это выражение во второе уравнение системы вместо $x$:

$\frac{1}{y-1} - \frac{1}{y} = \frac{1}{2}$

3. Решим полученное дробно-рациональное уравнение. Область допустимых значений (ОДЗ): $y \neq 1$ и $y \neq 0$.

Приведем дроби в левой части уравнения к общему знаменателю $y(y-1)$:

$\frac{y - (y-1)}{y(y-1)} = \frac{1}{2}$

$\frac{y - y + 1}{y(y-1)} = \frac{1}{2}$

$\frac{1}{y^2 - y} = \frac{1}{2}$

4. Используя свойство пропорции, получаем:

$y^2 - y = 2$

Перенесем все члены в левую часть, чтобы получить квадратное уравнение:

$y^2 - y - 2 = 0$

5. Решим квадратное уравнение с помощью теоремы Виета:

Сумма корней $y_1 + y_2 = 1$.

Произведение корней $y_1 \cdot y_2 = -2$.

Подбором находим корни: $y_1 = 2$ и $y_2 = -1$. Оба значения входят в ОДЗ.

6. Теперь найдем соответствующие значения $x$, используя формулу $x = y - 1$:

При $y_1 = 2$, $x_1 = 2 - 1 = 1$.

При $y_2 = -1$, $x_2 = -1 - 1 = -2$.

Таким образом, система имеет два решения: $(1; 2)$ и $(-2; -1)$.

Ответ: $(1; 2)$ и $(-2; -1)$.

б) $ \begin{cases} \frac{1}{x} + \frac{1}{y} = \frac{3}{8}, \\ x + y = 12 \end{cases} $

1. Из второго уравнения системы выразим переменную $y$ через $x$:

$y = 12 - x$

2. Подставим это выражение в первое уравнение системы вместо $y$:

$\frac{1}{x} + \frac{1}{12 - x} = \frac{3}{8}$

3. Решим полученное дробно-рациональное уравнение. ОДЗ: $x \neq 0$ и $12-x \neq 0$, то есть $x \neq 12$.

Приведем дроби в левой части к общему знаменателю $x(12-x)$:

$\frac{12 - x + x}{x(12-x)} = \frac{3}{8}$

$\frac{12}{12x - x^2} = \frac{3}{8}$

4. Разделим обе части уравнения на 3 для упрощения:

$\frac{4}{12x - x^2} = \frac{1}{8}$

5. Используя свойство пропорции, получаем:

$1 \cdot (12x - x^2) = 4 \cdot 8$

$12x - x^2 = 32$

Перенесем все члены в правую часть, чтобы получить стандартное квадратное уравнение:

$x^2 - 12x + 32 = 0$

6. Решим квадратное уравнение с помощью теоремы Виета:

Сумма корней $x_1 + x_2 = 12$.

Произведение корней $x_1 \cdot x_2 = 32$.

Подбором находим корни: $x_1 = 4$ и $x_2 = 8$. Оба значения входят в ОДЗ.

7. Теперь найдем соответствующие значения $y$, используя формулу $y = 12 - x$:

При $x_1 = 4$, $y_1 = 12 - 4 = 8$.

При $x_2 = 8$, $y_2 = 12 - 8 = 4$.

Таким образом, система имеет два решения: $(4; 8)$ и $(8; 4)$.

Ответ: $(4; 8)$ и $(8; 4)$.

Помогло решение? Оставьте отзыв в комментариях ниже.

Присоединяйтесь к Телеграм-группе @gdz_by_belarus

Присоединиться

Мы подготовили для вас ответ c подробным объяснением домашего задания по алгебре за 9 класс, для упражнения номер 3.101 расположенного на странице 169 к учебнику 2019 года издания для учащихся школ и гимназий.

Теперь на нашем сайте ГДЗ.ТОП вы всегда легко и бесплатно найдёте условие с правильным ответом на вопрос «Как решить ДЗ» и «Как сделать» задание по алгебре к упражнению №3.101 (с. 169), авторов: Арефьева (Ирина Глебовна), Пирютко (Ольга Николаевна), учебного пособия издательства Народная асвета.