Номер 4.145, страница 232 - гдз по алгебре 9 класс учебник Арефьева, Пирютко

Алгебра, 9 класс Учебник, авторы: Арефьева Ирина Глебовна, Пирютко Ольга Николаевна, издательство Народная асвета, Минск, 2019, голубого цвета

Авторы: Арефьева И. Г., Пирютко О. Н.

Тип: Учебник

Издательство: Народная асвета

Год издания: 2019 - 2026

Цвет обложки: голубой, синий с графиком

ISBN: 978-985-03-3077-2

Допущено Министерством образования Республики Беларусь

Популярные ГДЗ в 9 классе

Глава 4. Прогрессии. Параграф 16. Формула суммы n первых членов арифметической прогрессии - номер 4.145, страница 232.

№4.145 (с. 232)
Условие. №4.145 (с. 232)
скриншот условия
Алгебра, 9 класс Учебник, авторы: Арефьева Ирина Глебовна, Пирютко Ольга Николаевна, издательство Народная асвета, Минск, 2019, голубого цвета, страница 232, номер 4.145, Условие

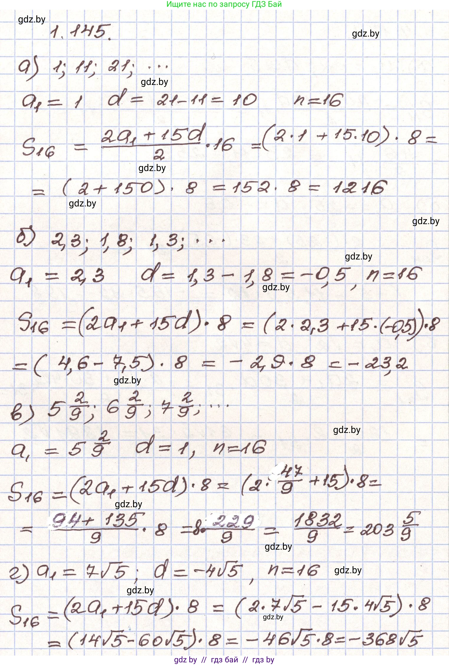
4.145. Определите необходимые компоненты формулы суммы первых $n$ членов арифметической прогрессии и найдите сумму шестнадцати первых членов арифметической прогрессии:

а) 1; 11; 21; ...;

б) 2,3; 1,8; 1,3; ...;

в) $5\frac{2}{9}$; $6\frac{2}{9}$; $7\frac{2}{9}$; ...;

г) $7\sqrt{5}$; $3\sqrt{5}$; $-\sqrt{5}$; ... .

Решение. №4.145 (с. 232)
Алгебра, 9 класс Учебник, авторы: Арефьева Ирина Глебовна, Пирютко Ольга Николаевна, издательство Народная асвета, Минск, 2019, голубого цвета, страница 232, номер 4.145, Решение
Решение 2. №4.145 (с. 232)

Для нахождения суммы первых $n$ членов арифметической прогрессии используются две основные формулы. В данном случае удобнее использовать формулу, которая включает первый член и разность прогрессии, так как их легко определить из заданных последовательностей.

Необходимые компоненты формулы:

  • $a_1$ — первый член прогрессии.
  • $d$ — разность прогрессии (значение, на которое отличается каждый следующий член от предыдущего).
  • $n$ — количество членов, сумму которых нужно найти.

Формула для расчета суммы $S_n$ первых $n$ членов арифметической прогрессии:

$S_n = \frac{2a_1 + d(n-1)}{2} \cdot n$

В нашей задаче требуется найти сумму первых шестнадцати членов, поэтому $n = 16$.


а) 1; 11; 21; ...;

  1. Определяем первый член прогрессии: $a_1 = 1$.
  2. Находим разность прогрессии: $d = a_2 - a_1 = 11 - 1 = 10$.
  3. Подставляем значения $a_1=1$, $d=10$ и $n=16$ в формулу суммы:
    $S_{16} = \frac{2 \cdot 1 + 10(16-1)}{2} \cdot 16$
    $S_{16} = \frac{2 + 10 \cdot 15}{2} \cdot 16$
    $S_{16} = \frac{2 + 150}{2} \cdot 16$
    $S_{16} = \frac{152}{2} \cdot 16 = 76 \cdot 16 = 1216$.

Ответ: 1216


б) 2,3; 1,8; 1,3; ...;

  1. Определяем первый член прогрессии: $a_1 = 2,3$.
  2. Находим разность прогрессии: $d = a_2 - a_1 = 1,8 - 2,3 = -0,5$.
  3. Подставляем значения $a_1=2,3$, $d=-0,5$ и $n=16$ в формулу. Для удобства вычислений представим десятичные дроби в виде обыкновенных: $a_1 = \frac{23}{10}$, $d = -\frac{1}{2}$.
    $S_{16} = \frac{2 \cdot \frac{23}{10} + (-\frac{1}{2})(16-1)}{2} \cdot 16$
    $S_{16} = (\frac{23}{5} - \frac{15}{2}) \cdot 8$
    $S_{16} = (\frac{46 - 75}{10}) \cdot 8$
    $S_{16} = -\frac{29}{10} \cdot 8 = -\frac{29 \cdot 4}{5} = -\frac{116}{5}$
  4. Преобразуем неправильную дробь в смешанное число: $-\frac{116}{5} = -23\frac{1}{5}$.

Ответ: -23$\frac{1}{5}$


в) $5\frac{2}{9}; 6\frac{2}{9}; 7\frac{2}{9}; ...;$

  1. Определяем первый член прогрессии: $a_1 = 5\frac{2}{9}$.
  2. Находим разность прогрессии: $d = a_2 - a_1 = 6\frac{2}{9} - 5\frac{2}{9} = 1$.
  3. Подставляем значения $a_1=5\frac{2}{9}$, $d=1$ и $n=16$ в формулу. Представим $a_1$ в виде неправильной дроби: $a_1 = \frac{47}{9}$.
    $S_{16} = \frac{2 \cdot \frac{47}{9} + 1(16-1)}{2} \cdot 16$
    $S_{16} = \frac{\frac{94}{9} + 15}{2} \cdot 16$
    $S_{16} = \frac{\frac{94}{9} + \frac{135}{9}}{2} \cdot 16$
    $S_{16} = \frac{\frac{229}{9}}{2} \cdot 16 = \frac{229}{18} \cdot 16 = \frac{229 \cdot 8}{9} = \frac{1832}{9}$
  4. Преобразуем неправильную дробь в смешанное число: $\frac{1832}{9} = 203\frac{5}{9}$.

Ответ: 203$\frac{5}{9}$


г) $7\sqrt{5}; 3\sqrt{5}; -\sqrt{5}; ...$

  1. Определяем первый член прогрессии: $a_1 = 7\sqrt{5}$.
  2. Находим разность прогрессии: $d = a_2 - a_1 = 3\sqrt{5} - 7\sqrt{5} = -4\sqrt{5}$.
  3. Подставляем значения $a_1=7\sqrt{5}$, $d=-4\sqrt{5}$ и $n=16$ в формулу суммы:
    $S_{16} = \frac{2 \cdot 7\sqrt{5} + (-4\sqrt{5})(16-1)}{2} \cdot 16$
    $S_{16} = \frac{14\sqrt{5} - 4\sqrt{5} \cdot 15}{2} \cdot 16$
    $S_{16} = \frac{14\sqrt{5} - 60\sqrt{5}}{2} \cdot 16$
    $S_{16} = \frac{-46\sqrt{5}}{2} \cdot 16 = -23\sqrt{5} \cdot 16 = -368\sqrt{5}$.

Ответ: -368$\sqrt{5}$

Помогло решение? Оставьте отзыв в комментариях ниже.

Присоединяйтесь к Телеграм-группе @gdz_by_belarus

Присоединиться

Мы подготовили для вас ответ c подробным объяснением домашего задания по алгебре за 9 класс, для упражнения номер 4.145 расположенного на странице 232 к учебнику 2019 года издания для учащихся школ и гимназий.

Теперь на нашем сайте ГДЗ.ТОП вы всегда легко и бесплатно найдёте условие с правильным ответом на вопрос «Как решить ДЗ» и «Как сделать» задание по алгебре к упражнению №4.145 (с. 232), авторов: Арефьева (Ирина Глебовна), Пирютко (Ольга Николаевна), учебного пособия издательства Народная асвета.