Номер 4.149, страница 232 - гдз по алгебре 9 класс учебник Арефьева, Пирютко

Алгебра, 9 класс Учебник, авторы: Арефьева Ирина Глебовна, Пирютко Ольга Николаевна, издательство Народная асвета, Минск, 2019, голубого цвета

Авторы: Арефьева И. Г., Пирютко О. Н.

Тип: Учебник

Издательство: Народная асвета

Год издания: 2019 - 2026

Цвет обложки: голубой, синий с графиком

ISBN: 978-985-03-3077-2

Допущено Министерством образования Республики Беларусь

Популярные ГДЗ в 9 классе

Глава 4. Прогрессии. Параграф 16. Формула суммы n первых членов арифметической прогрессии - номер 4.149, страница 232.

№4.149 (с. 232)
Условие. №4.149 (с. 232)
скриншот условия
Алгебра, 9 класс Учебник, авторы: Арефьева Ирина Глебовна, Пирютко Ольга Николаевна, издательство Народная асвета, Минск, 2019, голубого цвета, страница 232, номер 4.149, Условие

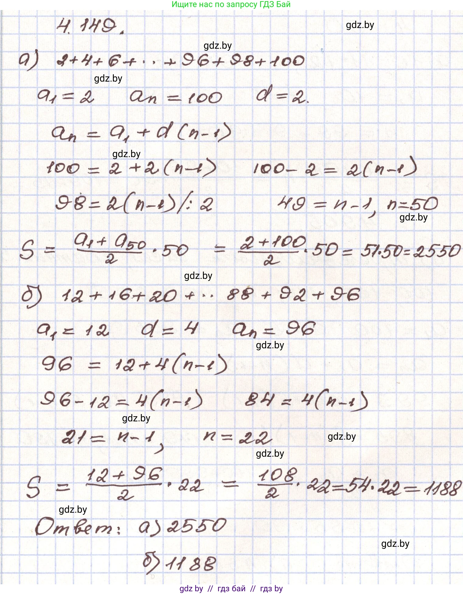
4.149. Какой формулой можно воспользоваться, чтобы найти сумму, если ее слагаемые — последовательные члены арифметической прогрессии:

a) $2+4+6+...+96+98+100$;

б) $12+16+20+...+88+92+96$?

Найдите эту сумму.

Решение. №4.149 (с. 232)
Алгебра, 9 класс Учебник, авторы: Арефьева Ирина Глебовна, Пирютко Ольга Николаевна, издательство Народная асвета, Минск, 2019, голубого цвета, страница 232, номер 4.149, Решение
Решение 2. №4.149 (с. 232)

Для нахождения суммы, если ее слагаемые являются последовательными членами арифметической прогрессии, можно воспользоваться формулой суммы первых $n$ членов арифметической прогрессии:

$S_n = \frac{a_1 + a_n}{2} \cdot n$

где $S_n$ — искомая сумма, $a_1$ — первый член прогрессии, $a_n$ — последний член прогрессии, а $n$ — количество членов в последовательности.

Чтобы использовать эту формулу, сначала нужно определить количество членов $n$ по формуле $n$-го члена арифметической прогрессии:

$a_n = a_1 + (n-1)d$

где $d$ — разность прогрессии.

а) 2 + 4 + 6 + ... + 96 + 98 + 100;

В данном случае мы имеем дело с арифметической прогрессией, у которой:

  • Первый член $a_1 = 2$.
  • Последний член $a_n = 100$.
  • Разность прогрессии $d = 4 - 2 = 2$.

1. Найдем количество членов $n$ в этой прогрессии:

$100 = 2 + (n-1) \cdot 2$

$98 = (n-1) \cdot 2$

$n-1 = \frac{98}{2} = 49$

$n = 49 + 1 = 50$

Итак, в последовательности 50 членов.

2. Теперь вычислим сумму, используя формулу суммы:

$S_{50} = \frac{2 + 100}{2} \cdot 50 = \frac{102}{2} \cdot 50 = 51 \cdot 50 = 2550$

Ответ: 2550

б) 12 + 16 + 20 + ... + 88 + 92 + 96?

Это также арифметическая прогрессия со следующими параметрами:

  • Первый член $a_1 = 12$.
  • Последний член $a_n = 96$.
  • Разность прогрессии $d = 16 - 12 = 4$.

1. Найдем количество членов $n$:

$96 = 12 + (n-1) \cdot 4$

$84 = (n-1) \cdot 4$

$n-1 = \frac{84}{4} = 21$

$n = 21 + 1 = 22$

Таким образом, в последовательности 22 члена.

2. Вычислим сумму:

$S_{22} = \frac{12 + 96}{2} \cdot 22 = \frac{108}{2} \cdot 22 = 54 \cdot 22 = 1188$

Ответ: 1188

Помогло решение? Оставьте отзыв в комментариях ниже.

Присоединяйтесь к Телеграм-группе @gdz_by_belarus

Присоединиться

Мы подготовили для вас ответ c подробным объяснением домашего задания по алгебре за 9 класс, для упражнения номер 4.149 расположенного на странице 232 к учебнику 2019 года издания для учащихся школ и гимназий.

Теперь на нашем сайте ГДЗ.ТОП вы всегда легко и бесплатно найдёте условие с правильным ответом на вопрос «Как решить ДЗ» и «Как сделать» задание по алгебре к упражнению №4.149 (с. 232), авторов: Арефьева (Ирина Глебовна), Пирютко (Ольга Николаевна), учебного пособия издательства Народная асвета.