Номер 4.158, страница 233 - гдз по алгебре 9 класс учебник Арефьева, Пирютко

Алгебра, 9 класс Учебник, авторы: Арефьева Ирина Глебовна, Пирютко Ольга Николаевна, издательство Народная асвета, Минск, 2019, голубого цвета

Авторы: Арефьева И. Г., Пирютко О. Н.

Тип: Учебник

Издательство: Народная асвета

Год издания: 2019 - 2026

Цвет обложки: голубой, синий с графиком

ISBN: 978-985-03-3077-2

Допущено Министерством образования Республики Беларусь

Популярные ГДЗ в 9 классе

Глава 4. Прогрессии. Параграф 16. Формула суммы n первых членов арифметической прогрессии - номер 4.158, страница 233.

№4.158 (с. 233)
Условие. №4.158 (с. 233)
скриншот условия
Алгебра, 9 класс Учебник, авторы: Арефьева Ирина Глебовна, Пирютко Ольга Николаевна, издательство Народная асвета, Минск, 2019, голубого цвета, страница 233, номер 4.158, Условие

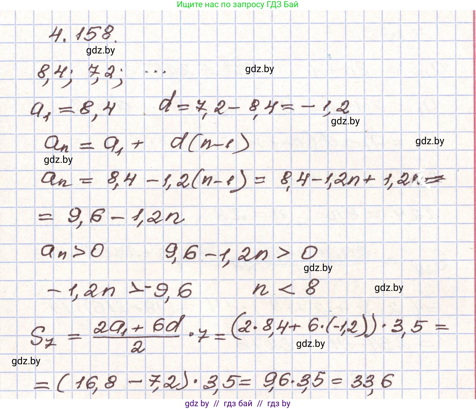
4.158. Найдите сумму всех положительных членов арифметической прогрессии 8,4; 7,2; ... .

Решение. №4.158 (с. 233)
Алгебра, 9 класс Учебник, авторы: Арефьева Ирина Глебовна, Пирютко Ольга Николаевна, издательство Народная асвета, Минск, 2019, голубого цвета, страница 233, номер 4.158, Решение
Решение 2. №4.158 (с. 233)

Данная последовательность является арифметической прогрессией. Для нахождения суммы её положительных членов необходимо выполнить следующие шаги:

  1. Найти параметры прогрессии.
    Первый член прогрессии $a_1 = 8,4$.
    Второй член прогрессии $a_2 = 7,2$.
    Разность арифметической прогрессии $d$ вычисляется как разница между последующим и предыдущим членами: $d = a_2 - a_1 = 7,2 - 8,4 = -1,2$.
  2. Определить количество положительных членов.
    Поскольку разность $d$ отрицательна, прогрессия является убывающей, и начиная с некоторого номера её члены станут отрицательными. Найдём номер $n$ последнего положительного члена. Для этого решим неравенство $a_n > 0$, используя формулу n-го члена $a_n = a_1 + (n-1)d$:

    $8,4 + (n-1)(-1,2) > 0$

    $8,4 - 1,2n + 1,2 > 0$

    $9,6 - 1,2n > 0$

    $9,6 > 1,2n$

    $n < \frac{9,6}{1,2}$

    $n < 8$

    Так как номер члена $n$ должен быть целым числом, то последний положительный член имеет номер $n=7$. Следовательно, в прогрессии 7 положительных членов.
  3. Найти сумму положительных членов.
    Для нахождения суммы нам нужен последний положительный член, то есть $a_7$:

    $a_7 = a_1 + (7-1)d = 8,4 + 6 \cdot (-1,2) = 8,4 - 7,2 = 1,2$.

    Теперь вычислим сумму первых семи членов ($S_7$) по формуле суммы арифметической прогрессии $S_n = \frac{a_1 + a_n}{2} \cdot n$:

    $S_7 = \frac{a_1 + a_7}{2} \cdot 7 = \frac{8,4 + 1,2}{2} \cdot 7 = \frac{9,6}{2} \cdot 7 = 4,8 \cdot 7 = 33,6$.

  4. Представить результат в требуемом формате.
    Сумма равна 33,6. Преобразуем это десятичное число в смешанную дробь:

    $33,6 = 33\frac{6}{10} = 33\frac{3}{5}$.

    Целая часть равна 33.

Ответ: **33** $\frac{3}{5}$

Помогло решение? Оставьте отзыв в комментариях ниже.

Присоединяйтесь к Телеграм-группе @gdz_by_belarus

Присоединиться

Мы подготовили для вас ответ c подробным объяснением домашего задания по алгебре за 9 класс, для упражнения номер 4.158 расположенного на странице 233 к учебнику 2019 года издания для учащихся школ и гимназий.

Теперь на нашем сайте ГДЗ.ТОП вы всегда легко и бесплатно найдёте условие с правильным ответом на вопрос «Как решить ДЗ» и «Как сделать» задание по алгебре к упражнению №4.158 (с. 233), авторов: Арефьева (Ирина Глебовна), Пирютко (Ольга Николаевна), учебного пособия издательства Народная асвета.