Номер 4.162, страница 233 - гдз по алгебре 9 класс учебник Арефьева, Пирютко

Алгебра, 9 класс Учебник, авторы: Арефьева Ирина Глебовна, Пирютко Ольга Николаевна, издательство Народная асвета, Минск, 2019, голубого цвета

Авторы: Арефьева И. Г., Пирютко О. Н.

Тип: Учебник

Издательство: Народная асвета

Год издания: 2019 - 2026

Цвет обложки: голубой, синий с графиком

ISBN: 978-985-03-3077-2

Допущено Министерством образования Республики Беларусь

Популярные ГДЗ в 9 классе

Глава 4. Прогрессии. Параграф 16. Формула суммы n первых членов арифметической прогрессии - номер 4.162, страница 233.

№4.162 (с. 233)
Условие. №4.162 (с. 233)
скриншот условия
Алгебра, 9 класс Учебник, авторы: Арефьева Ирина Глебовна, Пирютко Ольга Николаевна, издательство Народная асвета, Минск, 2019, голубого цвета, страница 233, номер 4.162, Условие

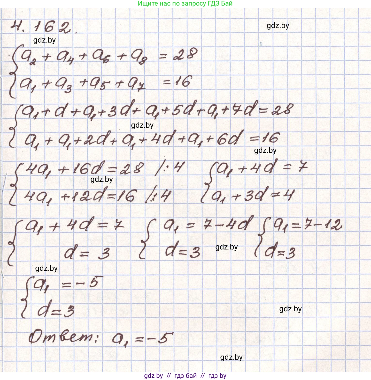
4.162*. Арифметическая прогрессия содержит 8 членов. Сумма членов, стоящих на четных местах, равна 28, а сумма членов, стоящих на нечетных местах, равна 16. Найдите первый член прогрессии.

Решение. №4.162 (с. 233)
Алгебра, 9 класс Учебник, авторы: Арефьева Ирина Глебовна, Пирютко Ольга Николаевна, издательство Народная асвета, Минск, 2019, голубого цвета, страница 233, номер 4.162, Решение
Решение 2. №4.162 (с. 233)

Пусть $a_n$ — n-ый член арифметической прогрессии, где $a_1$ — первый член, а $d$ — разность прогрессии. По условию, прогрессия содержит 8 членов.

Сумма членов, стоящих на нечетных местах (1, 3, 5, 7), равна 16:

$S_{нечет} = a_1 + a_3 + a_5 + a_7 = 16$

Сумма членов, стоящих на четных местах (2, 4, 6, 8), равна 28:

$S_{чет} = a_2 + a_4 + a_6 + a_8 = 28$

Можно заметить, что каждый член, стоящий на четном месте, равен предыдущему члену, стоящему на нечетном месте, сложенному с разностью прогрессии $d$.

$a_2 = a_1 + d$

$a_4 = a_3 + d$

$a_6 = a_5 + d$

$a_8 = a_7 + d$

Следовательно, разность между суммой членов на четных местах и суммой членов на нечетных местах равна сумме четырех разностей прогрессии:

$S_{чет} - S_{нечет} = (a_2 + a_4 + a_6 + a_8) - (a_1 + a_3 + a_5 + a_7)$

$S_{чет} - S_{нечет} = (a_2 - a_1) + (a_4 - a_3) + (a_6 - a_5) + (a_8 - a_7)$

$S_{чет} - S_{нечет} = d + d + d + d = 4d$

Подставим известные значения сумм:

$28 - 16 = 4d$

$12 = 4d$

$d = \frac{12}{4} = 3$

Теперь, зная разность прогрессии $d=3$, мы можем найти первый член $a_1$. Воспользуемся формулой для суммы членов на нечетных местах, выразив каждый член через $a_1$ и $d$ по формуле $a_n = a_1 + (n-1)d$:

$S_{нечет} = a_1 + (a_1 + 2d) + (a_1 + 4d) + (a_1 + 6d) = 16$

Сгруппируем слагаемые:

$4a_1 + 12d = 16$

Подставим найденное значение $d=3$ в это уравнение:

$4a_1 + 12 \cdot 3 = 16$

$4a_1 + 36 = 16$

$4a_1 = 16 - 36$

$4a_1 = -20$

$a_1 = \frac{-20}{4} = -5$

Ответ: -5.

Помогло решение? Оставьте отзыв в комментариях ниже.

Присоединяйтесь к Телеграм-группе @gdz_by_belarus

Присоединиться

Мы подготовили для вас ответ c подробным объяснением домашего задания по алгебре за 9 класс, для упражнения номер 4.162 расположенного на странице 233 к учебнику 2019 года издания для учащихся школ и гимназий.

Теперь на нашем сайте ГДЗ.ТОП вы всегда легко и бесплатно найдёте условие с правильным ответом на вопрос «Как решить ДЗ» и «Как сделать» задание по алгебре к упражнению №4.162 (с. 233), авторов: Арефьева (Ирина Глебовна), Пирютко (Ольга Николаевна), учебного пособия издательства Народная асвета.