Номер 4.167, страница 234 - гдз по алгебре 9 класс учебник Арефьева, Пирютко

Алгебра, 9 класс Учебник, авторы: Арефьева Ирина Глебовна, Пирютко Ольга Николаевна, издательство Народная асвета, Минск, 2019, голубого цвета

Авторы: Арефьева И. Г., Пирютко О. Н.

Тип: Учебник

Издательство: Народная асвета

Год издания: 2019 - 2026

Цвет обложки: голубой, синий с графиком

ISBN: 978-985-03-3077-2

Допущено Министерством образования Республики Беларусь

Популярные ГДЗ в 9 классе

Глава 4. Прогрессии. Параграф 16. Формула суммы n первых членов арифметической прогрессии - номер 4.167, страница 234.

№4.167 (с. 234)
Условие. №4.167 (с. 234)
скриншот условия
Алгебра, 9 класс Учебник, авторы: Арефьева Ирина Глебовна, Пирютко Ольга Николаевна, издательство Народная асвета, Минск, 2019, голубого цвета, страница 234, номер 4.167, Условие

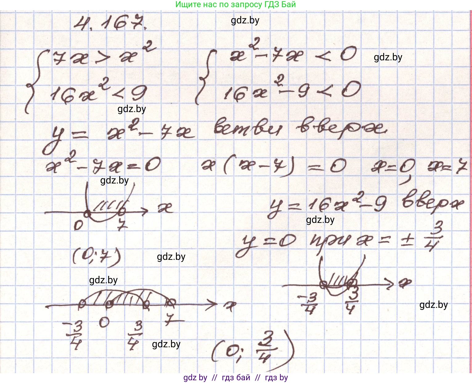
4.167. Решите систему неравенств

$\begin{cases} 7x > x^2, \\ 16x^2 < 9. \end{cases}$

Решение. №4.167 (с. 234)
Алгебра, 9 класс Учебник, авторы: Арефьева Ирина Глебовна, Пирютко Ольга Николаевна, издательство Народная асвета, Минск, 2019, голубого цвета, страница 234, номер 4.167, Решение
Решение 2. №4.167 (с. 234)

Для решения данной системы неравенств необходимо решить каждое неравенство по отдельности, а затем найти пересечение полученных множеств решений.

1. Решим первое неравенство: $7x > x^2$

Перенесем все слагаемые в одну часть, чтобы получить стандартное квадратное неравенство:

$7x - x^2 > 0$

Умножим обе части на $-1$ и сменим знак неравенства на противоположный:

$x^2 - 7x < 0$

Разложим левую часть на множители, вынеся $x$ за скобку:

$x(x - 7) < 0$

Корнями соответствующего уравнения $x(x - 7) = 0$ являются $x_1 = 0$ и $x_2 = 7$. Поскольку ветви параболы $y = x^2 - 7x$ направлены вверх, неравенство $x^2 - 7x < 0$ выполняется на интервале между корнями.

Решение первого неравенства: $x \in (0; 7)$.

2. Решим второе неравенство: $16x^2 < 9$

Перенесем 9 в левую часть:

$16x^2 - 9 < 0$

Применим формулу разности квадратов $a^2 - b^2 = (a-b)(a+b)$:

$(4x)^2 - 3^2 < 0$

$(4x - 3)(4x + 3) < 0$

Корнями соответствующего уравнения $(4x - 3)(4x + 3) = 0$ являются $x_1 = \frac{3}{4}$ и $x_2 = -\frac{3}{4}$. Аналогично первому случаю, решение неравенства находится между корнями.

Решение второго неравенства: $x \in (-\frac{3}{4}; \frac{3}{4})$.

3. Найдем решение системы

Решением системы является пересечение найденных интервалов:

$x \in (0; 7) \cap (-\frac{3}{4}; \frac{3}{4})$

На числовой прямой это соответствует общему промежутку, который начинается с $\max(0, -\frac{3}{4}) = 0$ и заканчивается $\min(7, \frac{3}{4}) = \frac{3}{4}$.

Итоговое решение системы:

4.167. Ответ: $x \in (0; \frac{3}{4})$.

Помогло решение? Оставьте отзыв в комментариях ниже.

Присоединяйтесь к Телеграм-группе @gdz_by_belarus

Присоединиться

Мы подготовили для вас ответ c подробным объяснением домашего задания по алгебре за 9 класс, для упражнения номер 4.167 расположенного на странице 234 к учебнику 2019 года издания для учащихся школ и гимназий.

Теперь на нашем сайте ГДЗ.ТОП вы всегда легко и бесплатно найдёте условие с правильным ответом на вопрос «Как решить ДЗ» и «Как сделать» задание по алгебре к упражнению №4.167 (с. 234), авторов: Арефьева (Ирина Глебовна), Пирютко (Ольга Николаевна), учебного пособия издательства Народная асвета.