Номер 4.200, страница 243 - гдз по алгебре 9 класс учебник Арефьева, Пирютко

Алгебра, 9 класс Учебник, авторы: Арефьева Ирина Глебовна, Пирютко Ольга Николаевна, издательство Народная асвета, Минск, 2019, голубого цвета

Авторы: Арефьева И. Г., Пирютко О. Н.

Тип: Учебник

Издательство: Народная асвета

Год издания: 2019 - 2026

Цвет обложки: голубой, синий с графиком

ISBN: 978-985-03-3077-2

Допущено Министерством образования Республики Беларусь

Популярные ГДЗ в 9 классе

Глава 4. Прогрессии. Параграф 17. Геометрическая прогрессия - номер 4.200, страница 243.

№4.200 (с. 243)
Условие. №4.200 (с. 243)
скриншот условия
Алгебра, 9 класс Учебник, авторы: Арефьева Ирина Глебовна, Пирютко Ольга Николаевна, издательство Народная асвета, Минск, 2019, голубого цвета, страница 243, номер 4.200, Условие

4.200*. Проверьте, является ли геометрической прогрессией последовательность:

а) $b_n = 5^n$;

б) $c_n = \frac{7}{11} \cdot 8^{n-1}$;

в) $x_n = 2n^3$;

г) $y_n = -5n$.

Если да, то найдите ее первый член и знаменатель.

Решение. №4.200 (с. 243)
Алгебра, 9 класс Учебник, авторы: Арефьева Ирина Глебовна, Пирютко Ольга Николаевна, издательство Народная асвета, Минск, 2019, голубого цвета, страница 243, номер 4.200, Решение Алгебра, 9 класс Учебник, авторы: Арефьева Ирина Глебовна, Пирютко Ольга Николаевна, издательство Народная асвета, Минск, 2019, голубого цвета, страница 243, номер 4.200, Решение (продолжение 2)
Решение 2. №4.200 (с. 243)

Для проверки, является ли последовательность геометрической прогрессией, необходимо убедиться, что отношение любого члена последовательности к предыдущему является постоянной величиной. Эта величина называется знаменателем геометрической прогрессии ($q$). То есть, для любого $n \ge 1$ должно выполняться равенство $\frac{a_{n+1}}{a_n} = q$, где $q$ — константа.

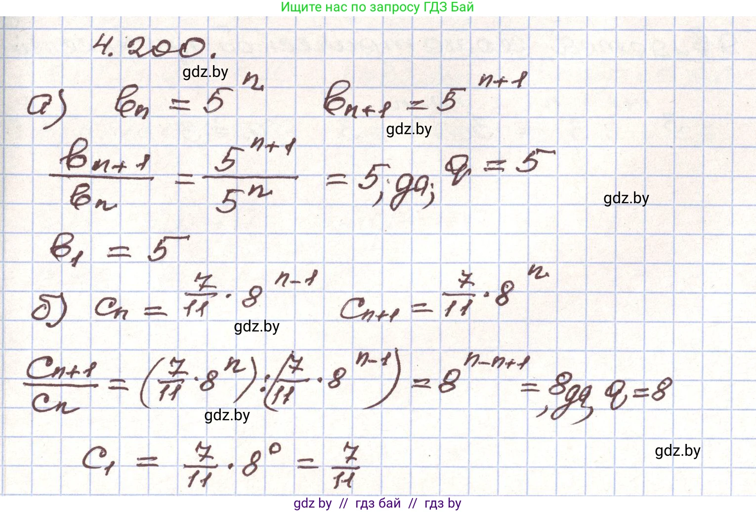
а) $b_n = 5^n$

Найдем отношение $(n+1)$-го члена к $n$-му:

$\frac{b_{n+1}}{b_n} = \frac{5^{n+1}}{5^n} = 5^{n+1-n} = 5$

Отношение постоянно и равно 5. Следовательно, последовательность является геометрической прогрессией со знаменателем $q = 5$.
Первый член прогрессии ($n=1$):

$b_1 = 5^1 = 5$

Ответ: да, является. Первый член $b_1 = 5$, знаменатель $q = 5$.

б) $c_n = \frac{7}{11} \cdot 8^{n-1}$

Найдем отношение $(n+1)$-го члена к $n$-му:

$\frac{c_{n+1}}{c_n} = \frac{\frac{7}{11} \cdot 8^{(n+1)-1}}{\frac{7}{11} \cdot 8^{n-1}} = \frac{8^n}{8^{n-1}} = 8^{n-(n-1)} = 8$

Отношение постоянно и равно 8. Следовательно, последовательность является геометрической прогрессией со знаменателем $q = 8$.
Первый член прогрессии ($n=1$):

$c_1 = \frac{7}{11} \cdot 8^{1-1} = \frac{7}{11} \cdot 8^0 = \frac{7}{11} \cdot 1 = \frac{7}{11}$

Ответ: да, является. Первый член $c_1 = \frac{7}{11}$, знаменатель $q = 8$.

в) $x_n = 2n^3$

Найдем отношение $(n+1)$-го члена к $n$-му:

$\frac{x_{n+1}}{x_n} = \frac{2(n+1)^3}{2n^3} = \frac{(n+1)^3}{n^3} = \left(\frac{n+1}{n}\right)^3 = \left(1 + \frac{1}{n}\right)^3$

Отношение зависит от $n$. Например, при $n=1$ отношение $\frac{x_2}{x_1} = \left(1 + \frac{1}{1}\right)^3 = 8$, а при $n=2$ оно равно $\left(1 + \frac{1}{2}\right)^3 = \left(\frac{3}{2}\right)^3 = \frac{27}{8} = \mathbf{3}\frac{3}{8}$. Так как отношение не является постоянной величиной, последовательность не является геометрической прогрессией.

Ответ: нет, не является.

г) $y_n = -5n$

Найдем отношение $(n+1)$-го члена к $n$-му:

$\frac{y_{n+1}}{y_n} = \frac{-5(n+1)}{-5n} = \frac{n+1}{n} = 1 + \frac{1}{n}$

Отношение зависит от $n$. Например, при $n=1$ отношение $\frac{y_2}{y_1} = 1 + \frac{1}{1} = 2$, а при $n=2$ оно равно $1 + \frac{1}{2} = \frac{3}{2} = \mathbf{1}\frac{1}{2}$. Так как отношение не является постоянной величиной, последовательность не является геометрической прогрессией.

Ответ: нет, не является.

Помогло решение? Оставьте отзыв в комментариях ниже.

Присоединяйтесь к Телеграм-группе @gdz_by_belarus

Присоединиться

Мы подготовили для вас ответ c подробным объяснением домашего задания по алгебре за 9 класс, для упражнения номер 4.200 расположенного на странице 243 к учебнику 2019 года издания для учащихся школ и гимназий.

Теперь на нашем сайте ГДЗ.ТОП вы всегда легко и бесплатно найдёте условие с правильным ответом на вопрос «Как решить ДЗ» и «Как сделать» задание по алгебре к упражнению №4.200 (с. 243), авторов: Арефьева (Ирина Глебовна), Пирютко (Ольга Николаевна), учебного пособия издательства Народная асвета.