Номер 4.202, страница 244 - гдз по алгебре 9 класс учебник Арефьева, Пирютко

Алгебра, 9 класс Учебник, авторы: Арефьева Ирина Глебовна, Пирютко Ольга Николаевна, издательство Народная асвета, Минск, 2019, голубого цвета

Авторы: Арефьева И. Г., Пирютко О. Н.

Тип: Учебник

Издательство: Народная асвета

Год издания: 2019 - 2026

Цвет обложки: голубой, синий с графиком

ISBN: 978-985-03-3077-2

Допущено Министерством образования Республики Беларусь

Популярные ГДЗ в 9 классе

Глава 4. Прогрессии. Параграф 17. Геометрическая прогрессия - номер 4.202, страница 244.

№4.202 (с. 244)
Условие. №4.202 (с. 244)
скриншот условия
Алгебра, 9 класс Учебник, авторы: Арефьева Ирина Глебовна, Пирютко Ольга Николаевна, издательство Народная асвета, Минск, 2019, голубого цвета, страница 244, номер 4.202, Условие

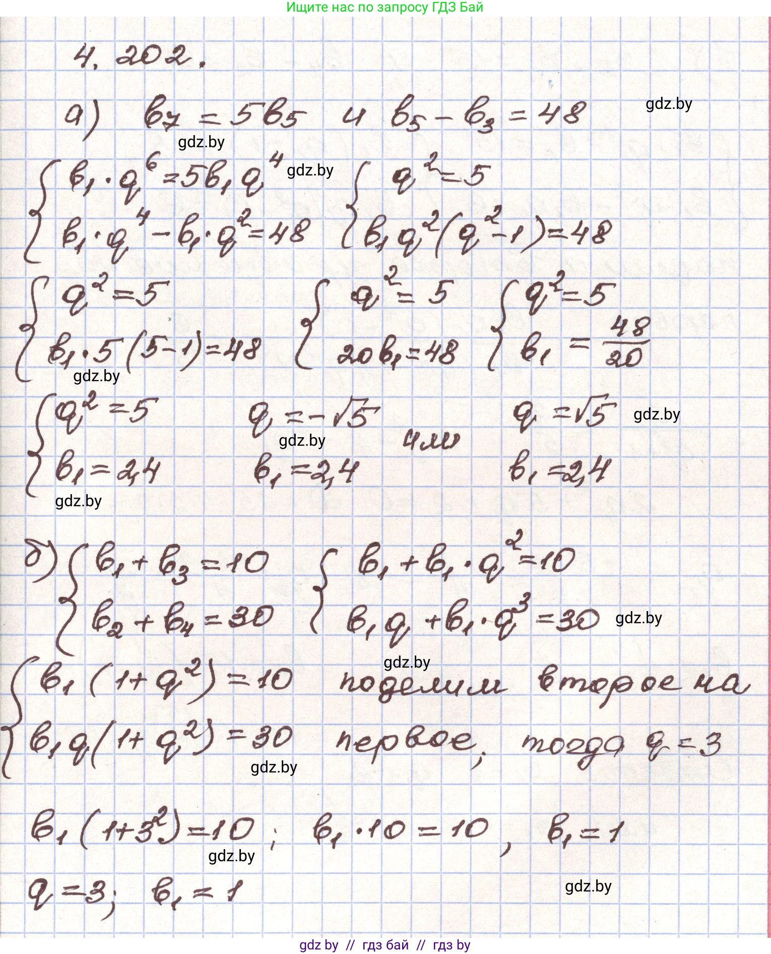
4.202*. Найдите первый член и знаменатель геометрической прогрессии ($b_n$), если:

а) $b_7=5b_5$ и $b_5-b_3=48$;

б) $b_1+b_3=10$ и $b_2+b_4=30$;

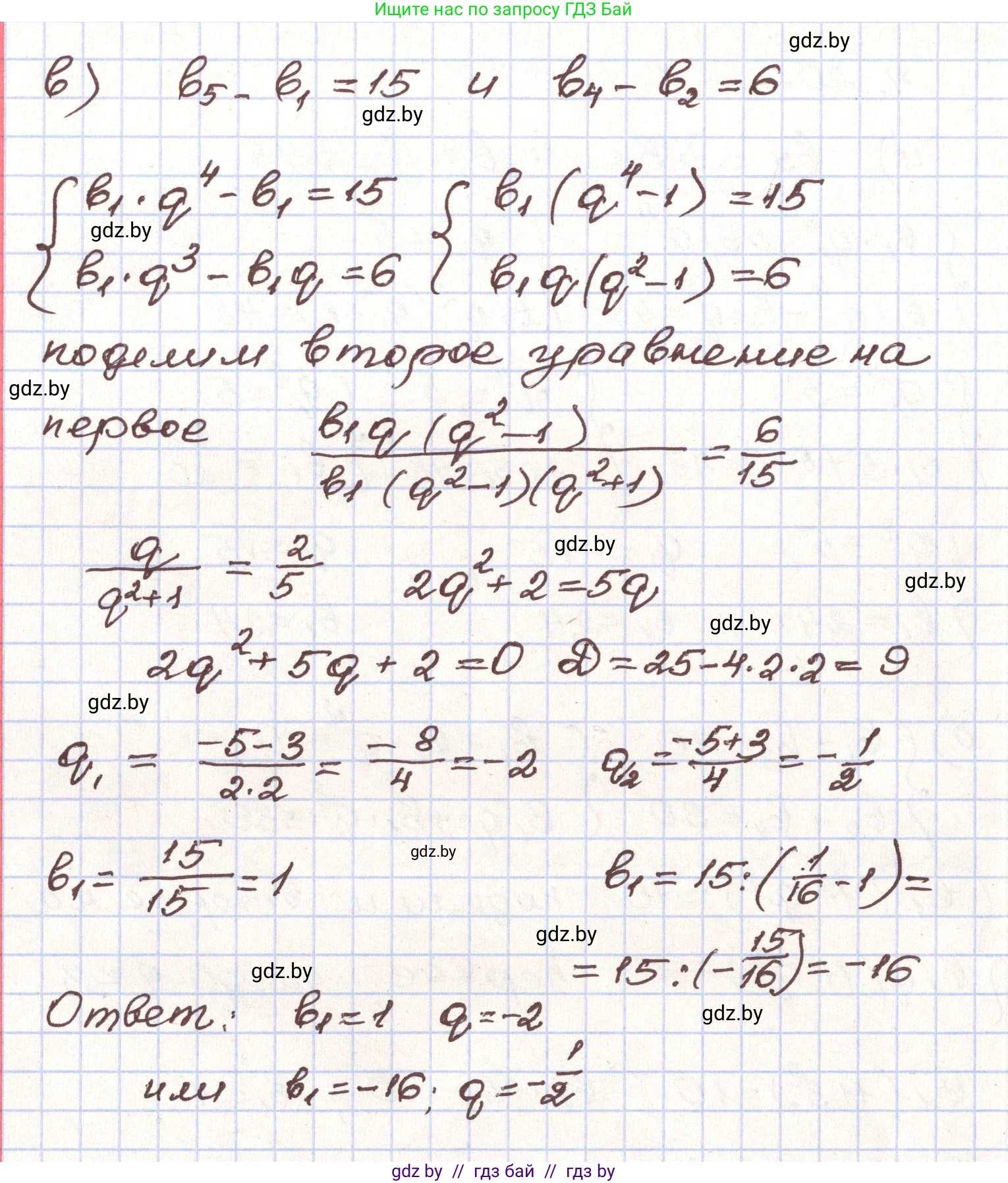
в) $b_5-b_1=15$ и $b_4-b_2=6$.

Решение. №4.202 (с. 244)
Алгебра, 9 класс Учебник, авторы: Арефьева Ирина Глебовна, Пирютко Ольга Николаевна, издательство Народная асвета, Минск, 2019, голубого цвета, страница 244, номер 4.202, Решение Алгебра, 9 класс Учебник, авторы: Арефьева Ирина Глебовна, Пирютко Ольга Николаевна, издательство Народная асвета, Минск, 2019, голубого цвета, страница 244, номер 4.202, Решение (продолжение 2)
Решение 2. №4.202 (с. 244)

а) Дана система уравнений: $$ \begin{cases} b_7 = 5b_5 \\ b_5 - b_3 = 48 \end{cases} $$ Используем формулу n-го члена геометрической прогрессии $b_n = b_1 q^{n-1}$. Выразим члены прогрессии через первый член $b_1$ и знаменатель $q$: $$ \begin{cases} b_1 q^6 = 5 b_1 q^4 \\ b_1 q^4 - b_1 q^2 = 48 \end{cases} $$ Из первого уравнения, предполагая, что $b_1 \neq 0$ и $q \neq 0$ (что следует из второго уравнения), получаем:
$b_1 q^6 - 5 b_1 q^4 = 0$
$b_1 q^4 (q^2 - 5) = 0$
Так как $b_1 q^4 \neq 0$, то:
$q^2 - 5 = 0 \implies q^2 = 5$
Отсюда $q = \sqrt{5}$ или $q = -\sqrt{5}$.

Подставим $q^2 = 5$ во второе уравнение системы:
$b_1(q^4 - q^2) = 48$
$b_1((q^2)^2 - q^2) = 48$
$b_1(5^2 - 5) = 48$
$b_1(25 - 5) = 48$
$b_1 \cdot 20 = 48$
$b_1 = \frac{48}{20} = \frac{12}{5} = 2\frac{2}{5}$

Ответ: $b_1 = 2\frac{2}{5}$, $q = \pm\sqrt{5}$.

б) Дана система уравнений: $$ \begin{cases} b_1 + b_3 = 10 \\ b_2 + b_4 = 30 \end{cases} $$ Выразим члены прогрессии через $b_1$ и $q$: $$ \begin{cases} b_1 + b_1 q^2 = 10 \\ b_1 q + b_1 q^3 = 30 \end{cases} $$ Вынесем общие множители за скобки: $$ \begin{cases} b_1(1 + q^2) = 10 \\ b_1 q(1 + q^2) = 30 \end{cases} $$ Разделим второе уравнение на первое (поскольку правые части не равны нулю, то и левые части не равны нулю):
$\frac{b_1 q(1 + q^2)}{b_1(1 + q^2)} = \frac{30}{10}$
$q = 3$

Подставим найденное значение $q$ в первое уравнение:
$b_1(1 + 3^2) = 10$
$b_1(1 + 9) = 10$
$b_1 \cdot 10 = 10$
$b_1 = 1$

Ответ: $b_1 = 1$, $q = 3$.

в) Дана система уравнений: $$ \begin{cases} b_5 - b_1 = 15 \\ b_4 - b_2 = 6 \end{cases} $$ Выразим члены прогрессии через $b_1$ и $q$: $$ \begin{cases} b_1 q^4 - b_1 = 15 \\ b_1 q^3 - b_1 q = 6 \end{cases} $$ Вынесем общие множители за скобки: $$ \begin{cases} b_1(q^4 - 1) = 15 \\ b_1 q(q^2 - 1) = 6 \end{cases} $$ Разложим $q^4 - 1$ на множители как разность квадратов: $q^4 - 1 = (q^2 - 1)(q^2 + 1)$.
Система примет вид: $$ \begin{cases} b_1(q^2 - 1)(q^2 + 1) = 15 \\ b_1 q(q^2 - 1) = 6 \end{cases} $$ Разделим первое уравнение на второе (при условии, что $b_1 \neq 0, q \neq 0, q^2 - 1 \neq 0$):
$\frac{b_1(q^2 - 1)(q^2 + 1)}{b_1 q(q^2 - 1)} = \frac{15}{6}$
$\frac{q^2 + 1}{q} = \frac{5}{2}$

Решим полученное уравнение относительно $q$:
$2(q^2 + 1) = 5q$
$2q^2 + 2 = 5q$
$2q^2 - 5q + 2 = 0$
Это квадратное уравнение. Найдем его корни.
Дискриминант $D = (-5)^2 - 4 \cdot 2 \cdot 2 = 25 - 16 = 9 = 3^2$.
$q_1 = \frac{5 - 3}{2 \cdot 2} = \frac{2}{4} = \frac{1}{2}$
$q_2 = \frac{5 + 3}{2 \cdot 2} = \frac{8}{4} = 2$

Найдем $b_1$ для каждого значения $q$, используя уравнение $b_1 q(q^2 - 1) = 6$.

1) Если $q = 2$:
$b_1 \cdot 2(2^2 - 1) = 6$
$b_1 \cdot 2(3) = 6$
$6b_1 = 6$
$b_1 = 1$

2) Если $q = \frac{1}{2}$:
$b_1 \cdot \frac{1}{2}((\frac{1}{2})^2 - 1) = 6$
$b_1 \cdot \frac{1}{2}(\frac{1}{4} - 1) = 6$
$b_1 \cdot \frac{1}{2}(-\frac{3}{4}) = 6$
$b_1(-\frac{3}{8}) = 6$
$b_1 = 6 \cdot (-\frac{8}{3}) = -16$

Таким образом, существуют две прогрессии, удовлетворяющие условию.

Ответ: $b_1 = 1, q = 2$ или $b_1 = -16, q = \frac{1}{2}$.

Помогло решение? Оставьте отзыв в комментариях ниже.

Присоединяйтесь к Телеграм-группе @gdz_by_belarus

Присоединиться

Мы подготовили для вас ответ c подробным объяснением домашего задания по алгебре за 9 класс, для упражнения номер 4.202 расположенного на странице 244 к учебнику 2019 года издания для учащихся школ и гимназий.

Теперь на нашем сайте ГДЗ.ТОП вы всегда легко и бесплатно найдёте условие с правильным ответом на вопрос «Как решить ДЗ» и «Как сделать» задание по алгебре к упражнению №4.202 (с. 244), авторов: Арефьева (Ирина Глебовна), Пирютко (Ольга Николаевна), учебного пособия издательства Народная асвета.