Номер 4.76, страница 221 - гдз по алгебре 9 класс учебник Арефьева, Пирютко

Алгебра, 9 класс Учебник, авторы: Арефьева Ирина Глебовна, Пирютко Ольга Николаевна, издательство Народная асвета, Минск, 2019, голубого цвета

Авторы: Арефьева И. Г., Пирютко О. Н.

Тип: Учебник

Издательство: Народная асвета

Год издания: 2019 - 2026

Цвет обложки: голубой, синий с графиком

ISBN: 978-985-03-3077-2

Допущено Министерством образования Республики Беларусь

Популярные ГДЗ в 9 классе

Глава 4. Прогрессии. Параграф 15. Арифметическая прогрессия - номер 4.76, страница 221.

№4.76 (с. 221)
Условие. №4.76 (с. 221)
скриншот условия
Алгебра, 9 класс Учебник, авторы: Арефьева Ирина Глебовна, Пирютко Ольга Николаевна, издательство Народная асвета, Минск, 2019, голубого цвета, страница 221, номер 4.76, Условие

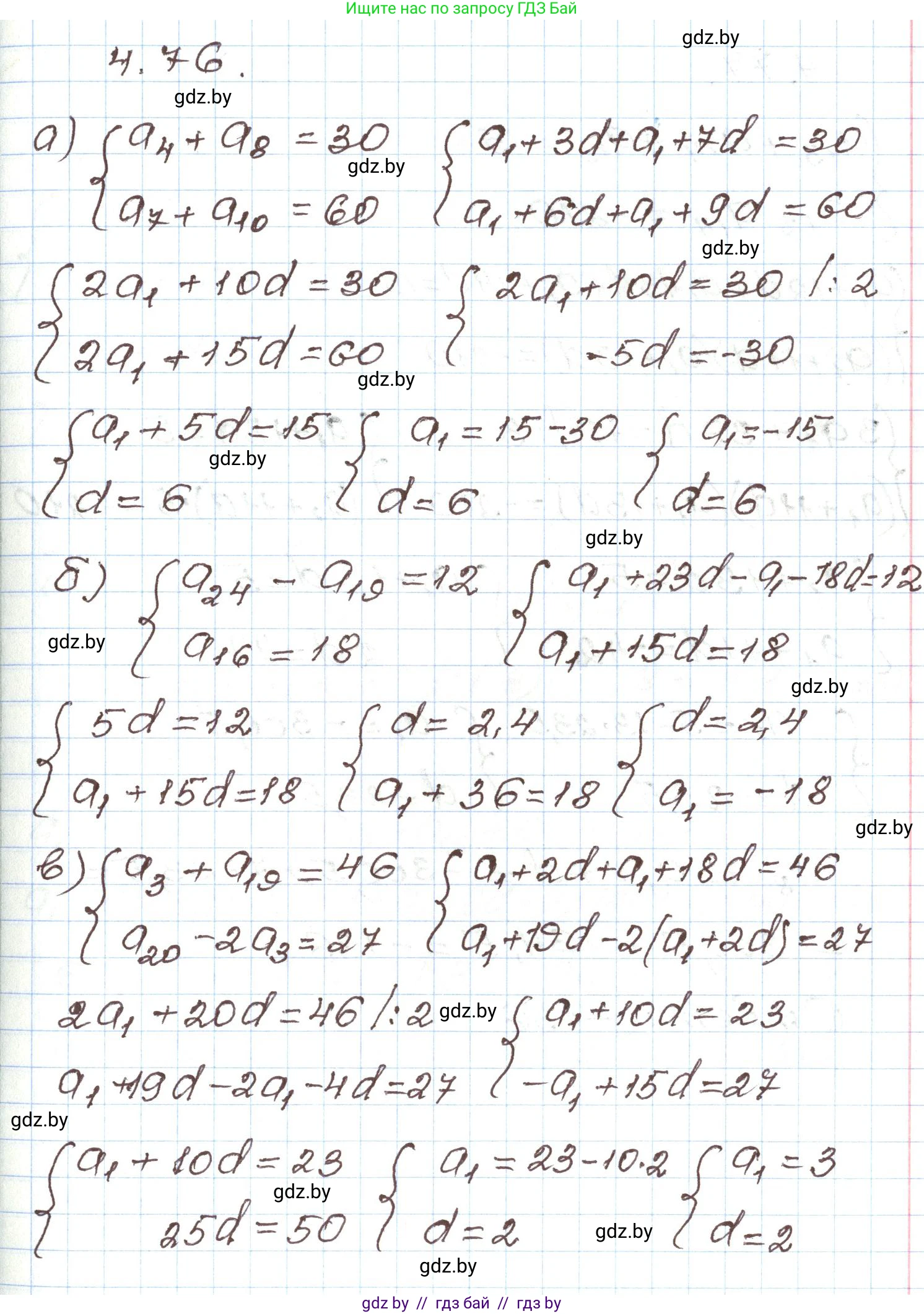
4.76*. Найдите первый член и разность арифметической прогрессии $(a_n)$, если:

а) $a_4 + a_8 = 30$ и $a_7 + a_{10} = 60$;

б) $a_{24} - a_{19} = 12$ и $a_{16} = 18$;

в) $a_3 + a_{19} = 46$ и $a_{20} - 2a_3 = 27$.

Решение. №4.76 (с. 221)
Алгебра, 9 класс Учебник, авторы: Арефьева Ирина Глебовна, Пирютко Ольга Николаевна, издательство Народная асвета, Минск, 2019, голубого цвета, страница 221, номер 4.76, Решение
Решение 2. №4.76 (с. 221)

Для решения задачи воспользуемся формулой n-го члена арифметической прогрессии: $a_n = a_1 + (n-1)d$, где $a_1$ — первый член прогрессии, а $d$ — её разность.

а) Даны условия $a_4 + a_8 = 30$ и $a_7 + a_{10} = 60$.

Составим систему уравнений, выразив члены прогрессии через $a_1$ и $d$:

$\begin{cases} (a_1 + (4-1)d) + (a_1 + (8-1)d) = 30 \\ (a_1 + (7-1)d) + (a_1 + (10-1)d) = 60 \end{cases}$

Упростим систему:

$\begin{cases} (a_1 + 3d) + (a_1 + 7d) = 30 \\ (a_1 + 6d) + (a_1 + 9d) = 60 \end{cases} \implies \begin{cases} 2a_1 + 10d = 30 \\ 2a_1 + 15d = 60 \end{cases}$

Разделим первое уравнение на 2:

$\begin{cases} a_1 + 5d = 15 \\ 2a_1 + 15d = 60 \end{cases}$

Из первого уравнения выразим $a_1$: $a_1 = 15 - 5d$.

Подставим это выражение во второе уравнение:

$2(15 - 5d) + 15d = 60$

$30 - 10d + 15d = 60$

$5d = 30$

$d = 6$

Теперь найдем $a_1$:

$a_1 = 15 - 5(6) = 15 - 30 = -15$

Ответ: первый член $a_1 = -15$, разность $d = 6$.

б) Даны условия $a_{24} - a_{19} = 12$ и $a_{16} = 18$.

Из первого условия найдем разность $d$, используя свойство $a_m - a_n = (m-n)d$:

$a_{24} - a_{19} = (24-19)d = 5d$

Следовательно, $5d = 12$, откуда $d = \frac{12}{5}$.

Из второго условия $a_{16} = a_1 + (16-1)d = 18$, найдем $a_1$:

$a_1 + 15d = 18$

Подставим найденное значение $d$:

$a_1 + 15 \cdot \left(\frac{12}{5}\right) = 18$

$a_1 + 3 \cdot 12 = 18$

$a_1 + 36 = 18$

$a_1 = -18$

Ответ: первый член $a_1 = -18$, разность $d = \frac{12}{5} = $ 2$\frac{2}{5}$.

в) Даны условия $a_3 + a_{19} = 46$ и $a_{20} - 2a_3 = 27$.

Составим систему уравнений, выразив члены прогрессии через $a_1$ и $d$:

$\begin{cases} (a_1 + 2d) + (a_1 + 18d) = 46 \\ (a_1 + 19d) - 2(a_1 + 2d) = 27 \end{cases}$

Упростим систему:

$\begin{cases} 2a_1 + 20d = 46 \\ a_1 + 19d - 2a_1 - 4d = 27 \end{cases} \implies \begin{cases} 2a_1 + 20d = 46 \\ -a_1 + 15d = 27 \end{cases}$

Разделим первое уравнение на 2:

$\begin{cases} a_1 + 10d = 23 \\ -a_1 + 15d = 27 \end{cases}$

Сложим два уравнения системы, чтобы исключить $a_1$:

$(a_1 + 10d) + (-a_1 + 15d) = 23 + 27$

$25d = 50$

$d = 2$

Подставим значение $d$ в уравнение $a_1 + 10d = 23$:

$a_1 + 10(2) = 23$

$a_1 + 20 = 23$

$a_1 = 3$

Ответ: первый член $a_1 = 3$, разность $d = 2$.

Помогло решение? Оставьте отзыв в комментариях ниже.

Присоединяйтесь к Телеграм-группе @gdz_by_belarus

Присоединиться

Мы подготовили для вас ответ c подробным объяснением домашего задания по алгебре за 9 класс, для упражнения номер 4.76 расположенного на странице 221 к учебнику 2019 года издания для учащихся школ и гимназий.

Теперь на нашем сайте ГДЗ.ТОП вы всегда легко и бесплатно найдёте условие с правильным ответом на вопрос «Как решить ДЗ» и «Как сделать» задание по алгебре к упражнению №4.76 (с. 221), авторов: Арефьева (Ирина Глебовна), Пирютко (Ольга Николаевна), учебного пособия издательства Народная асвета.