Номер 4.78, страница 221 - гдз по алгебре 9 класс учебник Арефьева, Пирютко

Алгебра, 9 класс Учебник, авторы: Арефьева Ирина Глебовна, Пирютко Ольга Николаевна, издательство Народная асвета, Минск, 2019, голубого цвета

Авторы: Арефьева И. Г., Пирютко О. Н.

Тип: Учебник

Издательство: Народная асвета

Год издания: 2019 - 2026

Цвет обложки: голубой, синий с графиком

ISBN: 978-985-03-3077-2

Допущено Министерством образования Республики Беларусь

Популярные ГДЗ в 9 классе

Глава 4. Прогрессии. Параграф 15. Арифметическая прогрессия - номер 4.78, страница 221.

№4.78 (с. 221)
Условие. №4.78 (с. 221)
скриншот условия
Алгебра, 9 класс Учебник, авторы: Арефьева Ирина Глебовна, Пирютко Ольга Николаевна, издательство Народная асвета, Минск, 2019, голубого цвета, страница 221, номер 4.78, Условие

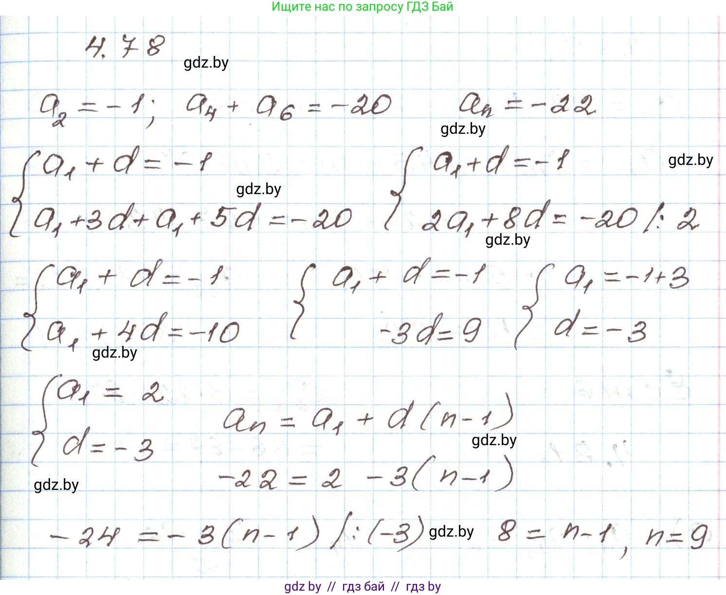
4.78*. В арифметической прогрессии $a_2 = -1$, $a_4 + a_6 = -20$, $a_n = -22$. Найдите $n$.

Решение. №4.78 (с. 221)
Алгебра, 9 класс Учебник, авторы: Арефьева Ирина Глебовна, Пирютко Ольга Николаевна, издательство Народная асвета, Минск, 2019, голубого цвета, страница 221, номер 4.78, Решение
Решение 2. №4.78 (с. 221)

Для решения задачи необходимо найти первый член арифметической прогрессии $a_1$ и ее разность $d$. Общая формула для n-го члена арифметической прогрессии: $a_n = a_1 + (n-1)d$.

Используем данные из условия задачи для составления системы уравнений.

1. Известно, что $a_2 = -1$. Используя формулу n-го члена, получаем:

$a_2 = a_1 + (2-1)d = a_1 + d$

Таким образом, наше первое уравнение: $a_1 + d = -1$.

2. Известно, что $a_4 + a_6 = -20$. Выразим $a_4$ и $a_6$ через $a_1$ и $d$:

$a_4 = a_1 + (4-1)d = a_1 + 3d$

$a_6 = a_1 + (6-1)d = a_1 + 5d$

Подставим эти выражения в условие $a_4 + a_6 = -20$:

$(a_1 + 3d) + (a_1 + 5d) = -20$

$2a_1 + 8d = -20$

Разделим обе части уравнения на 2, чтобы упростить его:

$a_1 + 4d = -10$. Это наше второе уравнение.

Теперь у нас есть система из двух линейных уравнений:

$\begin{cases} a_1 + d = -1 \\ a_1 + 4d = -10 \end{cases}$

Для решения системы вычтем первое уравнение из второго:

$(a_1 + 4d) - (a_1 + d) = -10 - (-1)$

$3d = -9$

Отсюда находим разность прогрессии $d$:

$d = \frac{-9}{3} = -3$

Подставим найденное значение $d$ в первое уравнение ($a_1 + d = -1$) для нахождения $a_1$:

$a_1 + (-3) = -1$

$a_1 = -1 + 3 = 2$

Итак, мы определили, что первый член прогрессии $a_1 = 2$ и ее разность $d = -3$.

Теперь, используя условие $a_n = -22$, найдем номер члена $n$.

Подставим известные значения в формулу n-го члена:

$a_n = a_1 + (n-1)d$

$-22 = 2 + (n-1)(-3)$

Решим полученное уравнение относительно $n$:

$-22 - 2 = (n-1)(-3)$

$-24 = -3(n-1)$

Разделим обе части на -3:

$8 = n-1$

$n = 8 + 1 = 9$

Найдите n. Ответ: 9

Помогло решение? Оставьте отзыв в комментариях ниже.

Присоединяйтесь к Телеграм-группе @gdz_by_belarus

Присоединиться

Мы подготовили для вас ответ c подробным объяснением домашего задания по алгебре за 9 класс, для упражнения номер 4.78 расположенного на странице 221 к учебнику 2019 года издания для учащихся школ и гимназий.

Теперь на нашем сайте ГДЗ.ТОП вы всегда легко и бесплатно найдёте условие с правильным ответом на вопрос «Как решить ДЗ» и «Как сделать» задание по алгебре к упражнению №4.78 (с. 221), авторов: Арефьева (Ирина Глебовна), Пирютко (Ольга Николаевна), учебного пособия издательства Народная асвета.