Номер 4.117, страница 229 - гдз по алгебре 9 класс учебник Арефьева, Пирютко

Алгебра, 9 класс Учебник, авторы: Арефьева Ирина Глебовна, Пирютко Ольга Николаевна, издательство Народная асвета, Минск, 2019, голубого цвета

Авторы: Арефьева И. Г., Пирютко О. Н.

Тип: Учебник

Издательство: Народная асвета

Год издания: 2019 - 2026

Цвет обложки: голубой, синий с графиком

ISBN: 978-985-03-3077-2

Допущено Министерством образования Республики Беларусь

Популярные ГДЗ в 9 классе

Глава 4. Прогрессии. Параграф 16. Формула суммы n первых членов арифметической прогрессии - номер 4.117, страница 229.

№4.117 (с. 229)
Условие. №4.117 (с. 229)
скриншот условия
Алгебра, 9 класс Учебник, авторы: Арефьева Ирина Глебовна, Пирютко Ольга Николаевна, издательство Народная асвета, Минск, 2019, голубого цвета, страница 229, номер 4.117, Условие

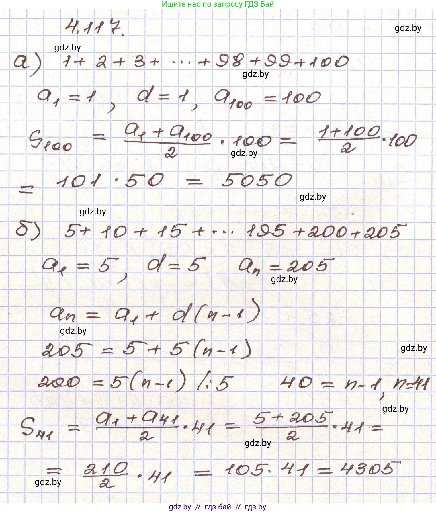
4.117. Вычислите сумму, если ее слагаемые — последовательные члены арифметической прогрессии:

а) $1 + 2 + 3 + \dots + 98 + 99 + 100;$

б) $5 + 10 + 15 + \dots + 195 + 200 + 205.$

Решение. №4.117 (с. 229)
Алгебра, 9 класс Учебник, авторы: Арефьева Ирина Глебовна, Пирютко Ольга Николаевна, издательство Народная асвета, Минск, 2019, голубого цвета, страница 229, номер 4.117, Решение
Решение 2. №4.117 (с. 229)

a) Данная сумма $1 + 2 + 3 + ... + 98 + 99 + 100$ является суммой последовательных членов арифметической прогрессии.

Определим параметры этой прогрессии:

  • Первый член $a_1 = 1$.
  • Последний член $a_n = 100$.
  • Количество членов $n = 100$.

Для вычисления суммы воспользуемся формулой суммы первых $n$ членов арифметической прогрессии: $$S_n = \frac{(a_1 + a_n) \cdot n}{2}$$

Подставим значения и произведем расчет: $$S_{100} = \frac{(1 + 100) \cdot 100}{2} = \frac{101 \cdot 100}{2} = 101 \cdot 50 = 5050$$

Ответ: 5050.

б) Слагаемые в сумме $5 + 10 + 15 + ... + 195 + 200 + 205$ также образуют арифметическую прогрессию.

Определим параметры этой прогрессии:

  • Первый член $a_1 = 5$.
  • Последний член $a_n = 205$.
  • Разность прогрессии $d = 10 - 5 = 5$.

Сначала найдем количество членов прогрессии ($n$), используя формулу n-го члена арифметической прогрессии: $$a_n = a_1 + (n-1)d$$

Подставим известные значения: $$205 = 5 + (n-1) \cdot 5$$ $$205 - 5 = (n-1) \cdot 5$$ $$200 = (n-1) \cdot 5$$ $$n-1 = \frac{200}{5}$$ $$n-1 = 40$$ $$n = 41$$

Теперь, когда известно количество членов, вычислим сумму прогрессии по формуле: $$S_n = \frac{(a_1 + a_n) \cdot n}{2}$$

Подставим значения: $$S_{41} = \frac{(5 + 205) \cdot 41}{2} = \frac{210 \cdot 41}{2} = 105 \cdot 41 = 4305$$

Ответ: 4305.

Помогло решение? Оставьте отзыв в комментариях ниже.

Присоединяйтесь к Телеграм-группе @gdz_by_belarus

Присоединиться

Мы подготовили для вас ответ c подробным объяснением домашего задания по алгебре за 9 класс, для упражнения номер 4.117 расположенного на странице 229 к учебнику 2019 года издания для учащихся школ и гимназий.

Теперь на нашем сайте ГДЗ.ТОП вы всегда легко и бесплатно найдёте условие с правильным ответом на вопрос «Как решить ДЗ» и «Как сделать» задание по алгебре к упражнению №4.117 (с. 229), авторов: Арефьева (Ирина Глебовна), Пирютко (Ольга Николаевна), учебного пособия издательства Народная асвета.