Номер 4.121, страница 230 - гдз по алгебре 9 класс учебник Арефьева, Пирютко

Алгебра, 9 класс Учебник, авторы: Арефьева Ирина Глебовна, Пирютко Ольга Николаевна, издательство Народная асвета, Минск, 2019, голубого цвета

Авторы: Арефьева И. Г., Пирютко О. Н.

Тип: Учебник

Издательство: Народная асвета

Год издания: 2019 - 2026

Цвет обложки: голубой, синий с графиком

ISBN: 978-985-03-3077-2

Допущено Министерством образования Республики Беларусь

Популярные ГДЗ в 9 классе

Глава 4. Прогрессии. Параграф 16. Формула суммы n первых членов арифметической прогрессии - номер 4.121, страница 230.

№4.121 (с. 230)
Условие. №4.121 (с. 230)
скриншот условия
Алгебра, 9 класс Учебник, авторы: Арефьева Ирина Глебовна, Пирютко Ольга Николаевна, издательство Народная асвета, Минск, 2019, голубого цвета, страница 230, номер 4.121, Условие

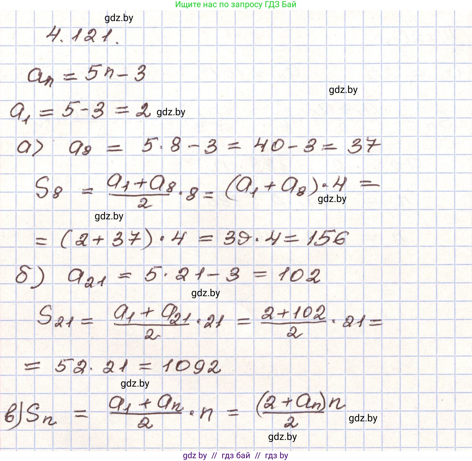
4.121. Арифметическая прогрессия задана формулой $a_n = 5n - 3$. Найдите:

a) $S_8$;

б) $S_{21}$;

в) $S_n$.

Решение. №4.121 (с. 230)
Алгебра, 9 класс Учебник, авторы: Арефьева Ирина Глебовна, Пирютко Ольга Николаевна, издательство Народная асвета, Минск, 2019, голубого цвета, страница 230, номер 4.121, Решение
Решение 2. №4.121 (с. 230)

Данная арифметическая прогрессия задана формулой n-го члена $a_n = 5n - 3$. Для нахождения суммы первых $n$ членов арифметической прогрессии будем использовать формулу: $$S_n = \frac{a_1 + a_n}{2} \cdot n$$ где $a_1$ — первый член прогрессии, а $a_n$ — n-й член.

Сначала найдем первый член прогрессии $a_1$, подставив $n=1$ в заданную формулу:
$a_1 = 5 \cdot 1 - 3 = 2$.

а) S_8;

Чтобы найти сумму первых 8 членов ($S_8$), нам нужен 8-й член прогрессии ($a_8$). Найдем его:
$a_8 = 5 \cdot 8 - 3 = 40 - 3 = 37$.

Теперь можем вычислить сумму $S_8$:
$S_8 = \frac{a_1 + a_8}{2} \cdot 8 = \frac{2 + 37}{2} \cdot 8 = \frac{39}{2} \cdot 8 = 39 \cdot 4 = 156$.
Ответ: 156.

б) S_21;

Аналогично, для нахождения суммы первых 21 члена ($S_{21}$) сначала вычислим 21-й член прогрессии ($a_{21}$):
$a_{21} = 5 \cdot 21 - 3 = 105 - 3 = 102$.

Теперь вычислим сумму $S_{21}$:
$S_{21} = \frac{a_1 + a_{21}}{2} \cdot 21 = \frac{2 + 102}{2} \cdot 21 = \frac{104}{2} \cdot 21 = 52 \cdot 21 = 1092$.
Ответ: 1092.

в) S_n.

Для вывода общей формулы для $S_n$ подставим выражения для $a_1=2$ и $a_n=5n-3$ в формулу суммы:
$S_n = \frac{a_1 + a_n}{2} \cdot n = \frac{2 + (5n - 3)}{2} \cdot n = \frac{5n - 1}{2} \cdot n$.

Формула для суммы первых $n$ членов данной прогрессии имеет вид:
$S_n = \frac{n(5n - 1)}{2}$.
Ответ: $S_n = \frac{n(5n - 1)}{2}$.

Помогло решение? Оставьте отзыв в комментариях ниже.

Присоединяйтесь к Телеграм-группе @gdz_by_belarus

Присоединиться

Мы подготовили для вас ответ c подробным объяснением домашего задания по алгебре за 9 класс, для упражнения номер 4.121 расположенного на странице 230 к учебнику 2019 года издания для учащихся школ и гимназий.

Теперь на нашем сайте ГДЗ.ТОП вы всегда легко и бесплатно найдёте условие с правильным ответом на вопрос «Как решить ДЗ» и «Как сделать» задание по алгебре к упражнению №4.121 (с. 230), авторов: Арефьева (Ирина Глебовна), Пирютко (Ольга Николаевна), учебного пособия издательства Народная асвета.