Номер 4.128, страница 231 - гдз по алгебре 9 класс учебник Арефьева, Пирютко

Алгебра, 9 класс Учебник, авторы: Арефьева Ирина Глебовна, Пирютко Ольга Николаевна, издательство Народная асвета, Минск, 2019, голубого цвета

Авторы: Арефьева И. Г., Пирютко О. Н.

Тип: Учебник

Издательство: Народная асвета

Год издания: 2019 - 2026

Цвет обложки: голубой, синий с графиком

ISBN: 978-985-03-3077-2

Допущено Министерством образования Республики Беларусь

Популярные ГДЗ в 9 классе

Глава 4. Прогрессии. Параграф 16. Формула суммы n первых членов арифметической прогрессии - номер 4.128, страница 231.

№4.128 (с. 231)
Условие. №4.128 (с. 231)
скриншот условия
Алгебра, 9 класс Учебник, авторы: Арефьева Ирина Глебовна, Пирютко Ольга Николаевна, издательство Народная асвета, Минск, 2019, голубого цвета, страница 231, номер 4.128, Условие

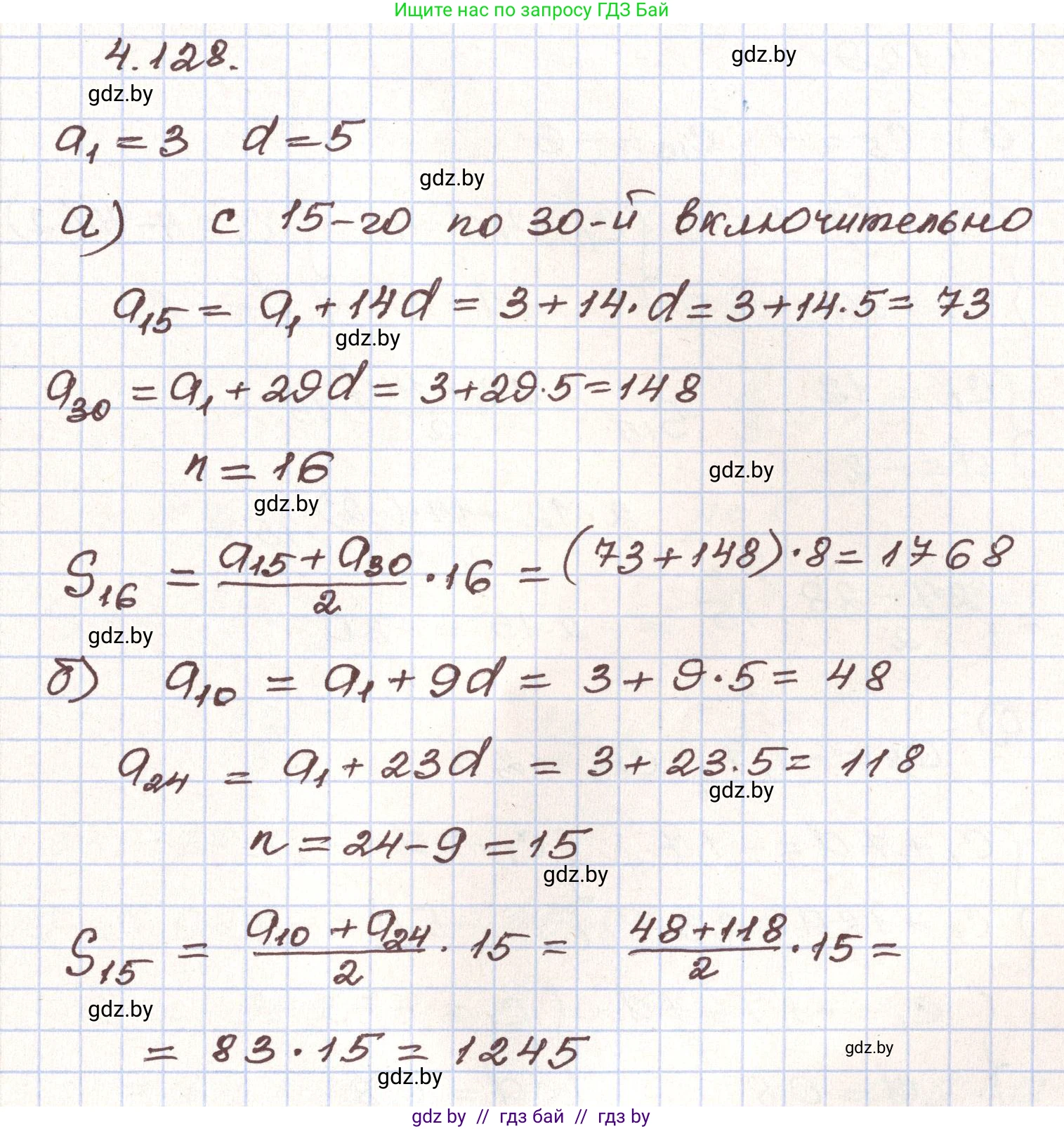
4.128. Для арифметической прогрессии ($a_n$) известно, что $a_1=3, d=5$. Найдите сумму всех членов этой прогрессии:

а) с 15-го по 30-й включительно;

б) с 10-го по 24-й включительно.

Выполните задание разными способами.

Решение. №4.128 (с. 231)
Алгебра, 9 класс Учебник, авторы: Арефьева Ирина Глебовна, Пирютко Ольга Николаевна, издательство Народная асвета, Минск, 2019, голубого цвета, страница 231, номер 4.128, Решение
Решение 2. №4.128 (с. 231)

Дана арифметическая прогрессия $(a_n)$, у которой первый член $a_1 = 3$ и разность $d = 5$.

а) с 15-го по 30-й включительно;

Необходимо найти сумму членов прогрессии с 15-го по 30-й. Решим задачу двумя способами.

Способ 1: Использование формулы суммы для отрезка прогрессии.

Сумма членов арифметической прогрессии с $k$-го по $m$-й находится по формуле $S_{k,m} = \frac{a_k + a_m}{2} \cdot (m - k + 1)$.

В нашем случае $k=15$, $m=30$. Количество членов в сумме: $n = 30 - 15 + 1 = 16$.

Сначала найдем 15-й и 30-й члены прогрессии по формуле $a_n = a_1 + (n-1)d$:

$a_{15} = 3 + (15 - 1) \cdot 5 = 3 + 14 \cdot 5 = 3 + 70 = 73$

$a_{30} = 3 + (30 - 1) \cdot 5 = 3 + 29 \cdot 5 = 3 + 145 = 148$

Теперь вычислим сумму:

$S_{15,30} = \frac{73 + 148}{2} \cdot 16 = \frac{221}{2} \cdot 16 = 221 \cdot 8 = 1768$

Способ 2: Через разность сумм.

Искомую сумму можно найти как разность между суммой первых 30 членов ($S_{30}$) и суммой первых 14 членов ($S_{14}$).

Используем формулу суммы первых $n$ членов $S_n = \frac{2a_1 + (n-1)d}{2} \cdot n$.

Найдем $S_{30}$:

$S_{30} = \frac{2 \cdot 3 + (30 - 1) \cdot 5}{2} \cdot 30 = \frac{6 + 145}{2} \cdot 30 = \frac{151}{2} \cdot 30 = 151 \cdot 15 = 2265$

Найдем $S_{14}$:

$S_{14} = \frac{2 \cdot 3 + (14 - 1) \cdot 5}{2} \cdot 14 = \frac{6 + 65}{2} \cdot 14 = \frac{71}{2} \cdot 14 = 71 \cdot 7 = 497$

Искомая сумма равна их разности:

$S = S_{30} - S_{14} = 2265 - 497 = 1768$

Ответ: 1768

б) с 10-го по 24-й включительно.

Необходимо найти сумму членов прогрессии с 10-го по 24-й. Также решим двумя способами.

Способ 1: Использование формулы суммы для отрезка прогрессии.

Здесь $k=10$, $m=24$. Количество членов в сумме: $n = 24 - 10 + 1 = 15$.

Найдем 10-й и 24-й члены прогрессии:

$a_{10} = 3 + (10 - 1) \cdot 5 = 3 + 9 \cdot 5 = 3 + 45 = 48$

$a_{24} = 3 + (24 - 1) \cdot 5 = 3 + 23 \cdot 5 = 3 + 115 = 118$

Вычислим сумму:

$S_{10,24} = \frac{48 + 118}{2} \cdot 15 = \frac{166}{2} \cdot 15 = 83 \cdot 15 = 1245$

Способ 2: Через разность сумм.

Искомую сумму найдем как разность между суммой первых 24 членов ($S_{24}$) и суммой первых 9 членов ($S_{9}$).

Найдем $S_{24}$:

$S_{24} = \frac{2 \cdot 3 + (24 - 1) \cdot 5}{2} \cdot 24 = \frac{6 + 115}{2} \cdot 24 = \frac{121}{2} \cdot 24 = 121 \cdot 12 = 1452$

Найдем $S_{9}$:

$S_{9} = \frac{2 \cdot 3 + (9 - 1) \cdot 5}{2} \cdot 9 = \frac{6 + 40}{2} \cdot 9 = \frac{46}{2} \cdot 9 = 23 \cdot 9 = 207$

Искомая сумма равна их разности:

$S = S_{24} - S_{9} = 1452 - 207 = 1245$

Ответ: 1245

Помогло решение? Оставьте отзыв в комментариях ниже.

Присоединяйтесь к Телеграм-группе @gdz_by_belarus

Присоединиться

Мы подготовили для вас ответ c подробным объяснением домашего задания по алгебре за 9 класс, для упражнения номер 4.128 расположенного на странице 231 к учебнику 2019 года издания для учащихся школ и гимназий.

Теперь на нашем сайте ГДЗ.ТОП вы всегда легко и бесплатно найдёте условие с правильным ответом на вопрос «Как решить ДЗ» и «Как сделать» задание по алгебре к упражнению №4.128 (с. 231), авторов: Арефьева (Ирина Глебовна), Пирютко (Ольга Николаевна), учебного пособия издательства Народная асвета.