Номер 4.129, страница 231 - гдз по алгебре 9 класс учебник Арефьева, Пирютко

Алгебра, 9 класс Учебник, авторы: Арефьева Ирина Глебовна, Пирютко Ольга Николаевна, издательство Народная асвета, Минск, 2019, голубого цвета

Авторы: Арефьева И. Г., Пирютко О. Н.

Тип: Учебник

Издательство: Народная асвета

Год издания: 2019 - 2026

Цвет обложки: голубой, синий с графиком

ISBN: 978-985-03-3077-2

Допущено Министерством образования Республики Беларусь

Популярные ГДЗ в 9 классе

Глава 4. Прогрессии. Параграф 16. Формула суммы n первых членов арифметической прогрессии - номер 4.129, страница 231.

№4.129 (с. 231)
Условие. №4.129 (с. 231)
скриншот условия
Алгебра, 9 класс Учебник, авторы: Арефьева Ирина Глебовна, Пирютко Ольга Николаевна, издательство Народная асвета, Минск, 2019, голубого цвета, страница 231, номер 4.129, Условие

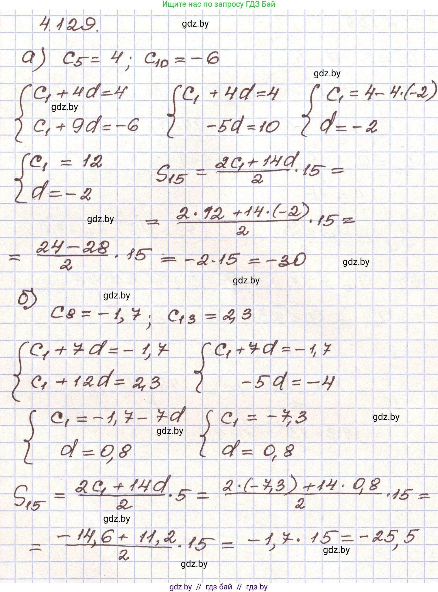
4.129. Найдите сумму пятнадцати первых членов арифметической прогрессии ($c_n$), если известно, что:

а) $c_5=4$, $c_{10}=-6$;

б) $c_8=-1,7$, $c_{13}=2,3$.

Решение. №4.129 (с. 231)
Алгебра, 9 класс Учебник, авторы: Арефьева Ирина Глебовна, Пирютко Ольга Николаевна, издательство Народная асвета, Минск, 2019, голубого цвета, страница 231, номер 4.129, Решение
Решение 2. №4.129 (с. 231)

Для решения задачи воспользуемся формулой суммы первых $n$ членов арифметической прогрессии $S_n = \frac{2c_1 + d(n-1)}{2} \cdot n$ и формулой для $n$-го члена прогрессии $c_n = c_1 + d(n-1)$, где $c_1$ – первый член, $d$ – разность прогрессии.

а) Дано, что $c_5 = 4$ и $c_{10} = -6$.

Составим систему из двух уравнений с двумя неизвестными ($c_1$ и $d$):

$\begin{cases} c_5 = c_1 + (5-1)d = c_1 + 4d = 4 \\ c_{10} = c_1 + (10-1)d = c_1 + 9d = -6 \end{cases}$

Вычтем первое уравнение из второго, чтобы найти разность прогрессии $d$:

$(c_1 + 9d) - (c_1 + 4d) = -6 - 4$

$5d = -10$

$d = -2$

Теперь подставим найденное значение $d$ в первое уравнение, чтобы найти $c_1$:

$c_1 + 4(-2) = 4$

$c_1 - 8 = 4$

$c_1 = 12$

Теперь, зная $c_1 = 12$ и $d = -2$, можем найти сумму первых пятнадцати членов прогрессии ($S_{15}$):

$S_{15} = \frac{2c_1 + d(15-1)}{2} \cdot 15 = \frac{2 \cdot 12 + (-2) \cdot 14}{2} \cdot 15 = \frac{24 - 28}{2} \cdot 15 = \frac{-4}{2} \cdot 15 = -2 \cdot 15 = -30$.

Ответ: $-30$.

б) Дано, что $c_8 = -1,7$ и $c_{13} = 2,3$.

Составим аналогичную систему уравнений:

$\begin{cases} c_8 = c_1 + (8-1)d = c_1 + 7d = -1,7 \\ c_{13} = c_1 + (13-1)d = c_1 + 12d = 2,3 \end{cases}$

Вычтем первое уравнение из второго для нахождения $d$:

$(c_1 + 12d) - (c_1 + 7d) = 2,3 - (-1,7)$

$5d = 4$

$d = \frac{4}{5} = 0,8$

Подставим $d = 0,8$ в первое уравнение для нахождения $c_1$:

$c_1 + 7(0,8) = -1,7$

$c_1 + 5,6 = -1,7$

$c_1 = -1,7 - 5,6 = -7,3$

Теперь вычислим сумму первых пятнадцати членов ($S_{15}$):

$S_{15} = \frac{2c_1 + d(15-1)}{2} \cdot 15 = \frac{2 \cdot (-7,3) + 0,8 \cdot 14}{2} \cdot 15 = \frac{-14,6 + 11,2}{2} \cdot 15 = \frac{-3,4}{2} \cdot 15 = -1,7 \cdot 15 = -25,5$.

Для выделения целой части из полученного значения $-25,5$ (неправильная дробь $-\frac{51}{2}$), представим его в виде смешанного числа.

Ответ: $-25\frac{1}{2}$.

Помогло решение? Оставьте отзыв в комментариях ниже.

Присоединяйтесь к Телеграм-группе @gdz_by_belarus

Присоединиться

Мы подготовили для вас ответ c подробным объяснением домашего задания по алгебре за 9 класс, для упражнения номер 4.129 расположенного на странице 231 к учебнику 2019 года издания для учащихся школ и гимназий.

Теперь на нашем сайте ГДЗ.ТОП вы всегда легко и бесплатно найдёте условие с правильным ответом на вопрос «Как решить ДЗ» и «Как сделать» задание по алгебре к упражнению №4.129 (с. 231), авторов: Арефьева (Ирина Глебовна), Пирютко (Ольга Николаевна), учебного пособия издательства Народная асвета.