Номер 4.136, страница 231 - гдз по алгебре 9 класс учебник Арефьева, Пирютко

Алгебра, 9 класс Учебник, авторы: Арефьева Ирина Глебовна, Пирютко Ольга Николаевна, издательство Народная асвета, Минск, 2019, голубого цвета

Авторы: Арефьева И. Г., Пирютко О. Н.

Тип: Учебник

Издательство: Народная асвета

Год издания: 2019 - 2026

Цвет обложки: голубой, синий с графиком

ISBN: 978-985-03-3077-2

Допущено Министерством образования Республики Беларусь

Популярные ГДЗ в 9 классе

Глава 4. Прогрессии. Параграф 16. Формула суммы n первых членов арифметической прогрессии - номер 4.136, страница 231.

№4.136 (с. 231)
Условие. №4.136 (с. 231)
скриншот условия
Алгебра, 9 класс Учебник, авторы: Арефьева Ирина Глебовна, Пирютко Ольга Николаевна, издательство Народная асвета, Минск, 2019, голубого цвета, страница 231, номер 4.136, Условие

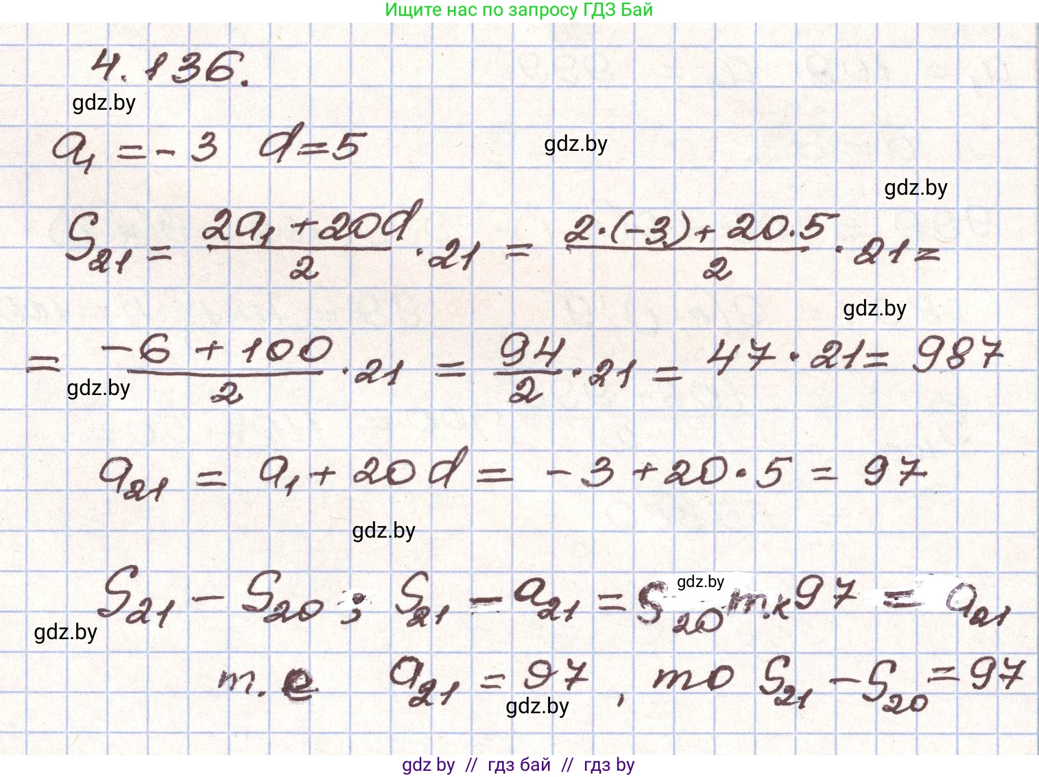
4.136. В арифметической прогрессии $(a_n)$ известно, что $a_1 = -3$, $d = 5$. Найдите $S_{21} - S_{20}$.

Решение. №4.136 (с. 231)
Алгебра, 9 класс Учебник, авторы: Арефьева Ирина Глебовна, Пирютко Ольга Николаевна, издательство Народная асвета, Минск, 2019, голубого цвета, страница 231, номер 4.136, Решение
Решение 2. №4.136 (с. 231)

Разность между суммой первых 21 членов ($S_{21}$) и суммой первых 20 членов ($S_{20}$) арифметической прогрессии равна 21-му члену этой прогрессии ($a_{21}$).

Запишем суммы подробно:
$S_{21} = a_1 + a_2 + \dots + a_{20} + a_{21}$
$S_{20} = a_1 + a_2 + \dots + a_{20}$

При вычитании одной суммы из другой все члены с 1-го по 20-й сокращаются:
$S_{21} - S_{20} = (a_1 + a_2 + \dots + a_{20} + a_{21}) - (a_1 + a_2 + \dots + a_{20}) = a_{21}$

Таким образом, задача сводится к нахождению 21-го члена прогрессии ($a_{21}$). Воспользуемся формулой n-го члена арифметической прогрессии:
$a_n = a_1 + d(n-1)$

Подставим в формулу известные значения из условия: $a_1 = -3$ и $d = 5$. Для нашего случая $n=21$.
$a_{21} = a_1 + d(21-1)$
$a_{21} = -3 + 5 \cdot (20)$
$a_{21} = -3 + 100$
$a_{21} = 97$

Следовательно, $S_{21} - S_{20} = 97$.

Ответ: 97

Помогло решение? Оставьте отзыв в комментариях ниже.

Присоединяйтесь к Телеграм-группе @gdz_by_belarus

Присоединиться

Мы подготовили для вас ответ c подробным объяснением домашего задания по алгебре за 9 класс, для упражнения номер 4.136 расположенного на странице 231 к учебнику 2019 года издания для учащихся школ и гимназий.

Теперь на нашем сайте ГДЗ.ТОП вы всегда легко и бесплатно найдёте условие с правильным ответом на вопрос «Как решить ДЗ» и «Как сделать» задание по алгебре к упражнению №4.136 (с. 231), авторов: Арефьева (Ирина Глебовна), Пирютко (Ольга Николаевна), учебного пособия издательства Народная асвета.