Номер 4.131, страница 231 - гдз по алгебре 9 класс учебник Арефьева, Пирютко

Алгебра, 9 класс Учебник, авторы: Арефьева Ирина Глебовна, Пирютко Ольга Николаевна, издательство Народная асвета, Минск, 2019, голубого цвета

Авторы: Арефьева И. Г., Пирютко О. Н.

Тип: Учебник

Издательство: Народная асвета

Год издания: 2019 - 2026

Цвет обложки: голубой, синий с графиком

ISBN: 978-985-03-3077-2

Допущено Министерством образования Республики Беларусь

Популярные ГДЗ в 9 классе

Глава 4. Прогрессии. Параграф 16. Формула суммы n первых членов арифметической прогрессии - номер 4.131, страница 231.

№4.131 (с. 231)
Условие. №4.131 (с. 231)
скриншот условия
Алгебра, 9 класс Учебник, авторы: Арефьева Ирина Глебовна, Пирютко Ольга Николаевна, издательство Народная асвета, Минск, 2019, голубого цвета, страница 231, номер 4.131, Условие

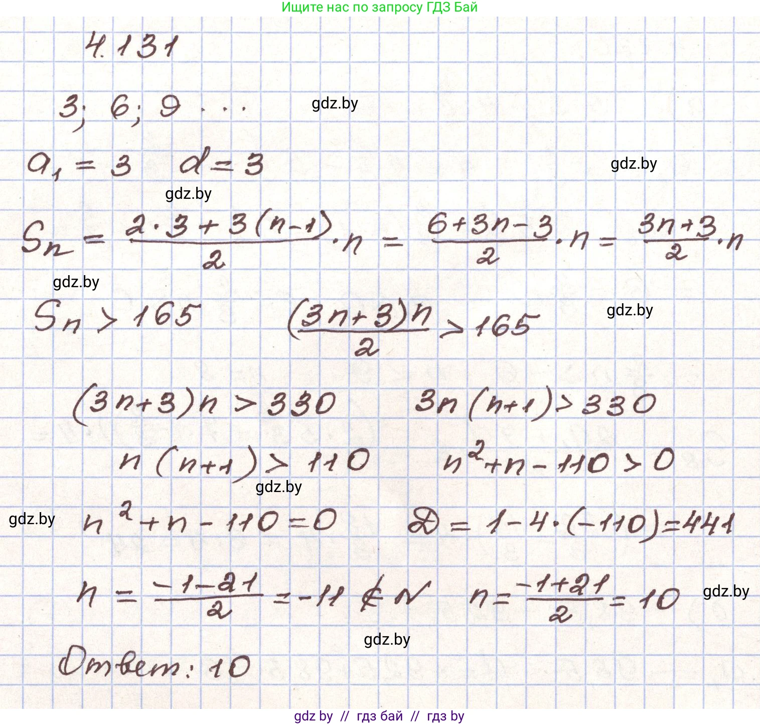
4.131. Сколько нужно взять последовательных натуральных чисел, кратных 3, чтобы их сумма была больше 165?

Решение. №4.131 (с. 231)
Алгебра, 9 класс Учебник, авторы: Арефьева Ирина Глебовна, Пирютко Ольга Николаевна, издательство Народная асвета, Минск, 2019, голубого цвета, страница 231, номер 4.131, Решение
Решение 2. №4.131 (с. 231)

Последовательные натуральные числа, кратные 3, представляют собой арифметическую прогрессию. Обозначим ее члены как $a_n$.

Первый член этой прогрессии, являющийся наименьшим натуральным числом, кратным 3, это $a_1 = 3$.

Поскольку мы берем последовательные числа, кратные 3, разность прогрессии $d$ также равна 3 (например, $6-3=3$, $9-6=3$ и т.д.).

Сумма первых $n$ членов арифметической прогрессии ($S_n$) вычисляется по формуле:

$S_n = \frac{2a_1 + d(n-1)}{2} \cdot n$

Подставим в эту формулу значения $a_1=3$ и $d=3$:

$S_n = \frac{2 \cdot 3 + 3(n-1)}{2} \cdot n = \frac{6 + 3n - 3}{2} \cdot n = \frac{3n + 3}{2} \cdot n = \frac{3n(n+1)}{2}$

Согласно условию задачи, сумма этих чисел должна быть больше 165. На основе этого составим неравенство:

$S_n > 165$

$\frac{3n(n+1)}{2} > 165$

Теперь решим это неравенство, чтобы найти $n$:

$3n(n+1) > 165 \cdot 2$

$3n(n+1) > 330$

$n(n+1) > \frac{330}{3}$

$n(n+1) > 110$

Нам нужно найти наименьшее натуральное число $n$, которое удовлетворяет этому неравенству. Можно решить это методом подбора, ища два последовательных целых числа, произведение которых больше 110.

  • При $n=9$: $9 \cdot (9+1) = 9 \cdot 10 = 90$, что меньше 110.
  • При $n=10$: $10 \cdot (10+1) = 10 \cdot 11 = 110$, что не больше 110.
  • При $n=11$: $11 \cdot (11+1) = 11 \cdot 12 = 132$, что больше 110.

Таким образом, наименьшее количество чисел, которое нужно взять, чтобы их сумма была больше 165, равно 11.

4.131. Ответ: 11

Помогло решение? Оставьте отзыв в комментариях ниже.

Присоединяйтесь к Телеграм-группе @gdz_by_belarus

Присоединиться

Мы подготовили для вас ответ c подробным объяснением домашего задания по алгебре за 9 класс, для упражнения номер 4.131 расположенного на странице 231 к учебнику 2019 года издания для учащихся школ и гимназий.

Теперь на нашем сайте ГДЗ.ТОП вы всегда легко и бесплатно найдёте условие с правильным ответом на вопрос «Как решить ДЗ» и «Как сделать» задание по алгебре к упражнению №4.131 (с. 231), авторов: Арефьева (Ирина Глебовна), Пирютко (Ольга Николаевна), учебного пособия издательства Народная асвета.