Номер 4.137, страница 231 - гдз по алгебре 9 класс учебник Арефьева, Пирютко

Алгебра, 9 класс Учебник, авторы: Арефьева Ирина Глебовна, Пирютко Ольга Николаевна, издательство Народная асвета, Минск, 2019, голубого цвета

Авторы: Арефьева И. Г., Пирютко О. Н.

Тип: Учебник

Издательство: Народная асвета

Год издания: 2019 - 2026

Цвет обложки: голубой, синий с графиком

ISBN: 978-985-03-3077-2

Допущено Министерством образования Республики Беларусь

Популярные ГДЗ в 9 классе

Глава 4. Прогрессии. Параграф 16. Формула суммы n первых членов арифметической прогрессии - номер 4.137, страница 231.

№4.137 (с. 231)
Условие. №4.137 (с. 231)
скриншот условия
Алгебра, 9 класс Учебник, авторы: Арефьева Ирина Глебовна, Пирютко Ольга Николаевна, издательство Народная асвета, Минск, 2019, голубого цвета, страница 231, номер 4.137, Условие

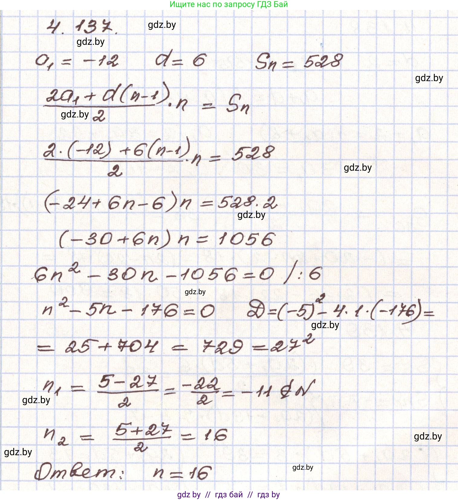
4.137. Первый член арифметической прогрессии равен –12, а разность прогрессии равна 6. Сколько надо взять первых последовательных членов этой прогрессии, чтобы их сумма была равна 528?

Решение. №4.137 (с. 231)
Алгебра, 9 класс Учебник, авторы: Арефьева Ирина Глебовна, Пирютко Ольга Николаевна, издательство Народная асвета, Минск, 2019, голубого цвета, страница 231, номер 4.137, Решение
Решение 2. №4.137 (с. 231)

Для решения данной задачи используется формула суммы первых $n$ членов арифметической прогрессии:

$S_n = \frac{2a_1 + d(n-1)}{2} \cdot n$

Где:

  • $S_n$ — сумма первых $n$ членов прогрессии,
  • $a_1$ — первый член прогрессии,
  • $d$ — разность прогрессии,
  • $n$ — количество членов.

По условию задачи нам дано:

  • $a_1 = -12$
  • $d = 6$
  • $S_n = 528$

Подставляем известные значения в формулу и решаем уравнение относительно $n$:

$528 = \frac{2 \cdot (-12) + 6 \cdot (n-1)}{2} \cdot n$

Упрощаем выражение в числителе:

$528 = \frac{-24 + 6n - 6}{2} \cdot n$

$528 = \frac{6n - 30}{2} \cdot n$

Делим выражение в скобках на 2:

$528 = (3n - 15) \cdot n$

Раскрываем скобки и получаем квадратное уравнение:

$528 = 3n^2 - 15n$

$3n^2 - 15n - 528 = 0$

Для упрощения разделим все члены уравнения на 3:

$n^2 - 5n - 176 = 0$

Решаем полученное квадратное уравнение с помощью дискриминанта $D = b^2 - 4ac$:

$D = (-5)^2 - 4 \cdot 1 \cdot (-176) = 25 + 704 = 729$

Находим корни уравнения по формуле $n = \frac{-b \pm \sqrt{D}}{2a}$:

$n_1 = \frac{-(-5) + \sqrt{729}}{2 \cdot 1} = \frac{5 + 27}{2} = \frac{32}{2} = 16$

$n_2 = \frac{-(-5) - \sqrt{729}}{2 \cdot 1} = \frac{5 - 27}{2} = \frac{-22}{2} = -11$

Так как количество членов прогрессии ($n$) должно быть натуральным (положительным целым) числом, корень $n_2 = -11$ не подходит по смыслу задачи.

Сколько надо взять первых последовательных членов этой прогрессии, чтобы их сумма была равна 528? Ответ: 16

Помогло решение? Оставьте отзыв в комментариях ниже.

Присоединяйтесь к Телеграм-группе @gdz_by_belarus

Присоединиться

Мы подготовили для вас ответ c подробным объяснением домашего задания по алгебре за 9 класс, для упражнения номер 4.137 расположенного на странице 231 к учебнику 2019 года издания для учащихся школ и гимназий.

Теперь на нашем сайте ГДЗ.ТОП вы всегда легко и бесплатно найдёте условие с правильным ответом на вопрос «Как решить ДЗ» и «Как сделать» задание по алгебре к упражнению №4.137 (с. 231), авторов: Арефьева (Ирина Глебовна), Пирютко (Ольга Николаевна), учебного пособия издательства Народная асвета.