Номер 249, страница 292 - гдз по алгебре 9 класс учебник Арефьева, Пирютко

Алгебра, 9 класс Учебник, авторы: Арефьева Ирина Глебовна, Пирютко Ольга Николаевна, издательство Народная асвета, Минск, 2019, голубого цвета

Авторы: Арефьева И. Г., Пирютко О. Н.

Тип: Учебник

Издательство: Народная асвета

Год издания: 2019 - 2026

Цвет обложки: голубой, синий с графиком

ISBN: 978-985-03-3077-2

Допущено Министерством образования Республики Беларусь

Популярные ГДЗ в 9 классе

Итоговое повторение. Уравнения, неравенства, системы - номер 249, страница 292.

№249 (с. 292)
Условие. №249 (с. 292)
скриншот условия
Алгебра, 9 класс Учебник, авторы: Арефьева Ирина Глебовна, Пирютко Ольга Николаевна, издательство Народная асвета, Минск, 2019, голубого цвета, страница 292, номер 249, Условие

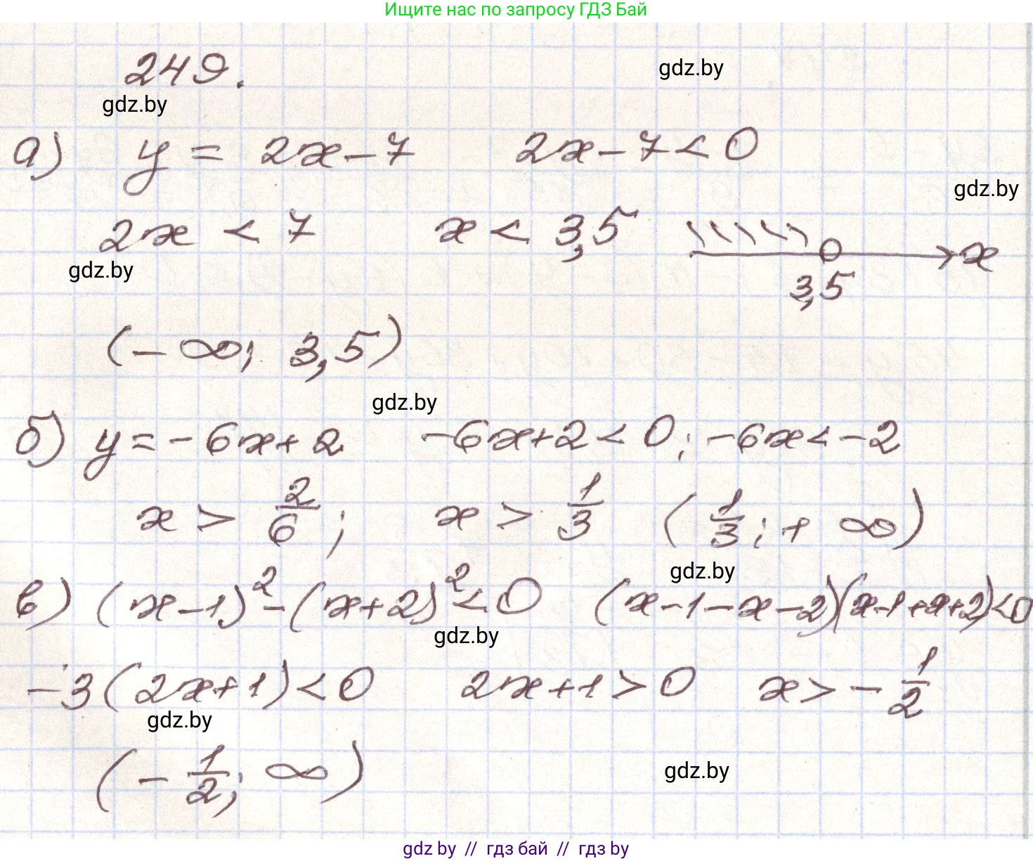
249. Найдите значения аргумента, при которых функция

принимает отрицательные значения:

а) $y = 2x - 7$;

б) $y = -6x + 2$;

в) $y = (x - 1)^2 - (x + 2)^2$.

Решение. №249 (с. 292)
Алгебра, 9 класс Учебник, авторы: Арефьева Ирина Глебовна, Пирютко Ольга Николаевна, издательство Народная асвета, Минск, 2019, голубого цвета, страница 292, номер 249, Решение
Решение 2. №249 (с. 292)

Для того чтобы найти значения аргумента, при которых функция принимает отрицательные значения, необходимо для каждой из функций решить неравенство $y < 0$.

а) Для функции $y = 2x - 7$ составим и решим неравенство:

$2x - 7 < 0$

Перенесем слагаемое $-7$ в правую часть неравенства, изменив его знак на противоположный:

$2x < 7$

Разделим обе части неравенства на 2:

$x < \frac{7}{2}$

Преобразуем неправильную дробь в смешанное число, чтобы выделить целую часть:

$x < 3\frac{1}{2}$

Ответ: функция принимает отрицательные значения при $x < \mathbf{3}\frac{1}{2}$.

б) Для функции $y = -6x + 2$ составим и решим неравенство:

$-6x + 2 < 0$

Перенесем слагаемое $2$ в правую часть, изменив его знак:

$-6x < -2$

Разделим обе части неравенства на $-6$. Так как мы делим на отрицательное число, знак неравенства необходимо изменить на противоположный (с $ < $ на $ > $):

$x > \frac{-2}{-6}$

Сократим дробь:

$x > \frac{1}{3}$

Ответ: функция принимает отрицательные значения при $x > \frac{1}{3}$.

в) Для функции $y = (x - 1)^2 - (x + 2)^2$ составим и решим неравенство:

$(x - 1)^2 - (x + 2)^2 < 0$

Воспользуемся формулой разности квадратов $a^2 - b^2 = (a - b)(a + b)$, где $a = x - 1$ и $b = x + 2$:

$((x - 1) - (x + 2))((x - 1) + (x + 2)) < 0$

Раскроем скобки внутри каждой из больших скобок:

$(x - 1 - x - 2)(x - 1 + x + 2) < 0$

Приведем подобные слагаемые в каждой скобке:

$(-3)(2x + 1) < 0$

Разделим обе части неравенства на $-3$, изменив знак неравенства на противоположный:

$2x + 1 > 0$

Перенесем $1$ в правую часть:

$2x > -1$

Разделим на 2:

$x > -\frac{1}{2}$

Ответ: функция принимает отрицательные значения при $x > -\frac{1}{2}$.

Помогло решение? Оставьте отзыв в комментариях ниже.

Присоединяйтесь к Телеграм-группе @gdz_by_belarus

Присоединиться

Мы подготовили для вас ответ c подробным объяснением домашего задания по алгебре за 9 класс, для упражнения номер 249 расположенного на странице 292 к учебнику 2019 года издания для учащихся школ и гимназий.

Теперь на нашем сайте ГДЗ.ТОП вы всегда легко и бесплатно найдёте условие с правильным ответом на вопрос «Как решить ДЗ» и «Как сделать» задание по алгебре к упражнению №249 (с. 292), авторов: Арефьева (Ирина Глебовна), Пирютко (Ольга Николаевна), учебного пособия издательства Народная асвета.