Номер 255, страница 293 - гдз по алгебре 9 класс учебник Арефьева, Пирютко

Алгебра, 9 класс Учебник, авторы: Арефьева Ирина Глебовна, Пирютко Ольга Николаевна, издательство Народная асвета, Минск, 2019, голубого цвета

Авторы: Арефьева И. Г., Пирютко О. Н.

Тип: Учебник

Издательство: Народная асвета

Год издания: 2019 - 2026

Цвет обложки: голубой, синий с графиком

ISBN: 978-985-03-3077-2

Допущено Министерством образования Республики Беларусь

Популярные ГДЗ в 9 классе

Итоговое повторение. Уравнения, неравенства, системы - номер 255, страница 293.

№255 (с. 293)
Условие. №255 (с. 293)
скриншот условия
Алгебра, 9 класс Учебник, авторы: Арефьева Ирина Глебовна, Пирютко Ольга Николаевна, издательство Народная асвета, Минск, 2019, голубого цвета, страница 293, номер 255, Условие

255. Решите систему уравнений:

а) $\begin{cases} 3(x + y) = 6, \\ 6 - 5(x - y) = 8x - 2y; \end{cases}$

б) $\begin{cases} 2x - 3(2y + 1) = 15, \\ 3(x + y) + 3y = 2y - 2; \end{cases}$

В) $\begin{cases} 6y - 5x = 1, \\ \frac{x - 1}{3} + \frac{y + 1}{2} = 10; \end{cases}$

Г) $\begin{cases} \frac{2x - y}{6} + \frac{2x + y}{9} = 3, \\ \frac{x + y}{3} - \frac{x - y}{4} = 4. \end{cases}$

Решение. №255 (с. 293)
Алгебра, 9 класс Учебник, авторы: Арефьева Ирина Глебовна, Пирютко Ольга Николаевна, издательство Народная асвета, Минск, 2019, голубого цвета, страница 293, номер 255, Решение Алгебра, 9 класс Учебник, авторы: Арефьева Ирина Глебовна, Пирютко Ольга Николаевна, издательство Народная асвета, Минск, 2019, голубого цвета, страница 293, номер 255, Решение (продолжение 2)
Решение 2. №255 (с. 293)

а) Исходная система уравнений:

$\begin{cases} 3(x + y) = 6, \\ 6 - 5(x - y) = 8x - 2y; \end{cases}$

1. Упростим первое уравнение, разделив обе части на 3:

$x + y = 2$

2. Упростим второе уравнение, раскрыв скобки и приведя подобные слагаемые:

$6 - 5x + 5y = 8x - 2y$

Перенесем переменные в левую часть, а константы в правую:

$-5x - 8x + 5y + 2y = -6$

$-13x + 7y = -6$

3. Теперь система имеет вид:

$\begin{cases} x + y = 2, \\ -13x + 7y = -6; \end{cases}$

4. Выразим $x$ из первого уравнения:

$x = 2 - y$

5. Подставим это выражение во второе уравнение:

$-13(2 - y) + 7y = -6$

$-26 + 13y + 7y = -6$

$20y = -6 + 26$

$20y = 20$

$y = 1$

6. Найдем $x$, подставив значение $y$ в выражение $x = 2 - y$:

$x = 2 - 1 = 1$

Ответ: $x = 1, y = 1$

б) Исходная система уравнений:

$\begin{cases} 2x - 3(2y + 1) = 15, \\ 3(x + y) + 3y = 2y - 2; \end{cases}$

1. Упростим первое уравнение:

$2x - 6y - 3 = 15$

$2x - 6y = 18$

Разделим обе части на 2:

$x - 3y = 9$

2. Упростим второе уравнение:

$3x + 3y + 3y = 2y - 2$

$3x + 6y = 2y - 2$

$3x + 4y = -2$

3. Теперь система имеет вид:

$\begin{cases} x - 3y = 9, \\ 3x + 4y = -2; \end{cases}$

4. Выразим $x$ из первого уравнения:

$x = 9 + 3y$

5. Подставим это выражение во второе уравнение:

$3(9 + 3y) + 4y = -2$

$27 + 9y + 4y = -2$

$13y = -2 - 27$

$13y = -29$

$y = -\frac{29}{13}$

6. Найдем $x$, подставив значение $y$:

$x = 9 + 3(-\frac{29}{13}) = 9 - \frac{87}{13} = \frac{117 - 87}{13} = \frac{30}{13}$

7. Преобразуем неправильные дроби в смешанные числа, выделив целую часть:

$x = \frac{30}{13} = 2\frac{4}{13}$

$y = -\frac{29}{13} = -2\frac{3}{13}$

Ответ: $x = \mathbf{2}\frac{4}{13}, y = -\mathbf{2}\frac{3}{13}$

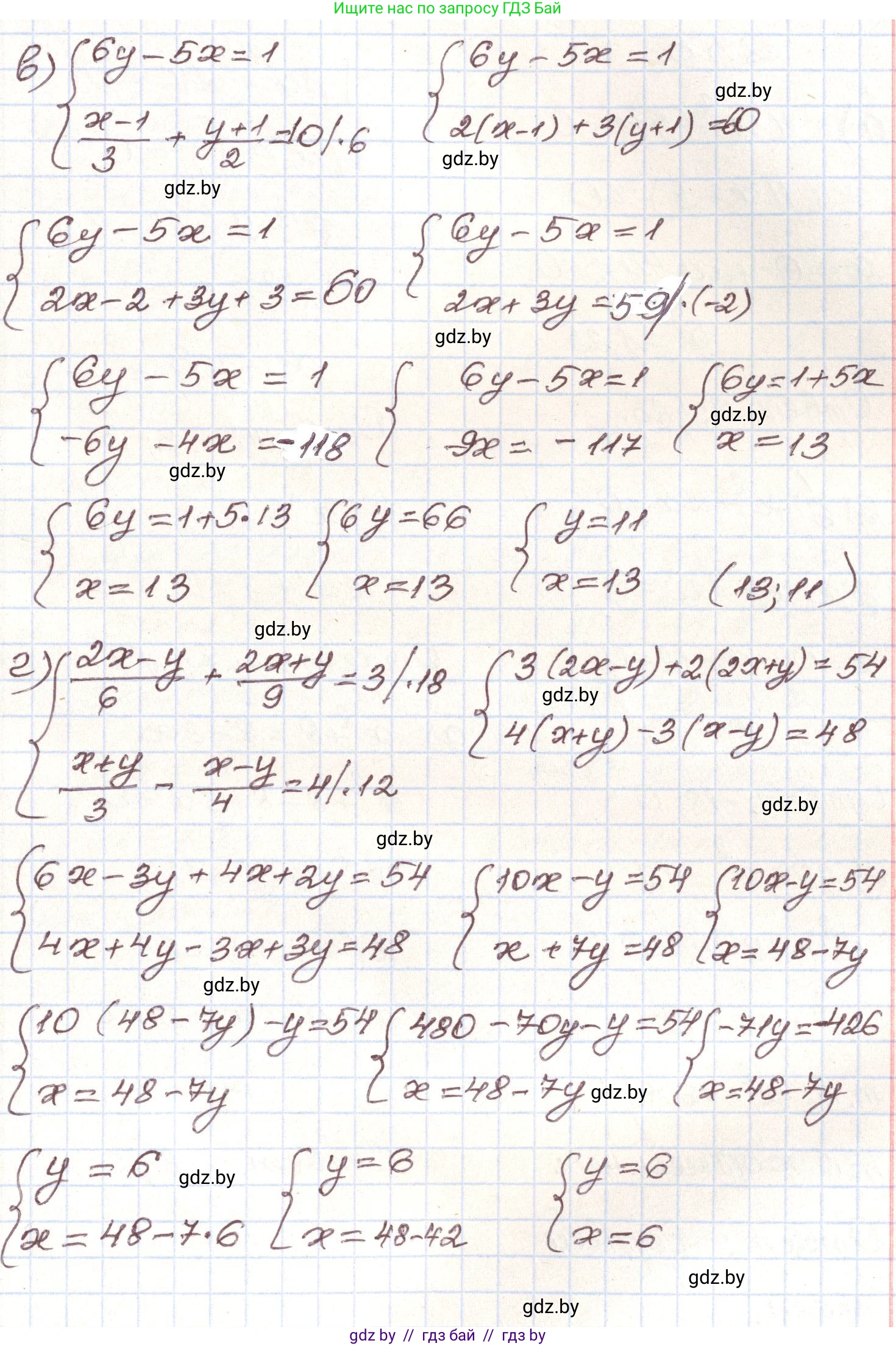
в) Исходная система уравнений:

$\begin{cases} 6y - 5x = 1, \\ \frac{x - 1}{3} + \frac{y + 1}{2} = 10; \end{cases}$

1. Первое уравнение уже в простом виде: $-5x + 6y = 1$.

2. Упростим второе уравнение. Умножим обе части на общий знаменатель 6:

$6 \cdot \frac{x - 1}{3} + 6 \cdot \frac{y + 1}{2} = 6 \cdot 10$

$2(x - 1) + 3(y + 1) = 60$

$2x - 2 + 3y + 3 = 60$

$2x + 3y = 59$

3. Теперь система имеет вид:

$\begin{cases} -5x + 6y = 1, \\ 2x + 3y = 59; \end{cases}$

4. Решим систему методом сложения. Умножим второе уравнение на -2, чтобы коэффициенты при $y$ стали противоположными:

$-2(2x + 3y) = -2(59) \Rightarrow -4x - 6y = -118$

5. Сложим полученное уравнение с первым уравнением системы:

$(-5x + 6y) + (-4x - 6y) = 1 + (-118)$

$-9x = -117$

$x = \frac{-117}{-9} = 13$

6. Подставим значение $x = 13$ во второе упрощенное уравнение $2x + 3y = 59$:

$2(13) + 3y = 59$

$26 + 3y = 59$

$3y = 59 - 26$

$3y = 33$

$y = 11$

Ответ: $x = 13, y = 11$

г) Исходная система уравнений:

$\begin{cases} \frac{2x - y}{6} + \frac{2x + y}{9} = 3, \\ \frac{x + y}{3} - \frac{x - y}{4} = 4; \end{cases}$

1. Упростим первое уравнение. Общий знаменатель для 6 и 9 равен 18. Умножим уравнение на 18:

$18 \cdot \frac{2x - y}{6} + 18 \cdot \frac{2x + y}{9} = 18 \cdot 3$

$3(2x - y) + 2(2x + y) = 54$

$6x - 3y + 4x + 2y = 54$

$10x - y = 54$

2. Упростим второе уравнение. Общий знаменатель для 3 и 4 равен 12. Умножим уравнение на 12:

$12 \cdot \frac{x + y}{3} - 12 \cdot \frac{x - y}{4} = 12 \cdot 4$

$4(x + y) - 3(x - y) = 48$

$4x + 4y - 3x + 3y = 48$

$x + 7y = 48$

3. Теперь система имеет вид:

$\begin{cases} 10x - y = 54, \\ x + 7y = 48; \end{cases}$

4. Из первого уравнения выразим $y$:

$y = 10x - 54$

5. Подставим это выражение во второе уравнение:

$x + 7(10x - 54) = 48$

$x + 70x - 378 = 48$

$71x = 48 + 378$

$71x = 426$

$x = \frac{426}{71} = 6$

6. Найдем $y$, подставив значение $x$ в выражение для $y$:

$y = 10(6) - 54 = 60 - 54 = 6$

Ответ: $x = 6, y = 6$

Помогло решение? Оставьте отзыв в комментариях ниже.

Присоединяйтесь к Телеграм-группе @gdz_by_belarus

Присоединиться

Мы подготовили для вас ответ c подробным объяснением домашего задания по алгебре за 9 класс, для упражнения номер 255 расположенного на странице 293 к учебнику 2019 года издания для учащихся школ и гимназий.

Теперь на нашем сайте ГДЗ.ТОП вы всегда легко и бесплатно найдёте условие с правильным ответом на вопрос «Как решить ДЗ» и «Как сделать» задание по алгебре к упражнению №255 (с. 293), авторов: Арефьева (Ирина Глебовна), Пирютко (Ольга Николаевна), учебного пособия издательства Народная асвета.