Номер 273, страница 295 - гдз по алгебре 9 класс учебник Арефьева, Пирютко

Алгебра, 9 класс Учебник, авторы: Арефьева Ирина Глебовна, Пирютко Ольга Николаевна, издательство Народная асвета, Минск, 2019, голубого цвета

Авторы: Арефьева И. Г., Пирютко О. Н.

Тип: Учебник

Издательство: Народная асвета

Год издания: 2019 - 2026

Цвет обложки: голубой, синий с графиком

ISBN: 978-985-03-3077-2

Допущено Министерством образования Республики Беларусь

Популярные ГДЗ в 9 классе

Итоговое повторение. Уравнения, неравенства, системы - номер 273, страница 295.

№273 (с. 295)
Условие. №273 (с. 295)
скриншот условия
Алгебра, 9 класс Учебник, авторы: Арефьева Ирина Глебовна, Пирютко Ольга Николаевна, издательство Народная асвета, Минск, 2019, голубого цвета, страница 295, номер 273, Условие

273. Решите уравнение:

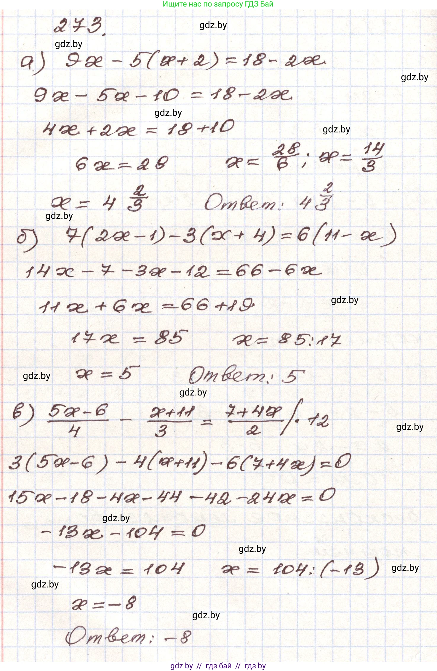
а) $9x - 5(x + 2) = 18 - 2x;$

б) $7(2x - 1) - 3(x + 4) = 6(11 - x);$

В) $\frac{5x - 6}{4} - \frac{x + 11}{3} = \frac{7 + 4x}{2};$

Г) $\frac{x - 5}{2} + \frac{6 - x}{3} = \frac{x - 7}{6} - \frac{2 + x}{4}.$

Решение. №273 (с. 295)
Алгебра, 9 класс Учебник, авторы: Арефьева Ирина Глебовна, Пирютко Ольга Николаевна, издательство Народная асвета, Минск, 2019, голубого цвета, страница 295, номер 273, Решение Алгебра, 9 класс Учебник, авторы: Арефьева Ирина Глебовна, Пирютко Ольга Николаевна, издательство Народная асвета, Минск, 2019, голубого цвета, страница 295, номер 273, Решение (продолжение 2)
Решение 2. №273 (с. 295)

а) $9x - 5(x + 2) = 18 - 2x$

Сначала раскроем скобки в левой части уравнения, умножив -5 на каждое слагаемое в скобках:

$9x - 5 \cdot x - 5 \cdot 2 = 18 - 2x$

$9x - 5x - 10 = 18 - 2x$

Приведем подобные слагаемые в левой части:

$(9 - 5)x - 10 = 18 - 2x$

$4x - 10 = 18 - 2x$

Теперь перенесем все слагаемые с переменной $x$ в левую часть уравнения, а числовые слагаемые (свободные члены) — в правую. При переносе слагаемого из одной части в другую его знак меняется на противоположный:

$4x + 2x = 18 + 10$

Снова приведем подобные слагаемые в обеих частях:

$6x = 28$

Чтобы найти $x$, разделим обе части уравнения на коэффициент при $x$, то есть на 6:

$x = \frac{28}{6}$

Сократим полученную дробь, разделив числитель и знаменатель на 2:

$x = \frac{14}{3}$

Так как это неправильная дробь (числитель больше знаменателя), выделим целую часть:

$x = 4\frac{2}{3}$

Ответ: $4\frac{2}{3}$

б) $7(2x - 1) - 3(x + 4) = 6(11 - x)$

Раскроем все скобки в уравнении:

$7 \cdot 2x - 7 \cdot 1 - 3 \cdot x - 3 \cdot 4 = 6 \cdot 11 - 6 \cdot x$

$14x - 7 - 3x - 12 = 66 - 6x$

Приведем подобные слагаемые в левой части уравнения:

$(14x - 3x) + (-7 - 12) = 66 - 6x$

$11x - 19 = 66 - 6x$

Перенесем слагаемые с $x$ в левую часть, а числа — в правую:

$11x + 6x = 66 + 19$

Приведем подобные слагаемые:

$17x = 85$

Найдем $x$, разделив 85 на 17:

$x = \frac{85}{17}$

$x = 5$

Ответ: $5$

в) $\frac{5x - 6}{4} - \frac{x + 11}{3} = \frac{7 + 4x}{2}$

Чтобы избавиться от дробных коэффициентов, умножим обе части уравнения на наименьшее общее кратное (НОК) знаменателей 4, 3 и 2. НОК(4, 3, 2) = 12.

$12 \cdot \left(\frac{5x - 6}{4} - \frac{x + 11}{3}\right) = 12 \cdot \frac{7 + 4x}{2}$

$12 \cdot \frac{5x - 6}{4} - 12 \cdot \frac{x + 11}{3} = 12 \cdot \frac{7 + 4x}{2}$

Выполним умножение:

$3(5x - 6) - 4(x + 11) = 6(7 + 4x)$

Раскроем скобки:

$15x - 18 - 4x - 44 = 42 + 24x$

Приведем подобные слагаемые в левой части:

$(15x - 4x) + (-18 - 44) = 42 + 24x$

$11x - 62 = 42 + 24x$

Перенесем слагаемые с $x$ в одну сторону, а числа — в другую:

$11x - 24x = 42 + 62$

$-13x = 104$

Найдем $x$:

$x = \frac{104}{-13}$

$x = -8$

Ответ: $-8$

г) $\frac{x - 5}{2} + \frac{6 - x}{3} = \frac{x - 7}{6} - \frac{2 + x}{4}$

Найдем наименьшее общее кратное знаменателей 2, 3, 6 и 4. НОК(2, 3, 6, 4) = 12. Умножим обе части уравнения на 12:

$12 \cdot \left(\frac{x - 5}{2} + \frac{6 - x}{3}\right) = 12 \cdot \left(\frac{x - 7}{6} - \frac{2 + x}{4}\right)$

$12 \cdot \frac{x - 5}{2} + 12 \cdot \frac{6 - x}{3} = 12 \cdot \frac{x - 7}{6} - 12 \cdot \frac{2 + x}{4}$

Сократим дроби:

$6(x - 5) + 4(6 - x) = 2(x - 7) - 3(2 + x)$

Раскроем скобки:

$6x - 30 + 24 - 4x = 2x - 14 - 6 - 3x$

Приведем подобные слагаемые в каждой части уравнения:

$(6x - 4x) + (-30 + 24) = (2x - 3x) + (-14 - 6)$

$2x - 6 = -x - 20$

Перенесем слагаемые с $x$ в левую часть, а числа — в правую:

$2x + x = -20 + 6$

Приведем подобные слагаемые:

$3x = -14$

Найдем $x$:

$x = -\frac{14}{3}$

Выделим целую часть из неправильной дроби:

$x = -4\frac{2}{3}$

Ответ: $-4\frac{2}{3}$

Помогло решение? Оставьте отзыв в комментариях ниже.

Присоединяйтесь к Телеграм-группе @gdz_by_belarus

Присоединиться

Мы подготовили для вас ответ c подробным объяснением домашего задания по алгебре за 9 класс, для упражнения номер 273 расположенного на странице 295 к учебнику 2019 года издания для учащихся школ и гимназий.

Теперь на нашем сайте ГДЗ.ТОП вы всегда легко и бесплатно найдёте условие с правильным ответом на вопрос «Как решить ДЗ» и «Как сделать» задание по алгебре к упражнению №273 (с. 295), авторов: Арефьева (Ирина Глебовна), Пирютко (Ольга Николаевна), учебного пособия издательства Народная асвета.