Номер 276, страница 296 - гдз по алгебре 9 класс учебник Арефьева, Пирютко

Алгебра, 9 класс Учебник, авторы: Арефьева Ирина Глебовна, Пирютко Ольга Николаевна, издательство Народная асвета, Минск, 2019, голубого цвета

Авторы: Арефьева И. Г., Пирютко О. Н.

Тип: Учебник

Издательство: Народная асвета

Год издания: 2019 - 2026

Цвет обложки: голубой, синий с графиком

ISBN: 978-985-03-3077-2

Допущено Министерством образования Республики Беларусь

Итоговое повторение. Уравнения, неравенства, системы - номер 276, страница 296.

№276 (с. 296)
Условие. №276 (с. 296)
скриншот условия
Алгебра, 9 класс Учебник, авторы: Арефьева Ирина Глебовна, Пирютко Ольга Николаевна, издательство Народная асвета, Минск, 2019, голубого цвета, страница 296, номер 276, Условие

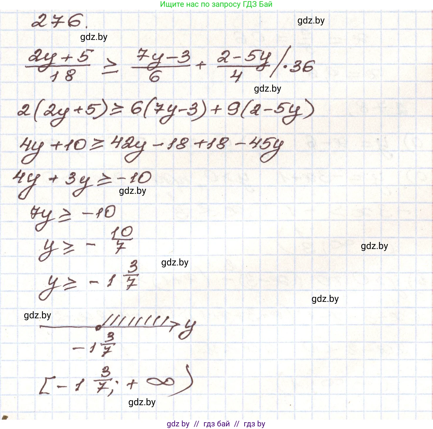
276. Найдите, при каких значениях переменной значение дроби $ \frac{2y+5}{18} $ не меньше значения суммы дробей $ \frac{7y-3}{6} $ и $ \frac{2-5y}{4} $.

Решение. №276 (с. 296)
Алгебра, 9 класс Учебник, авторы: Арефьева Ирина Глебовна, Пирютко Ольга Николаевна, издательство Народная асвета, Минск, 2019, голубого цвета, страница 296, номер 276, Решение
Решение 2. №276 (с. 296)

Для решения задачи необходимо перевести условие в формат математического неравенства. Фраза "значение дроби A не меньше значения суммы дробей B и C" записывается как $A \ge B + C$.

В нашем случае:

  • $A = \frac{2y+5}{18}$
  • $B = \frac{7y-3}{6}$
  • $C = \frac{2-5y}{4}$

Составим неравенство на основе условия задачи:

$\frac{2y+5}{18} \ge \frac{7y-3}{6} + \frac{2-5y}{4}$

Чтобы упростить неравенство, избавимся от знаменателей. Для этого найдем наименьшее общее кратное (НОК) знаменателей 18, 6 и 4. НОК(18, 6, 4) = 36. Умножим обе части неравенства на 36:

$36 \cdot \frac{2y+5}{18} \ge 36 \cdot \left( \frac{7y-3}{6} + \frac{2-5y}{4} \right)$

Выполним сокращение дробей:

$2 \cdot (2y+5) \ge 6 \cdot (7y-3) + 9 \cdot (2-5y)$

Теперь раскроем скобки в обеих частях неравенства:

$4y + 10 \ge 42y - 18 + 18 - 45y$

Приведем подобные слагаемые в правой части:

$4y + 10 \ge (42y - 45y) + (-18 + 18)$

$4y + 10 \ge -3y$

Перенесем все слагаемые с переменной $y$ в левую часть, а числовые слагаемые — в правую, не забывая менять знак при переносе:

$4y + 3y \ge -10$

$7y \ge -10$

Разделим обе части неравенства на 7. Так как 7 — положительное число, знак неравенства сохраняется:

$y \ge -\frac{10}{7}$

Для финального ответа выделим целую часть из неправильной дроби $-\frac{10}{7}$:

$-\frac{10}{7} = -1\frac{3}{7}$

Следовательно, искомые значения переменной $y$ — это все числа, которые больше или равны $-1\frac{3}{7}$.

276. Ответ: $y \ge -1\frac{3}{7}$.

Помогло решение? Оставьте отзыв в комментариях ниже.

Присоединяйтесь к Телеграм-группе @gdz_by_belarus

Присоединиться

Мы подготовили для вас ответ c подробным объяснением домашего задания по алгебре за 9 класс, для упражнения номер 276 расположенного на странице 296 к учебнику 2019 года издания для учащихся школ и гимназий.

Теперь на нашем сайте ГДЗ.ТОП вы всегда легко и бесплатно найдёте условие с правильным ответом на вопрос «Как решить ДЗ» и «Как сделать» задание по алгебре к упражнению №276 (с. 296), авторов: Арефьева (Ирина Глебовна), Пирютко (Ольга Николаевна), учебного пособия издательства Народная асвета.