Номер 281, страница 296 - гдз по алгебре 9 класс учебник Арефьева, Пирютко

Алгебра, 9 класс Учебник, авторы: Арефьева Ирина Глебовна, Пирютко Ольга Николаевна, издательство Народная асвета, Минск, 2019, голубого цвета

Авторы: Арефьева И. Г., Пирютко О. Н.

Тип: Учебник

Издательство: Народная асвета

Год издания: 2019 - 2026

Цвет обложки: голубой, синий с графиком

ISBN: 978-985-03-3077-2

Допущено Министерством образования Республики Беларусь

Популярные ГДЗ в 9 классе

Итоговое повторение. Уравнения, неравенства, системы - номер 281, страница 296.

№281 (с. 296)
Условие. №281 (с. 296)
скриншот условия
Алгебра, 9 класс Учебник, авторы: Арефьева Ирина Глебовна, Пирютко Ольга Николаевна, издательство Народная асвета, Минск, 2019, голубого цвета, страница 296, номер 281, Условие

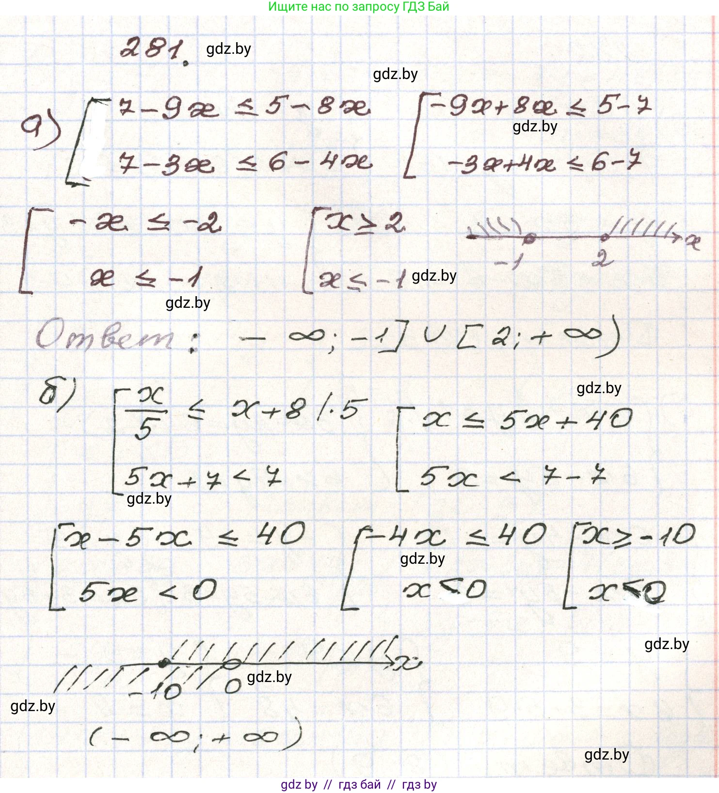
281. Решите совокупность неравенств:

a) $\begin{cases} 7 - 9x \le 5 - 8x, \\ 7 - 3x \le 6 - 4x; \end{cases}$

б) $\begin{cases} \frac{x}{5} \le x + 8, \\ 5x + 7 < 7. \end{cases}$

Решение. №281 (с. 296)
Алгебра, 9 класс Учебник, авторы: Арефьева Ирина Глебовна, Пирютко Ольга Николаевна, издательство Народная асвета, Минск, 2019, голубого цвета, страница 296, номер 281, Решение
Решение 2. №281 (с. 296)

а) Решим совокупность неравенств $\begin{bmatrix} 7 - 9x \le 5 - 8x, \\ 7 - 3x \le 6 - 4x. \end{bmatrix}$

Решим каждое неравенство по отдельности:

1) $7 - 9x \le 5 - 8x$

Переносим слагаемые с $x$ в одну сторону, а константы в другую:

$7 - 5 \le 9x - 8x$

$2 \le x$

Решение первого неравенства: $x \in [2, +\infty)$.

2) $7 - 3x \le 6 - 4x$

Переносим слагаемые с $x$ в одну сторону, а константы в другую:

$4x - 3x \le 6 - 7$

$x \le -1$

Решение второго неравенства: $x \in (-\infty, -1]$.

Решением совокупности является объединение решений каждого из неравенств.

Ответ: $x \in (-\infty, -1] \cup [2, +\infty)$.

б) Решим совокупность неравенств $\begin{bmatrix} \frac{x}{5} \le x + 8, \\ 5x + 7 < 7. \end{bmatrix}$

Решим каждое неравенство по отдельности:

1) $\frac{x}{5} \le x + 8$

Умножим обе части неравенства на 5 (знак неравенства не меняется):

$x \le 5(x + 8)$

$x \le 5x + 40$

$x - 5x \le 40$

$-4x \le 40$

Разделим обе части на -4, изменив знак неравенства на противоположный:

$x \ge -10$

Решение первого неравенства: $x \in [-10, +\infty)$.

2) $5x + 7 < 7$

Вычтем 7 из обеих частей:

$5x < 0$

Разделим обе части на 5:

$x < 0$

Решение второго неравенства: $x \in (-\infty, 0)$.

Решением совокупности является объединение решений: $[-10, +\infty) \cup (-\infty, 0)$. Так как любое действительное число удовлетворяет либо условию $x \ge -10$, либо условию $x < 0$, объединение этих двух промежутков покрывает всю числовую прямую.

Ответ: $x \in (-\infty, +\infty)$.

Помогло решение? Оставьте отзыв в комментариях ниже.

Присоединяйтесь к Телеграм-группе @gdz_by_belarus

Присоединиться

Мы подготовили для вас ответ c подробным объяснением домашего задания по алгебре за 9 класс, для упражнения номер 281 расположенного на странице 296 к учебнику 2019 года издания для учащихся школ и гимназий.

Теперь на нашем сайте ГДЗ.ТОП вы всегда легко и бесплатно найдёте условие с правильным ответом на вопрос «Как решить ДЗ» и «Как сделать» задание по алгебре к упражнению №281 (с. 296), авторов: Арефьева (Ирина Глебовна), Пирютко (Ольга Николаевна), учебного пособия издательства Народная асвета.