Номер 288, страница 297 - гдз по алгебре 9 класс учебник Арефьева, Пирютко

Алгебра, 9 класс Учебник, авторы: Арефьева Ирина Глебовна, Пирютко Ольга Николаевна, издательство Народная асвета, Минск, 2019, голубого цвета

Авторы: Арефьева И. Г., Пирютко О. Н.

Тип: Учебник

Издательство: Народная асвета

Год издания: 2019 - 2026

Цвет обложки: голубой, синий с графиком

ISBN: 978-985-03-3077-2

Допущено Министерством образования Республики Беларусь

Популярные ГДЗ в 9 классе

Итоговое повторение. Уравнения, неравенства, системы - номер 288, страница 297.

№288 (с. 297)
Условие. №288 (с. 297)
скриншот условия
Алгебра, 9 класс Учебник, авторы: Арефьева Ирина Глебовна, Пирютко Ольга Николаевна, издательство Народная асвета, Минск, 2019, голубого цвета, страница 297, номер 288, Условие

288. Решите квадратное неравенство:

а) $7x + x^2 < 0;$

б) $4x^2 \ge 49;$

в) $x^2 - 10x + 25 \le 0;$

г) $8x^2 - 3x + 12 > 0;$

д) $3x^2 - x - 4 \ge 0;$

е) $x^2 + 0,8x + 0,2 < 0.$

Решение. №288 (с. 297)
Алгебра, 9 класс Учебник, авторы: Арефьева Ирина Глебовна, Пирютко Ольга Николаевна, издательство Народная асвета, Минск, 2019, голубого цвета, страница 297, номер 288, Решение Алгебра, 9 класс Учебник, авторы: Арефьева Ирина Глебовна, Пирютко Ольга Николаевна, издательство Народная асвета, Минск, 2019, голубого цвета, страница 297, номер 288, Решение (продолжение 2)
Решение 2. №288 (с. 297)

а) Решим неравенство $7x + x^2 < 0$.
Перепишем его в стандартном виде: $x^2 + 7x < 0$.
Для решения найдем корни соответствующего квадратного уравнения $x^2 + 7x = 0$.
Вынесем $x$ за скобки: $x(x + 7) = 0$.
Корни уравнения: $x_1 = 0$ и $x_2 = -7$.
Графиком функции $y = x^2 + 7x$ является парабола, ветви которой направлены вверх (коэффициент при $x^2$ равен $1 > 0$). Парабола пересекает ось Ох в точках -7 и 0.
Значения функции отрицательны (неравенство $<0$) на интервале между корнями.
Ответ: $x \in (-7; 0)$.

б) Решим неравенство $4x^2 \ge 49$.
Перенесем все в левую часть: $4x^2 - 49 \ge 0$.
Найдем корни уравнения $4x^2 - 49 = 0$.
$4x^2 = 49 \implies x^2 = \frac{49}{4} \implies x_{1,2} = \pm\sqrt{\frac{49}{4}} = \pm\frac{7}{2}$.
Корни: $x_1 = -\frac{7}{2}$ и $x_2 = \frac{7}{2}$.
Графиком функции $y = 4x^2 - 49$ является парабола с ветвями вверх ($a=4 > 0$).
Значения функции положительны или равны нулю (неравенство $\ge 0$) на промежутках вне корней, включая сами корни.
Ответ: $x \in (-\infty; -3\frac{1}{2}] \cup [3\frac{1}{2}; +\infty)$.

в) Решим неравенство $x^2 - 10x + 25 \le 0$.
Левая часть неравенства является полным квадратом: $(x-5)^2 \le 0$.
Выражение в квадрате $(x-5)^2$ всегда неотрицательно, то есть $(x-5)^2 \ge 0$ для любого $x$.
Следовательно, неравенство $(x-5)^2 \le 0$ выполняется только тогда, когда $(x-5)^2 = 0$.
Это возможно только при $x-5=0$, откуда $x=5$.
Ответ: $x=5$.

г) Решим неравенство $8x^2 - 3x + 12 > 0$.
Рассмотрим соответствующее уравнение $8x^2 - 3x + 12 = 0$ и найдем его дискриминант.
$D = b^2 - 4ac = (-3)^2 - 4 \cdot 8 \cdot 12 = 9 - 384 = -375$.
Так как $D < 0$, у уравнения нет действительных корней.
Графиком функции $y = 8x^2 - 3x + 12$ является парабола, ветви которой направлены вверх (коэффициент $a=8>0$).
Поскольку парабола не пересекает ось Ох и ее ветви направлены вверх, она целиком расположена выше оси Ох. Это означает, что выражение $8x^2 - 3x + 12$ всегда больше нуля.
Ответ: $x$ - любое действительное число, или $x \in (-\infty; +\infty)$.

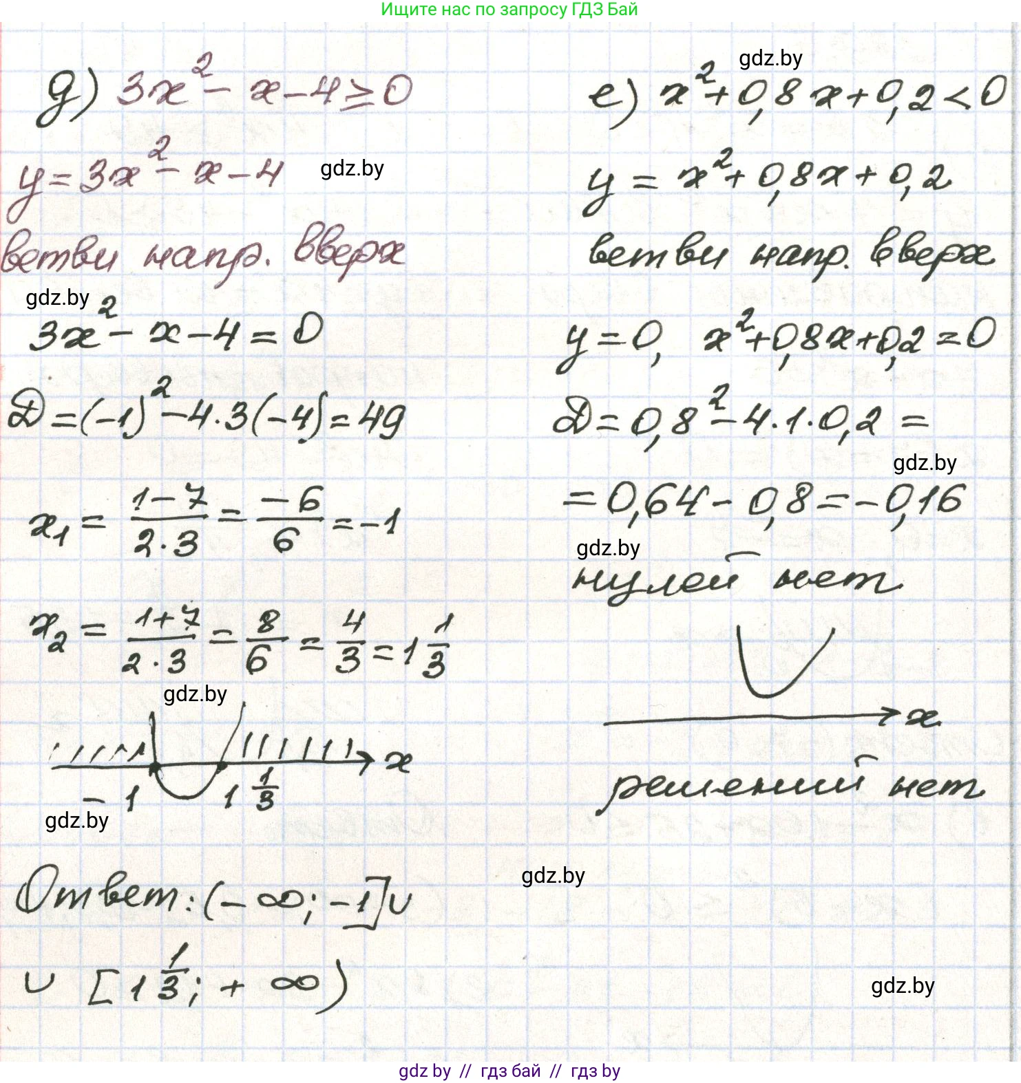
д) Решим неравенство $3x^2 - x - 4 \ge 0$.
Найдем корни уравнения $3x^2 - x - 4 = 0$.
$D = b^2 - 4ac = (-1)^2 - 4 \cdot 3 \cdot (-4) = 1 + 48 = 49 = 7^2$.
$x_{1,2} = \frac{-(-1) \pm \sqrt{49}}{2 \cdot 3} = \frac{1 \pm 7}{6}$.
$x_1 = \frac{1-7}{6} = \frac{-6}{6} = -1$.
$x_2 = \frac{1+7}{6} = \frac{8}{6} = \frac{4}{3}$.
Графиком функции $y = 3x^2 - x - 4$ является парабола с ветвями вверх ($a=3>0$).
Значения функции положительны или равны нулю (неравенство $\ge 0$) на промежутках вне корней, включая сами корни.
Ответ: $x \in (-\infty; -1] \cup [1\frac{1}{3}; +\infty)$.

е) Решим неравенство $x^2 + 0,8x + 0,2 < 0$.
Найдем корни уравнения $x^2 + 0,8x + 0,2 = 0$.
$D = b^2 - 4ac = (0,8)^2 - 4 \cdot 1 \cdot 0,2 = 0,64 - 0,8 = -0,16$.
Так как $D < 0$, у уравнения нет действительных корней.
Графиком функции $y = x^2 + 0,8x + 0,2$ является парабола с ветвями вверх ($a=1>0$).
Поскольку парабола не пересекает ось Ох и ее ветви направлены вверх, она целиком расположена выше оси Ох. Это означает, что выражение $x^2 + 0,8x + 0,2$ всегда больше нуля.
Следовательно, неравенство $x^2 + 0,8x + 0,2 < 0$ не имеет решений.
Ответ: решений нет.

Помогло решение? Оставьте отзыв в комментариях ниже.

Присоединяйтесь к Телеграм-группе @gdz_by_belarus

Присоединиться

Мы подготовили для вас ответ c подробным объяснением домашего задания по алгебре за 9 класс, для упражнения номер 288 расположенного на странице 297 к учебнику 2019 года издания для учащихся школ и гимназий.

Теперь на нашем сайте ГДЗ.ТОП вы всегда легко и бесплатно найдёте условие с правильным ответом на вопрос «Как решить ДЗ» и «Как сделать» задание по алгебре к упражнению №288 (с. 297), авторов: Арефьева (Ирина Глебовна), Пирютко (Ольга Николаевна), учебного пособия издательства Народная асвета.