Номер 290, страница 297 - гдз по алгебре 9 класс учебник Арефьева, Пирютко

Алгебра, 9 класс Учебник, авторы: Арефьева Ирина Глебовна, Пирютко Ольга Николаевна, издательство Народная асвета, Минск, 2019, голубого цвета

Авторы: Арефьева И. Г., Пирютко О. Н.

Тип: Учебник

Издательство: Народная асвета

Год издания: 2019 - 2026

Цвет обложки: голубой, синий с графиком

ISBN: 978-985-03-3077-2

Допущено Министерством образования Республики Беларусь

Популярные ГДЗ в 9 классе

Итоговое повторение. Уравнения, неравенства, системы - номер 290, страница 297.

№290 (с. 297)
Условие. №290 (с. 297)
скриншот условия
Алгебра, 9 класс Учебник, авторы: Арефьева Ирина Глебовна, Пирютко Ольга Николаевна, издательство Народная асвета, Минск, 2019, голубого цвета, страница 297, номер 290, Условие

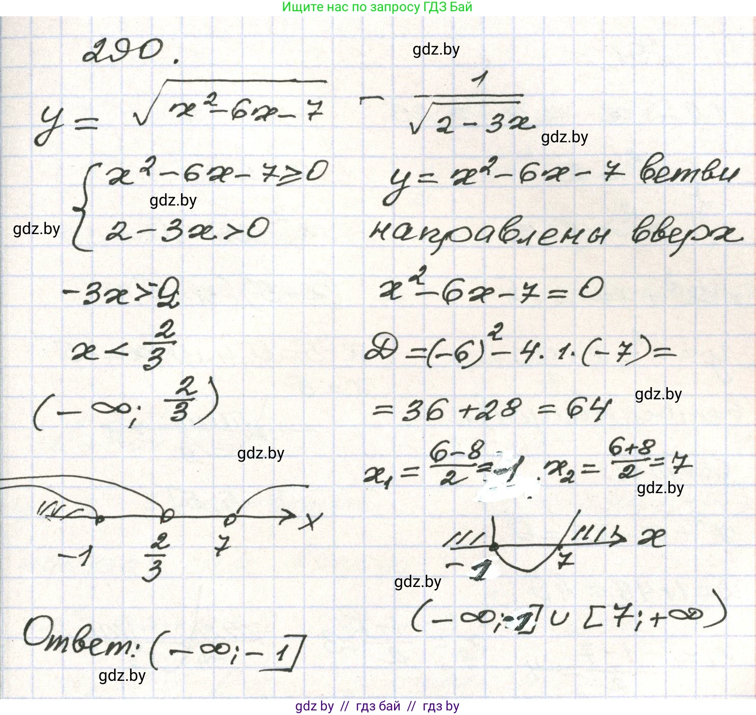
290. Найдите область определения функции

$y = \sqrt{x^2 - 6x - 7} - \frac{1}{\sqrt{2-3x}}$

Решение. №290 (с. 297)
Алгебра, 9 класс Учебник, авторы: Арефьева Ирина Глебовна, Пирютко Ольга Николаевна, издательство Народная асвета, Минск, 2019, голубого цвета, страница 297, номер 290, Решение
Решение 2. №290 (с. 297)

Область определения функции — это множество всех значений аргумента $x$, при которых функция имеет смысл. Данная функция является разностью двух выражений, поэтому ее область определения является пересечением (общей частью) областей определения каждого из этих выражений.

Функция задана формулой: $y = \sqrt{x^2 - 6x - 7} - \frac{1}{\sqrt{2 - 3x}}$

Таким образом, должны одновременно выполняться два условия:

  1. Выражение под первым корнем должно быть неотрицательным: $x^2 - 6x - 7 \geq 0$.
  2. Выражение под вторым корнем, который находится в знаменателе, должно быть строго положительным: $2 - 3x > 0$.

Решим каждое неравенство отдельно.

Решение первого неравенства $x^2 - 6x - 7 \geq 0$

Сначала найдем корни соответствующего квадратного уравнения $x^2 - 6x - 7 = 0$.

Воспользуемся, например, теоремой Виета:

$ \begin{cases} x_1 + x_2 = 6 \\ x_1 \cdot x_2 = -7 \end{cases} $

Корни уравнения: $x_1 = -1$ и $x_2 = 7$.

Графиком функции $y = x^2 - 6x - 7$ является парабола, ветви которой направлены вверх, так как коэффициент при $x^2$ положителен ($1 > 0$). Следовательно, квадратный трехчлен принимает неотрицательные значения при $x$, находящихся за пределами корней, то есть на промежутках $(-\infty, -1]$ и $[7, +\infty)$.

Решение первого неравенства: $x \in (-\infty, -1] \cup [7, +\infty)$.

Решение второго неравенства $2 - 3x > 0$

Это линейное неравенство. Перенесем 2 в правую часть:

$-3x > -2$

Разделим обе части на -3 и сменим знак неравенства на противоположный:

$x < \frac{-2}{-3}$

$x < \frac{2}{3}$

Решение второго неравенства: $x \in (-\infty, \frac{2}{3})$.

Нахождение области определения функции

Область определения исходной функции является пересечением найденных множеств решений:

$D(y) = ((-\infty, -1] \cup [7, +\infty)) \cap (-\infty, \frac{2}{3})$

Найдем общие точки этих множеств. Удобно сделать это на числовой оси. Пересечением будет промежуток $(-\infty, -1]$, так как $-1 < \frac{2}{3}$, а промежуток $[7, +\infty)$ не имеет общих точек с $(-\infty, \frac{2}{3})$.

Ответ: $(-\infty, -1]$.

Помогло решение? Оставьте отзыв в комментариях ниже.

Присоединяйтесь к Телеграм-группе @gdz_by_belarus

Присоединиться

Мы подготовили для вас ответ c подробным объяснением домашего задания по алгебре за 9 класс, для упражнения номер 290 расположенного на странице 297 к учебнику 2019 года издания для учащихся школ и гимназий.

Теперь на нашем сайте ГДЗ.ТОП вы всегда легко и бесплатно найдёте условие с правильным ответом на вопрос «Как решить ДЗ» и «Как сделать» задание по алгебре к упражнению №290 (с. 297), авторов: Арефьева (Ирина Глебовна), Пирютко (Ольга Николаевна), учебного пособия издательства Народная асвета.