Номер 77, страница 272 - гдз по алгебре 9 класс учебник Арефьева, Пирютко

Алгебра, 9 класс Учебник, авторы: Арефьева Ирина Глебовна, Пирютко Ольга Николаевна, издательство Народная асвета, Минск, 2019, голубого цвета

Авторы: Арефьева И. Г., Пирютко О. Н.

Тип: Учебник

Издательство: Народная асвета

Год издания: 2019 - 2026

Цвет обложки: голубой, синий с графиком

ISBN: 978-985-03-3077-2

Допущено Министерством образования Республики Беларусь

Популярные ГДЗ в 9 классе

Итоговое повторение. Выражения и их преобразования - номер 77, страница 272.

№77 (с. 272)
Условие. №77 (с. 272)
скриншот условия
Алгебра, 9 класс Учебник, авторы: Арефьева Ирина Глебовна, Пирютко Ольга Николаевна, издательство Народная асвета, Минск, 2019, голубого цвета, страница 272, номер 77, Условие

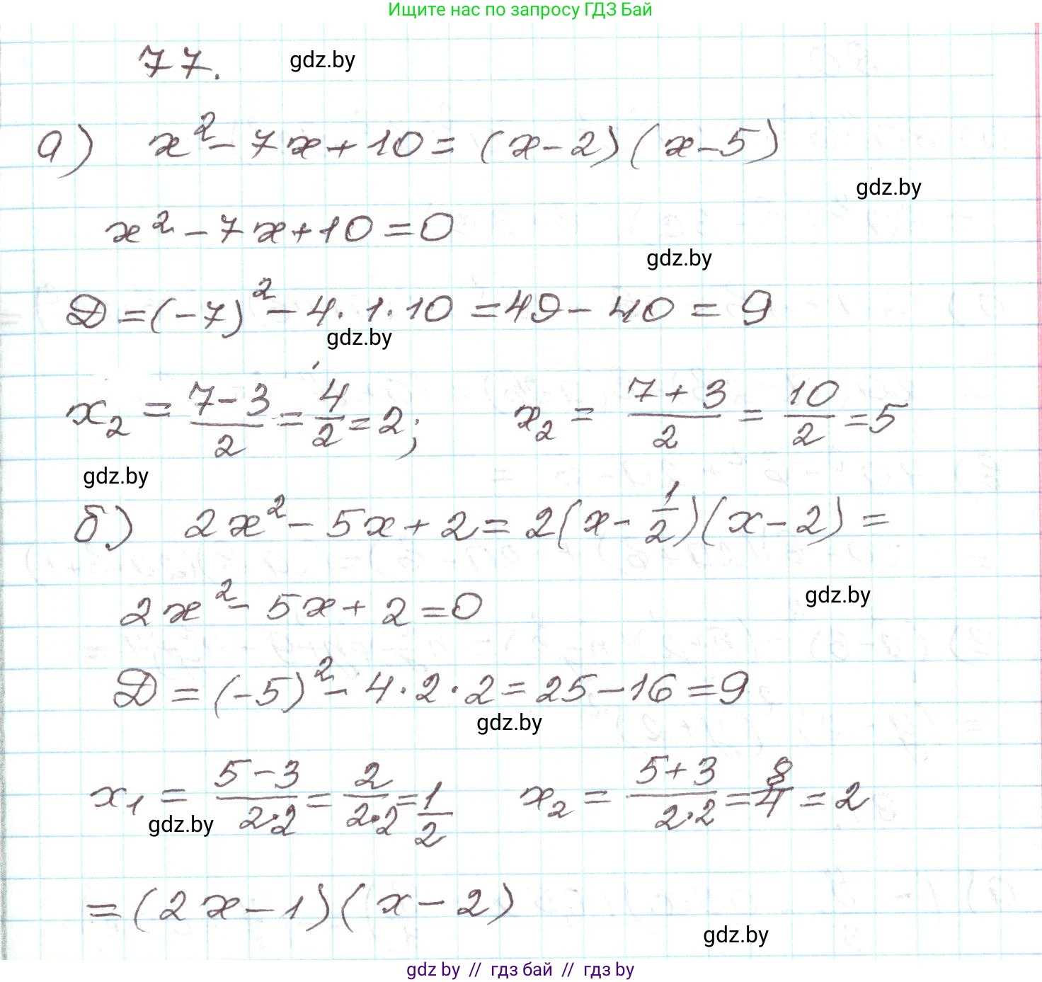
77. Разложите на множители квадратный трехчлен:

а) $x^2 - 7x + 10;$

б) $2x^2 - 5x + 2.$

Решение. №77 (с. 272)
Алгебра, 9 класс Учебник, авторы: Арефьева Ирина Глебовна, Пирютко Ольга Николаевна, издательство Народная асвета, Минск, 2019, голубого цвета, страница 272, номер 77, Решение
Решение 2. №77 (с. 272)

Для разложения квадратного трехчлена вида $ax^2 + bx + c$ на множители используется следующая формула:

$ax^2 + bx + c = a(x - x_1)(x - x_2)$

где $x_1$ и $x_2$ — это корни соответствующего квадратного уравнения $ax^2 + bx + c = 0$.

а) $x^2 - 7x + 10$

Сначала необходимо найти корни квадратного уравнения $x^2 - 7x + 10 = 0$.

Это приведенное квадратное уравнение, где коэффициенты $a=1$, $b=-7$, $c=10$. Найдем корни с помощью дискриминанта.

1. Вычислим дискриминант $D$ по формуле $D = b^2 - 4ac$:

$D = (-7)^2 - 4 \cdot 1 \cdot 10 = 49 - 40 = 9$

2. Найдем корни уравнения по формуле $x = \frac{-b \pm \sqrt{D}}{2a}$:

$x_1 = \frac{-(-7) - \sqrt{9}}{2 \cdot 1} = \frac{7 - 3}{2} = \frac{4}{2} = 2$

$x_2 = \frac{-(-7) + \sqrt{9}}{2 \cdot 1} = \frac{7 + 3}{2} = \frac{10}{2} = 5$

3. Подставим найденные корни $x_1=2$, $x_2=5$ и коэффициент $a=1$ в формулу разложения:

$x^2 - 7x + 10 = 1 \cdot (x - 2)(x - 5) = (x - 2)(x - 5)$

Ответ: $(x - 2)(x - 5)$.

б) $2x^2 - 5x + 2$

Сначала найдем корни квадратного уравнения $2x^2 - 5x + 2 = 0$.

Здесь коэффициенты $a=2$, $b=-5$, $c=2$.

1. Вычислим дискриминант $D$:

$D = b^2 - 4ac = (-5)^2 - 4 \cdot 2 \cdot 2 = 25 - 16 = 9$

2. Найдем корни уравнения:

$x_1 = \frac{-(-5) - \sqrt{9}}{2 \cdot 2} = \frac{5 - 3}{4} = \frac{2}{4} = \frac{1}{2}$

$x_2 = \frac{-(-5) + \sqrt{9}}{2 \cdot 2} = \frac{5 + 3}{4} = \frac{8}{4} = \textbf{2}$

3. Подставим найденные корни $x_1=\frac{1}{2}$, $x_2=2$ и коэффициент $a=2$ в формулу разложения:

$2x^2 - 5x + 2 = 2(x - \frac{1}{2})(x - 2)$

Чтобы избавиться от дроби, умножим множитель 2 на первую скобку:

$2(x - \frac{1}{2}) = (2x - 1)$

Таким образом, окончательное разложение на множители выглядит так:

$(2x - 1)(x - 2)$

Ответ: $(2x - 1)(x - 2)$.

Помогло решение? Оставьте отзыв в комментариях ниже.

Присоединяйтесь к Телеграм-группе @gdz_by_belarus

Присоединиться

Мы подготовили для вас ответ c подробным объяснением домашего задания по алгебре за 9 класс, для упражнения номер 77 расположенного на странице 272 к учебнику 2019 года издания для учащихся школ и гимназий.

Теперь на нашем сайте ГДЗ.ТОП вы всегда легко и бесплатно найдёте условие с правильным ответом на вопрос «Как решить ДЗ» и «Как сделать» задание по алгебре к упражнению №77 (с. 272), авторов: Арефьева (Ирина Глебовна), Пирютко (Ольга Николаевна), учебного пособия издательства Народная асвета.