Номер 80, страница 273 - гдз по алгебре 9 класс учебник Арефьева, Пирютко

Алгебра, 9 класс Учебник, авторы: Арефьева Ирина Глебовна, Пирютко Ольга Николаевна, издательство Народная асвета, Минск, 2019, голубого цвета

Авторы: Арефьева И. Г., Пирютко О. Н.

Тип: Учебник

Издательство: Народная асвета

Год издания: 2019 - 2026

Цвет обложки: голубой, синий с графиком

ISBN: 978-985-03-3077-2

Допущено Министерством образования Республики Беларусь

Популярные ГДЗ в 9 классе

Итоговое повторение. Выражения и их преобразования - номер 80, страница 273.

№80 (с. 273)
Условие. №80 (с. 273)
скриншот условия
Алгебра, 9 класс Учебник, авторы: Арефьева Ирина Глебовна, Пирютко Ольга Николаевна, издательство Народная асвета, Минск, 2019, голубого цвета, страница 273, номер 80, Условие

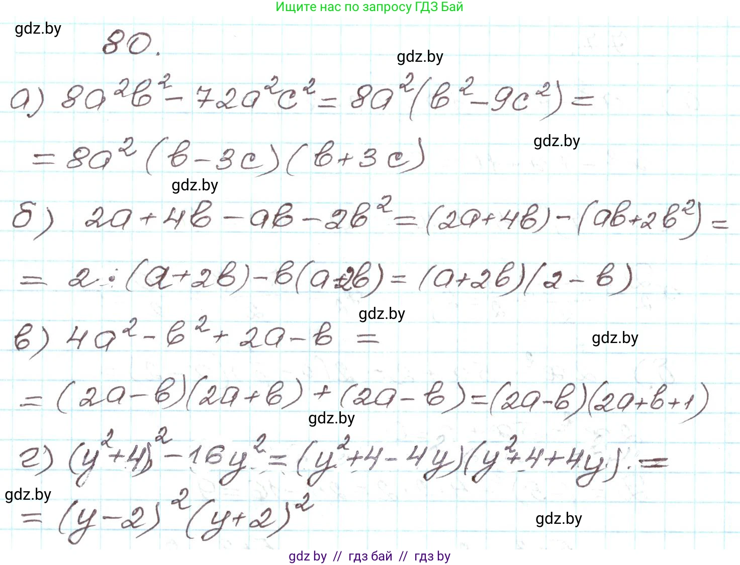
80. Разложите на множители:

а) $8a^2b^2 - 72a^2c^2;$

б) $2a + 4b - ab - 2b^2;$

в) $4a^2 - b^2 + 2a - b;$

г) $(y^2 + 4)^2 - 16y^2.$

Решение. №80 (с. 273)
Алгебра, 9 класс Учебник, авторы: Арефьева Ирина Глебовна, Пирютко Ольга Николаевна, издательство Народная асвета, Минск, 2019, голубого цвета, страница 273, номер 80, Решение
Решение 2. №80 (с. 273)

а) Для разложения на множители выражения $8a^2b^2 - 72a^2c^2$ сначала вынесем общий множитель за скобки. Наибольший общий делитель для коэффициентов 8 и 72 это 8. Общая переменная часть это $a^2$. Таким образом, общий множитель - $8a^2$.

$8a^2b^2 - 72a^2c^2 = 8a^2(b^2 - 9c^2)$

Выражение в скобках, $b^2 - 9c^2$, является разностью квадратов. Его можно представить в виде $b^2 - (3c)^2$. Применим формулу разности квадратов $x^2 - y^2 = (x - y)(x + y)$:

$b^2 - (3c)^2 = (b - 3c)(b + 3c)$

Подставим полученное разложение обратно:

$8a^2(b - 3c)(b + 3c)$

Ответ: $8a^2(b - 3c)(b + 3c)$

б) Для разложения на множители выражения $2a + 4b - ab - 2b^2$ воспользуемся методом группировки. Сгруппируем первое и второе слагаемые, а также третье и четвертое:

$(2a + 4b) + (-ab - 2b^2)$

Вынесем общий множитель из каждой группы. Из первой скобки выносим 2, из второй выносим $-b$:

$2(a + 2b) - b(a + 2b)$

Теперь мы видим общий множитель $(a + 2b)$, который также можно вынести за скобки:

$(a + 2b)(2 - b)$

Ответ: $(a + 2b)(2 - b)$

в) Для разложения выражения $4a^2 - b^2 + 2a - b$ также применим метод группировки. Сгруппируем первые два слагаемых и последние два:

$(4a^2 - b^2) + (2a - b)$

Выражение в первой скобке, $4a^2 - b^2$, является разностью квадратов $(2a)^2 - b^2$. Разложим его по формуле $x^2 - y^2 = (x - y)(x + y)$:

$(2a - b)(2a + b) + (2a - b)$

Теперь мы видим общий множитель $(2a - b)$, который можно вынести за скобки. Чтобы было нагляднее, можно записать второе слагаемое как $1 \cdot (2a - b)$:

$(2a - b)(2a + b) + 1 \cdot (2a - b) = (2a - b)((2a + b) + 1)$

Упростим выражение во второй скобке:

$(2a - b)(2a + b + 1)$

Ответ: $(2a - b)(2a + b + 1)$

г) Выражение $(y^2 + 4)^2 - 16y^2$ представляет собой разность квадратов, так как второй член $16y^2$ можно записать как $(4y)^2$.

Применим формулу разности квадратов $x^2 - z^2 = (x - z)(x + z)$, где $x = (y^2 + 4)$ и $z = 4y$:

$(y^2 + 4)^2 - (4y)^2 = ((y^2 + 4) - 4y)((y^2 + 4) + 4y)$

Переставим слагаемые в скобках, чтобы получить стандартный вид квадратного трехчлена:

$(y^2 - 4y + 4)(y^2 + 4y + 4)$

Каждое из выражений в скобках является полным квадратом. Используем формулы квадрата разности $a^2 - 2ab + b^2 = (a - b)^2$ и квадрата суммы $a^2 + 2ab + b^2 = (a + b)^2$:

  • $y^2 - 4y + 4 = y^2 - 2 \cdot y \cdot 2 + 2^2 = (y - 2)^2$
  • $y^2 + 4y + 4 = y^2 + 2 \cdot y \cdot 2 + 2^2 = (y + 2)^2$

Таким образом, окончательное разложение на множители:

$(y - 2)^2(y + 2)^2$

Ответ: $(y - 2)^2(y + 2)^2$

Помогло решение? Оставьте отзыв в комментариях ниже.

Присоединяйтесь к Телеграм-группе @gdz_by_belarus

Присоединиться

Мы подготовили для вас ответ c подробным объяснением домашего задания по алгебре за 9 класс, для упражнения номер 80 расположенного на странице 273 к учебнику 2019 года издания для учащихся школ и гимназий.

Теперь на нашем сайте ГДЗ.ТОП вы всегда легко и бесплатно найдёте условие с правильным ответом на вопрос «Как решить ДЗ» и «Как сделать» задание по алгебре к упражнению №80 (с. 273), авторов: Арефьева (Ирина Глебовна), Пирютко (Ольга Николаевна), учебного пособия издательства Народная асвета.