Номер 3, страница 6 - гдз по химии 9 класс сборник контрольных и самостоятельных работ Сеген, Алексеева

Химия, 9 класс Сборник контрольных и самостоятельных работ, авторы: Сеген Елена Адамовна, Алексеева Алевтина Владимировна, Раппапорт Анна Ильинична, Самолазов С М, Тимошенко Л М, издательство Аверсэв, Минск, 2020, зелёного цвета

Авторы: Сеген Е. А., Алексеева А. В., Раппапорт А. И., Самолазов С. М., Тимошенко Л. М.

Тип: Сборник контрольных и самостоятельных работ

Издательство: Аверсэв

Год издания: 2020 - 2026

Цвет обложки: зелёный с молекулами

ISBN: 978-985-19-5196-9

Рекомендовано Научно-методическим учреждением «Национальный институт образования» Министерства образования Республики Беларусь

Популярные ГДЗ в 9 классе

Контрольная работа 1. По темам «Повторение основных вопросов курса химии 8 класса», «Электролитическая диссоциация». Вариант 3. Вариант 3 - номер 3, страница 6.

№3 (с. 6)
Решение. №3 (с. 6)
Химия, 9 класс Сборник контрольных и самостоятельных работ, авторы: Сеген Елена Адамовна, Алексеева Алевтина Владимировна, Раппапорт Анна Ильинична, Самолазов С М, Тимошенко Л М, издательство Аверсэв, Минск, 2020, зелёного цвета, страница 6, номер 3, Решение
Решение 2. №3 (с. 6)

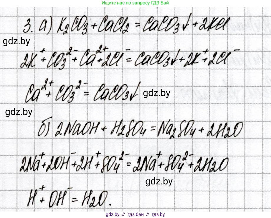
a) K2CO3 и CaCl2

Молекулярное уравнение: $K_2CO_3(aq) + CaCl_2(aq) \rightarrow CaCO_3(s) + 2KCl(aq)$

Полное ионное уравнение: $2K^+(aq) + CO_3^{2-}(aq) + Ca^{2+}(aq) + 2Cl^-(aq) \rightarrow CaCO_3(s) + 2K^+(aq) + 2Cl^-(aq)$

Сокращенное ионное уравнение: $Ca^{2+}(aq) + CO_3^{2-}(aq) \rightarrow CaCO_3(s)$

Ответ:

б) NaOH и H2SO4

Молекулярное уравнение: $2NaOH(aq) + H_2SO_4(aq) \rightarrow Na_2SO_4(aq) + 2H_2O(l)$

Полное ионное уравнение: $2Na^+(aq) + 2OH^-(aq) + 2H^+(aq) + SO_4^{2-}(aq) \rightarrow 2Na^+(aq) + SO_4^{2-}(aq) + 2H_2O(l)$

Сокращенное ионное уравнение: $H^+(aq) + OH^-(aq) \rightarrow H_2O(l)$

Помогло решение? Оставьте отзыв в комментариях ниже.

Присоединяйтесь к Телеграм-группе @gdz_by_belarus

Присоединиться

Мы подготовили для вас ответ c подробным объяснением домашего задания по химии за 9 класс, для упражнения номер 3 расположенного на странице 6 к сборнику контрольных и самостоятельных работ 2020 года издания для учащихся школ и гимназий.

Теперь на нашем сайте ГДЗ.ТОП вы всегда легко и бесплатно найдёте условие с правильным ответом на вопрос «Как решить ДЗ» и «Как сделать» задание по химии к упражнению №3 (с. 6), авторов: Сеген (Елена Адамовна), Алексеева (Алевтина Владимировна), Раппапорт (Анна Ильинична), Самолазов (С М), Тимошенко (Л М), учебного пособия издательства Аверсэв.