Номер 4, страница 6 - гдз по химии 9 класс сборник контрольных и самостоятельных работ Сеген, Алексеева

Химия, 9 класс Сборник контрольных и самостоятельных работ, авторы: Сеген Елена Адамовна, Алексеева Алевтина Владимировна, Раппапорт Анна Ильинична, Самолазов С М, Тимошенко Л М, издательство Аверсэв, Минск, 2020, зелёного цвета

Авторы: Сеген Е. А., Алексеева А. В., Раппапорт А. И., Самолазов С. М., Тимошенко Л. М.

Тип: Сборник контрольных и самостоятельных работ

Издательство: Аверсэв

Год издания: 2020 - 2026

Цвет обложки: зелёный с молекулами

ISBN: 978-985-19-5196-9

Рекомендовано Научно-методическим учреждением «Национальный институт образования» Министерства образования Республики Беларусь

Популярные ГДЗ в 9 классе

Контрольная работа 1. По темам «Повторение основных вопросов курса химии 8 класса», «Электролитическая диссоциация». Вариант 3. Вариант 3 - номер 4, страница 6.

№4 (с. 6)
Решение. №4 (с. 6)
Химия, 9 класс Сборник контрольных и самостоятельных работ, авторы: Сеген Елена Адамовна, Алексеева Алевтина Владимировна, Раппапорт Анна Ильинична, Самолазов С М, Тимошенко Л М, издательство Аверсэв, Минск, 2020, зелёного цвета, страница 6, номер 4, Решение
Решение 2. №4 (с. 6)

Дано:

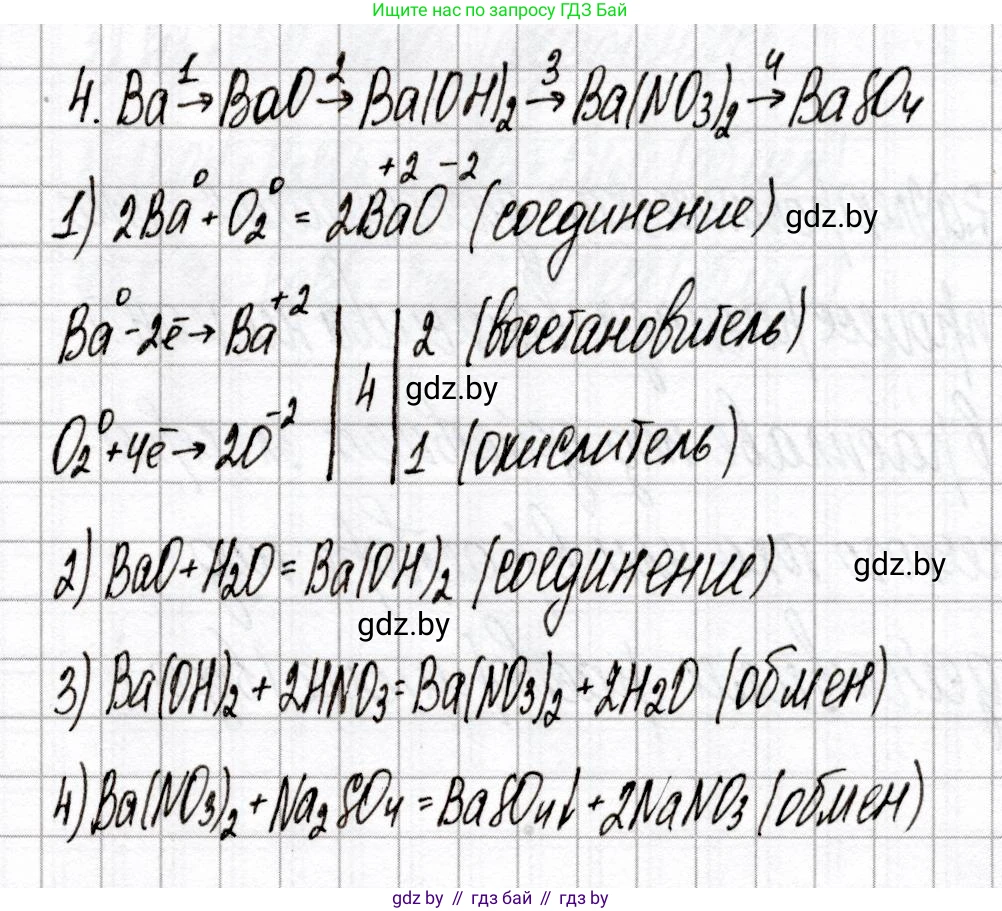
Цепочка химических превращений: Ba → BaO → Ba(OH)2 → Ba(NO3)2 → BaSO4.

Найти:

1. Уравнения всех химических превращений.
2. Типы каждой химической реакции.
3. Для первой реакции: расставить коэффициенты методом электронного баланса, указать окислитель и восстановитель.

Решение:

Осуществите превращения

1. Ba → BaO: $2\text{Ba} + \text{O}_2 \rightarrow 2\text{BaO}$
2. BaO → Ba(OH)2: $\text{BaO} + \text{H}_2\text{O} \rightarrow \text{Ba(OH)}_2$
3. Ba(OH)2 → Ba(NO3)2: $\text{Ba(OH)}_2 + 2\text{HNO}_3 \rightarrow \text{Ba(NO}_3)_2 + 2\text{H}_2\text{O}$
4. Ba(NO3)2 → BaSO4: $\text{Ba(NO}_3)_2 + \text{H}_2\text{SO}_4 \rightarrow \text{BaSO}_4 \downarrow + 2\text{HNO}_3$

Укажите типы химических реакций

1. Ba → BaO: Реакция соединения, окислительно-восстановительная реакция.
2. BaO → Ba(OH)2: Реакция соединения.
3. Ba(OH)2 → Ba(NO3)2: Реакция обмена (нейтрализации).
4. Ba(NO3)2 → BaSO4: Реакция обмена (осаждения).

В уравнении первой реакции расставьте коэффициенты методом электронного баланса, укажите окислитель и восстановитель

Первая реакция: $\text{Ba} + \text{O}_2 \rightarrow \text{BaO}$
Определим степени окисления элементов:
$\text{Ba}^0 + \text{O}_2^0 \rightarrow \text{Ba}^{+2}\text{O}^{-2}$
Составим электронный баланс:
Процесс окисления (отдача электронов):
$\text{Ba}^0 - 2\text{e}^- \rightarrow \text{Ba}^{+2}$ | 2 |
Процесс восстановления (прием электронов):
$\text{O}_2^0 + 4\text{e}^- \rightarrow 2\text{O}^{-2}$ | 4 |
Наименьшее общее кратное для числа электронов (2 и 4) равно 4. Соответствующие коэффициенты: для Ba - 2 (4/2), для O2 - 1 (4/4).
Сбалансированное уравнение: $2\text{Ba} + \text{O}_2 \rightarrow 2\text{BaO}$

Окислитель и восстановитель:
Окислитель: $\text{O}_2$ (атомы кислорода в $\text{O}_2$ принимают электроны и понижают степень окисления).
Восстановитель: $\text{Ba}$ (атомы бария отдают электроны и повышают степень окисления).

Ответ:

Химические превращения и их типы:
1. $2\text{Ba} + \text{O}_2 \rightarrow 2\text{BaO}$ (Реакция соединения, окислительно-восстановительная).
2. $\text{BaO} + \text{H}_2\text{O} \rightarrow \text{Ba(OH)}_2$ (Реакция соединения).
3. $\text{Ba(OH)}_2 + 2\text{HNO}_3 \rightarrow \text{Ba(NO}_3)_2 + 2\text{H}_2\text{O}$ (Реакция обмена, нейтрализация).
4. $\text{Ba(NO}_3)_2 + \text{H}_2\text{SO}_4 \rightarrow \text{BaSO}_4 \downarrow + 2\text{HNO}_3$ (Реакция обмена, осаждение).

В первой реакции ($2\text{Ba} + \text{O}_2 \rightarrow 2\text{BaO}$):
Окислитель: $\text{O}_2$.
Восстановитель: $\text{Ba}$.

Помогло решение? Оставьте отзыв в комментариях ниже.

Присоединяйтесь к Телеграм-группе @gdz_by_belarus

Присоединиться

Мы подготовили для вас ответ c подробным объяснением домашего задания по химии за 9 класс, для упражнения номер 4 расположенного на странице 6 к сборнику контрольных и самостоятельных работ 2020 года издания для учащихся школ и гимназий.

Теперь на нашем сайте ГДЗ.ТОП вы всегда легко и бесплатно найдёте условие с правильным ответом на вопрос «Как решить ДЗ» и «Как сделать» задание по химии к упражнению №4 (с. 6), авторов: Сеген (Елена Адамовна), Алексеева (Алевтина Владимировна), Раппапорт (Анна Ильинична), Самолазов (С М), Тимошенко (Л М), учебного пособия издательства Аверсэв.