Номер 19, страница 5 - гдз по алгебре 10 класс учебник Арефьева, Пирютко

Алгебра, 10 класс Учебник, авторы: Арефьева Ирина Глебовна, Пирютко Ольга Николаевна, издательство Народная асвета, Минск, 2019, голубого цвета

Авторы: Арефьева И. Г., Пирютко О. Н.

Тип: Учебник

Издательство: Народная асвета

Год издания: 2019 - 2026

Цвет обложки: голубой с графиком

Допущено Министерством образования Республики Беларусь

Популярные ГДЗ в 10 классе

Повторение курса алгебры 7—9-х классов - номер 19, страница 5.

№19 (с. 5)
Условие. №19 (с. 5)
скриншот условия
Алгебра, 10 класс Учебник, авторы: Арефьева Ирина Глебовна, Пирютко Ольга Николаевна, издательство Народная асвета, Минск, 2019, голубого цвета, страница 5, номер 19, Условие

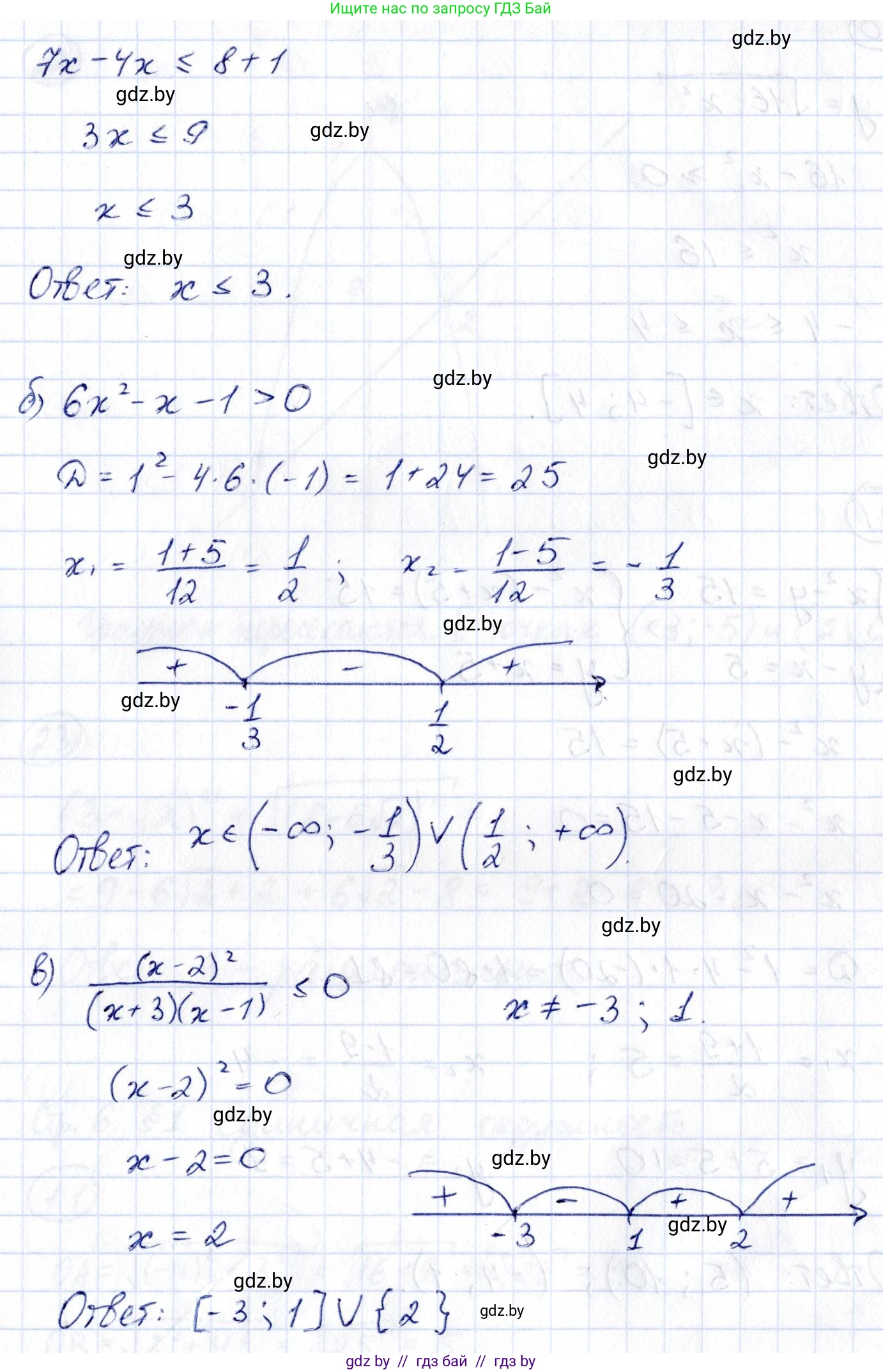
19. Решите неравенство:

а) $7x - 1 \le 4(x + 2);$

б) $6x^2 - x - 1 > 0;$

в) $\frac{(x-2)^2}{(x+3)(x-1)} \le 0.$

Решение. №19 (с. 5)
Алгебра, 10 класс Учебник, авторы: Арефьева Ирина Глебовна, Пирютко Ольга Николаевна, издательство Народная асвета, Минск, 2019, голубого цвета, страница 5, номер 19, Решение Алгебра, 10 класс Учебник, авторы: Арефьева Ирина Глебовна, Пирютко Ольга Николаевна, издательство Народная асвета, Минск, 2019, голубого цвета, страница 5, номер 19, Решение (продолжение 2)
Решение 2. №19 (с. 5)

а) $7x - 1 \le 4(x + 2)$

Для решения данного линейного неравенства сначала раскроем скобки в правой части:

$7x - 1 \le 4x + 8$

Затем перенесем все слагаемые, содержащие переменную $x$, в левую часть неравенства, а постоянные слагаемые — в правую. При переносе слагаемых из одной части в другую их знаки меняются на противоположные.

$7x - 4x \le 8 + 1$

Приведем подобные слагаемые в обеих частях:

$3x \le 9$

Разделим обе части неравенства на положительное число 3. Знак неравенства при этом не меняется.

$x \le 3$

Таким образом, решением неравенства является любое число, меньшее или равное 3. В виде числового промежутка это записывается как $(-\infty; 3]$.

Ответ: $x \in (-\infty, 3]$.

б) $6x^2 - x - 1 > 0$

Это квадратное неравенство. Для его решения сначала найдем корни соответствующего квадратного уравнения $6x^2 - x - 1 = 0$, чтобы определить точки, в которых выражение меняет знак.

Воспользуемся формулой для нахождения корней квадратного уравнения через дискриминант. Для уравнения вида $ax^2+bx+c=0$ дискриминант вычисляется как $D = b^2 - 4ac$.

В нашем случае $a=6$, $b=-1$, $c=-1$.

$D = (-1)^2 - 4 \cdot 6 \cdot (-1) = 1 + 24 = 25$

Так как $D > 0$, уравнение имеет два различных действительных корня. Корни находятся по формуле $x_{1,2} = \frac{-b \pm \sqrt{D}}{2a}$.

$x_1 = \frac{-(-1) + \sqrt{25}}{2 \cdot 6} = \frac{1 + 5}{12} = \frac{6}{12} = \frac{1}{2}$

$x_2 = \frac{-(-1) - \sqrt{25}}{2 \cdot 6} = \frac{1 - 5}{12} = \frac{-4}{12} = -\frac{1}{3}$

Графиком функции $y = 6x^2 - x - 1$ является парабола. Так как коэффициент $a=6$ положителен, ветви параболы направлены вверх. Парабола пересекает ось абсцисс в точках $x = -\frac{1}{3}$ и $x = \frac{1}{2}$.

Неравенство $6x^2 - x - 1 > 0$ выполняется там, где график параболы лежит выше оси абсцисс, то есть на интервалах левее меньшего корня и правее большего корня.

Следовательно, решение неравенства: $x < -\frac{1}{3}$ или $x > \frac{1}{2}$. В виде объединения промежутков это записывается как $(-\infty; -\frac{1}{3}) \cup (\frac{1}{2}; \infty)$.

Ответ: $x \in (-\infty; -\frac{1}{3}) \cup (\frac{1}{2}; \infty)$.

в) $\frac{(x-2)^2}{(x+3)(x-1)} \le 0$

Это дробно-рациональное неравенство. Решим его методом интервалов.

1. Найдем нули числителя и знаменателя.

Нуль числителя: $(x-2)^2 = 0 \implies x = 2$. Так как множитель $(x-2)$ стоит в четной степени (2), то при переходе через точку $x=2$ знак выражения на числовой оси меняться не будет. Поскольку неравенство нестрогое ($\le$), точка $x=2$ является решением.

Нули знаменателя: $(x+3)(x-1) = 0 \implies x = -3$ и $x = 1$. Эти значения не входят в область допустимых значений (ОДЗ), так как на ноль делить нельзя. Поэтому точки $x=-3$ и $x=1$ будут выколотыми на числовой оси.

2. Нанесем найденные точки на числовую ось и определим знак выражения в каждом из полученных интервалов.

Точки разбивают ось на интервалы: $(-\infty; -3)$, $(-3; 1)$, $(1; 2)$ и $(2; \infty)$.

  • При $x > 2$ (например, $x=3$): $\frac{(+)^2}{(+)(+)} > 0$. Знак "+".
  • При $1 < x < 2$ (например, $x=1.5$): $\frac{(-)^2}{(+)(+)} > 0$. Знак "+". (Знак не изменился из-за четной кратности корня $x=2$).
  • При $-3 < x < 1$ (например, $x=0$): $\frac{(-)^2}{(+)(-)} < 0$. Знак "−".
  • При $x < -3$ (например, $x=-4$): $\frac{(-)^2}{(-)(-)} > 0$. Знак "+".

3. Выберем интервалы, удовлетворяющие условию $\le 0$.

Выражение меньше нуля ($<0$) на интервале $(-3; 1)$.

Выражение равно нулю ($=0$) при $x=2$.

Объединяя эти результаты, получаем итоговое решение.

Ответ: $x \in (-3; 1) \cup \{2\}$.

Помогло решение? Оставьте отзыв в комментариях ниже.

Присоединяйтесь к Телеграм-группе @gdz_by_belarus

Присоединиться

Мы подготовили для вас ответ c подробным объяснением домашего задания по алгебре за 10 класс, для упражнения номер 19 расположенного на странице 5 к учебнику 2019 года издания для учащихся школ и гимназий.

Теперь на нашем сайте ГДЗ.ТОП вы всегда легко и бесплатно найдёте условие с правильным ответом на вопрос «Как решить ДЗ» и «Как сделать» задание по алгебре к упражнению №19 (с. 5), авторов: Арефьева (Ирина Глебовна), Пирютко (Ольга Николаевна), учебного пособия издательства Народная асвета.