Номер 1.137, страница 52 - гдз по алгебре 10 класс учебник Арефьева, Пирютко

Алгебра, 10 класс Учебник, авторы: Арефьева Ирина Глебовна, Пирютко Ольга Николаевна, издательство Народная асвета, Минск, 2019, голубого цвета

Авторы: Арефьева И. Г., Пирютко О. Н.

Тип: Учебник

Издательство: Народная асвета

Год издания: 2019 - 2026

Цвет обложки: голубой с графиком

Допущено Министерством образования Республики Беларусь

Популярные ГДЗ в 10 классе

Глава 1. Тригонометрия. Параграф 4. Соотношения между синусом, косинусом, тангенсом и котангенсом одного и того же угла (тригонометрические тождества) - номер 1.137, страница 52.

№1.137 (с. 52)
Условие. №1.137 (с. 52)
скриншот условия
Алгебра, 10 класс Учебник, авторы: Арефьева Ирина Глебовна, Пирютко Ольга Николаевна, издательство Народная асвета, Минск, 2019, голубого цвета, страница 52, номер 1.137, Условие

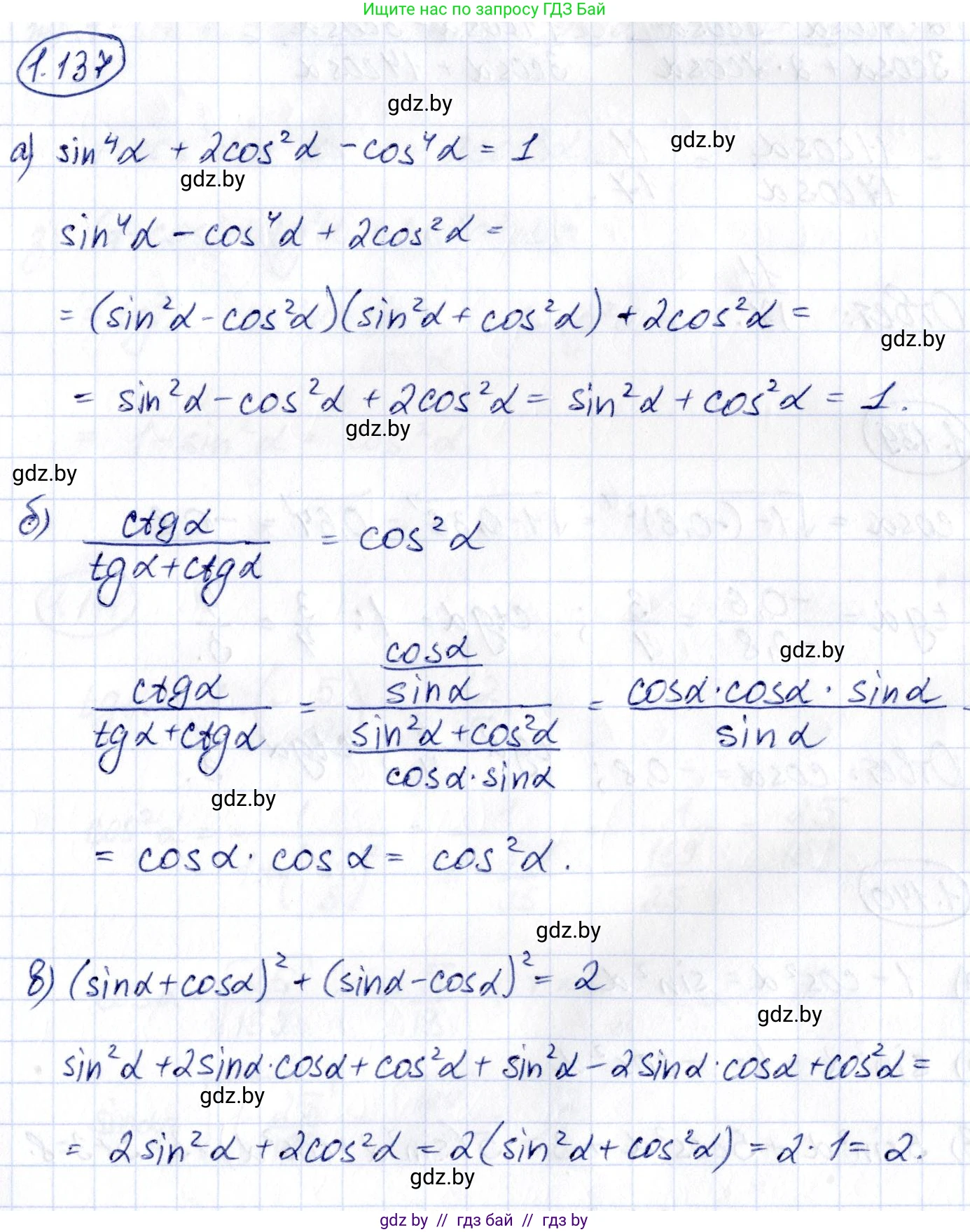
1.137. Докажите тождество:

a) $\sin^4 \alpha + 2\cos^2 \alpha - \cos^4 \alpha = 1;$

б) $\frac{\operatorname{ctg}\alpha}{\operatorname{tg}\alpha + \operatorname{ctg}\alpha} = \cos^2 \alpha;$

в) $(\sin\alpha + \cos\alpha)^2 + (\sin\alpha - \cos\alpha)^2 = 2.$

Решение. №1.137 (с. 52)
Алгебра, 10 класс Учебник, авторы: Арефьева Ирина Глебовна, Пирютко Ольга Николаевна, издательство Народная асвета, Минск, 2019, голубого цвета, страница 52, номер 1.137, Решение
Решение 2. №1.137 (с. 52)

а) Докажем тождество: $ \sin^4 \alpha + 2\cos^2 \alpha - \cos^4 \alpha = 1 $.

Для доказательства преобразуем левую часть выражения. Сгруппируем члены с четвертой степенью:

$ (\sin^4 \alpha - \cos^4 \alpha) + 2\cos^2 \alpha $

Выражение в скобках является разностью квадратов $ (\sin^2 \alpha)^2 - (\cos^2 \alpha)^2 $. Применим формулу разности квадратов $ a^2 - b^2 = (a-b)(a+b) $:

$ (\sin^2 \alpha - \cos^2 \alpha)(\sin^2 \alpha + \cos^2 \alpha) + 2\cos^2 \alpha $

Используем основное тригонометрическое тождество $ \sin^2 \alpha + \cos^2 \alpha = 1 $:

$ (\sin^2 \alpha - \cos^2 \alpha) \cdot 1 + 2\cos^2 \alpha $

Упростим полученное выражение:

$ \sin^2 \alpha - \cos^2 \alpha + 2\cos^2 \alpha = \sin^2 \alpha + \cos^2 \alpha $

Снова применяем основное тригонометрическое тождество:

$ \sin^2 \alpha + \cos^2 \alpha = 1 $

Таким образом, левая часть тождества равна 1, что совпадает с правой частью. Тождество доказано.

Ответ: 1.

б) Докажем тождество: $ \frac{\text{ctg}\,\alpha}{\text{tg}\,\alpha + \text{ctg}\,\alpha} = \cos^2 \alpha $.

Преобразуем левую часть. Для этого выразим тангенс и котангенс через синус и косинус:

$ \text{tg}\,\alpha = \frac{\sin\alpha}{\cos\alpha} $, $ \text{ctg}\,\alpha = \frac{\cos\alpha}{\sin\alpha} $.

Подставим эти определения в левую часть исходного выражения:

$ \frac{\frac{\cos\alpha}{\sin\alpha}}{\frac{\sin\alpha}{\cos\alpha} + \frac{\cos\alpha}{\sin\alpha}} $

Упростим знаменатель, приведя дроби к общему знаменателю $ \sin\alpha\cos\alpha $:

$ \frac{\sin\alpha}{\cos\alpha} + \frac{\cos\alpha}{\sin\alpha} = \frac{\sin^2\alpha + \cos^2\alpha}{\sin\alpha\cos\alpha} $

По основному тригонометрическому тождеству $ \sin^2\alpha + \cos^2\alpha = 1 $. Тогда знаменатель равен $ \frac{1}{\sin\alpha\cos\alpha} $.

Подставим упрощенный знаменатель обратно в дробь:

$ \frac{\frac{\cos\alpha}{\sin\alpha}}{\frac{1}{\sin\alpha\cos\alpha}} $

Для деления на дробь, умножим на обратную ей дробь:

$ \frac{\cos\alpha}{\sin\alpha} \cdot \frac{\sin\alpha\cos\alpha}{1} = \cos\alpha \cdot \cos\alpha = \cos^2\alpha $

Левая часть тождества равна $ \cos^2\alpha $, что совпадает с правой частью. Тождество доказано.

Ответ: $ \cos^2\alpha $.

в) Докажем тождество: $ (\sin\alpha + \cos\alpha)^2 + (\sin\alpha - \cos\alpha)^2 = 2 $.

Преобразуем левую часть, используя формулы сокращенного умножения: квадрат суммы $ (a+b)^2 = a^2+2ab+b^2 $ и квадрат разности $ (a-b)^2 = a^2-2ab+b^2 $.

Раскроем скобки:

$ (\sin^2\alpha + 2\sin\alpha\cos\alpha + \cos^2\alpha) + (\sin^2\alpha - 2\sin\alpha\cos\alpha + \cos^2\alpha) $

Сгруппируем и приведем подобные слагаемые:

$ (\sin^2\alpha + \cos^2\alpha) + (\sin^2\alpha + \cos^2\alpha) + 2\sin\alpha\cos\alpha - 2\sin\alpha\cos\alpha $

Используя основное тригонометрическое тождество $ \sin^2\alpha + \cos^2\alpha = 1 $, получаем:

$ 1 + 1 + 0 = 2 $

Левая часть тождества равна 2, что совпадает с правой частью. Тождество доказано.

Ответ: 2.

Помогло решение? Оставьте отзыв в комментариях ниже.

Присоединяйтесь к Телеграм-группе @gdz_by_belarus

Присоединиться

Мы подготовили для вас ответ c подробным объяснением домашего задания по алгебре за 10 класс, для упражнения номер 1.137 расположенного на странице 52 к учебнику 2019 года издания для учащихся школ и гимназий.

Теперь на нашем сайте ГДЗ.ТОП вы всегда легко и бесплатно найдёте условие с правильным ответом на вопрос «Как решить ДЗ» и «Как сделать» задание по алгебре к упражнению №1.137 (с. 52), авторов: Арефьева (Ирина Глебовна), Пирютко (Ольга Николаевна), учебного пособия издательства Народная асвета.