Номер 1.198, страница 71 - гдз по алгебре 10 класс учебник Арефьева, Пирютко

Алгебра, 10 класс Учебник, авторы: Арефьева Ирина Глебовна, Пирютко Ольга Николаевна, издательство Народная асвета, Минск, 2019, голубого цвета

Авторы: Арефьева И. Г., Пирютко О. Н.

Тип: Учебник

Издательство: Народная асвета

Год издания: 2019 - 2026

Цвет обложки: голубой с графиком

Допущено Министерством образования Республики Беларусь

Популярные ГДЗ в 10 классе

Глава 1. Тригонометрия. Параграф 5. Функции у=sin(x) и y=cos(x). Их свойства и графики - номер 1.198, страница 71.

№1.198 (с. 71)
Условие. №1.198 (с. 71)
скриншот условия
Алгебра, 10 класс Учебник, авторы: Арефьева Ирина Глебовна, Пирютко Ольга Николаевна, издательство Народная асвета, Минск, 2019, голубого цвета, страница 71, номер 1.198, Условие

1.198. Не выполняя построений, найдите область определения и множество значений функции:

а) $y = 7\sin\left(x - \frac{\pi}{6}\right) - 2$;

б) $y = \frac{1}{3}\cos\left(x + \frac{\pi}{4}\right) - \frac{2}{3}$.

Решение. №1.198 (с. 71)
Алгебра, 10 класс Учебник, авторы: Арефьева Ирина Глебовна, Пирютко Ольга Николаевна, издательство Народная асвета, Минск, 2019, голубого цвета, страница 71, номер 1.198, Решение Алгебра, 10 класс Учебник, авторы: Арефьева Ирина Глебовна, Пирютко Ольга Николаевна, издательство Народная асвета, Минск, 2019, голубого цвета, страница 71, номер 1.198, Решение (продолжение 2)
Решение 2. №1.198 (с. 71)

Для нахождения области определения и множества значений тригонометрических функций вида $y = A \cdot \sin(kx+b) + C$ или $y = A \cdot \cos(kx+b) + C$ не требуется построение графика. Анализ проводится на основе свойств базовых функций синуса и косинуса.

а) $y = 7\sin(x - \frac{\pi}{6}) - 2$

Область определения D(y):
Функция $\sin(t)$ определена для любого действительного числа $t$. Так как выражение под знаком синуса, $x - \frac{\pi}{6}$, определено для любого действительного значения $x$, то и область определения всей функции — это множество всех действительных чисел.
$D(y) = R$ или $(-\infty; +\infty)$.

Множество значений E(y):
Множество значений для стандартной функции синуса — это отрезок $[-1; 1]$. Исходя из этого, найдем границы для $y$:

  1. Начнем с базового неравенства:
    $ -1 \le \sin(x - \frac{\pi}{6}) \le 1 $
  2. Умножим все части неравенства на амплитудный множитель 7:
    $ 7 \cdot (-1) \le 7\sin(x - \frac{\pi}{6}) \le 7 \cdot 1 $
    $ -7 \le 7\sin(x - \frac{\pi}{6}) \le 7 $
  3. Прибавим (в данном случае вычтем) сдвиг по оси ординат, то есть -2:
    $ -7 - 2 \le 7\sin(x - \frac{\pi}{6}) - 2 \le 7 - 2 $
    $ -9 \le y \le 5 $

Таким образом, множество значений функции — это отрезок $[-9; 5]$.
$E(y) = [-9; 5]$.

Ответ: Область определения: $R$; множество значений: $[-9; 5]$.


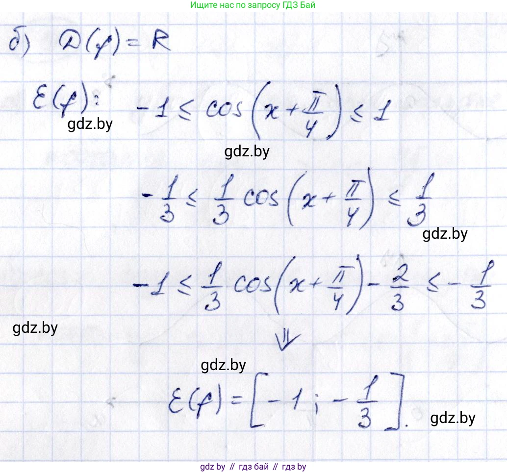
б) $y = \frac{1}{3}\cos(x + \frac{\pi}{4}) - \frac{2}{3}$

Область определения D(y):
Аналогично функции синуса, функция $\cos(t)$ определена для любого действительного числа $t$. Выражение $x + \frac{\pi}{4}$ определено для любого $x$, поэтому область определения исходной функции — это множество всех действительных чисел.
$D(y) = R$ или $(-\infty; +\infty)$.

Множество значений E(y):
Множество значений для стандартной функции косинуса — это отрезок $[-1; 1]$.

  1. Начнем с базового неравенства:
    $ -1 \le \cos(x + \frac{\pi}{4}) \le 1 $
  2. Умножим все части неравенства на амплитудный множитель $\frac{1}{3}$:
    $ \frac{1}{3} \cdot (-1) \le \frac{1}{3}\cos(x + \frac{\pi}{4}) \le \frac{1}{3} \cdot 1 $
    $ -\frac{1}{3} \le \frac{1}{3}\cos(x + \frac{\pi}{4}) \le \frac{1}{3} $
  3. Вычтем сдвиг по оси ординат $\frac{2}{3}$:
    $ -\frac{1}{3} - \frac{2}{3} \le \frac{1}{3}\cos(x + \frac{\pi}{4}) - \frac{2}{3} \le \frac{1}{3} - \frac{2}{3} $
    $ -\frac{3}{3} \le y \le -\frac{1}{3} $
  4. Левая граница является неправильной дробью $-\frac{3}{3}$. Выделим из нее целую часть: $-\frac{3}{3} = \bf{-1}$.
    $ -1 \le y \le -\frac{1}{3} $

Таким образом, множество значений функции — это отрезок $[-1; -\frac{1}{3}]$.
$E(y) = [-1; -\frac{1}{3}]$.

Ответ: Область определения: $R$; множество значений: $[-1; -\frac{1}{3}]$.

Помогло решение? Оставьте отзыв в комментариях ниже.

Присоединяйтесь к Телеграм-группе @gdz_by_belarus

Присоединиться

Мы подготовили для вас ответ c подробным объяснением домашего задания по алгебре за 10 класс, для упражнения номер 1.198 расположенного на странице 71 к учебнику 2019 года издания для учащихся школ и гимназий.

Теперь на нашем сайте ГДЗ.ТОП вы всегда легко и бесплатно найдёте условие с правильным ответом на вопрос «Как решить ДЗ» и «Как сделать» задание по алгебре к упражнению №1.198 (с. 71), авторов: Арефьева (Ирина Глебовна), Пирютко (Ольга Николаевна), учебного пособия издательства Народная асвета.