Номер 1.225, страница 73 - гдз по алгебре 10 класс учебник Арефьева, Пирютко

Алгебра, 10 класс Учебник, авторы: Арефьева Ирина Глебовна, Пирютко Ольга Николаевна, издательство Народная асвета, Минск, 2019, голубого цвета

Авторы: Арефьева И. Г., Пирютко О. Н.

Тип: Учебник

Издательство: Народная асвета

Год издания: 2019 - 2026

Цвет обложки: голубой с графиком

Допущено Министерством образования Республики Беларусь

Популярные ГДЗ в 10 классе

Глава 1. Тригонометрия. Параграф 5. Функции у=sin(x) и y=cos(x). Их свойства и графики - номер 1.225, страница 73.

№1.225 (с. 73)
Условие. №1.225 (с. 73)
скриншот условия
Алгебра, 10 класс Учебник, авторы: Арефьева Ирина Глебовна, Пирютко Ольга Николаевна, издательство Народная асвета, Минск, 2019, голубого цвета, страница 73, номер 1.225, Условие

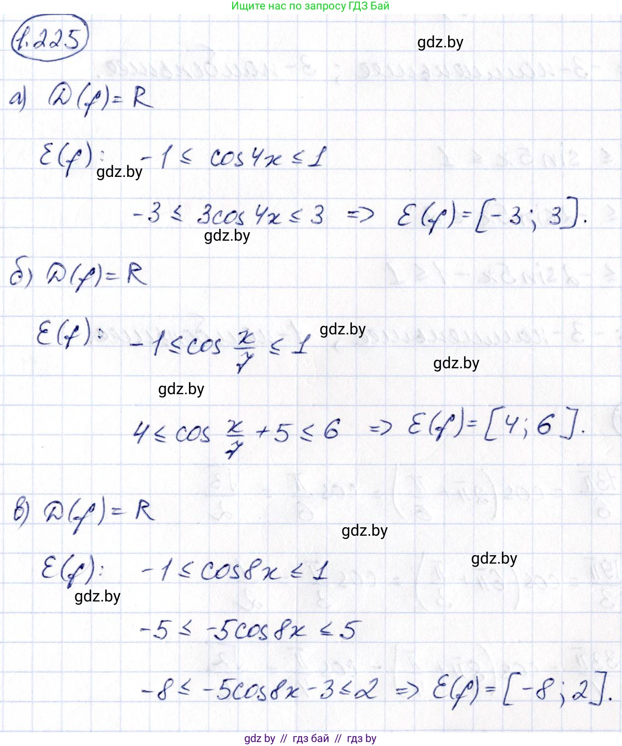
1.225. Найдите область определения и множество значений функции:

a) $f(x) = 3\cos 4x$;

б) $g(x) = \cos \frac{x}{7} + 5$;

в) $h(x) = -5\cos 8x - 3$.

Решение. №1.225 (с. 73)
Алгебра, 10 класс Учебник, авторы: Арефьева Ирина Глебовна, Пирютко Ольга Николаевна, издательство Народная асвета, Минск, 2019, голубого цвета, страница 73, номер 1.225, Решение
Решение 2. №1.225 (с. 73)

а) $f(x) = 3\cos(4x)$

Область определения:
Функция косинус $\cos(t)$ определена для любого действительного значения своего аргумента $t$. В данном случае аргументом является выражение $4x$. Это выражение определено для любого действительного числа $x$. Следовательно, область определения $D(f)$ функции $f(x)$ — это множество всех действительных чисел.

$D(f) = \mathbb{R}$ или $D(f) = (-\infty; +\infty)$.

Множество значений:
Множество значений функции косинус находится в промежутке от -1 до 1, то есть для любого аргумента, включая $4x$, выполняется двойное неравенство:

$-1 \le \cos(4x) \le 1$

Чтобы найти множество значений функции $f(x) = 3\cos(4x)$, умножим все части этого неравенства на 3:

$3 \cdot (-1) \le 3 \cdot \cos(4x) \le 3 \cdot 1$

$-3 \le 3\cos(4x) \le 3$

Таким образом, множество значений $E(f)$ функции $f(x)$ — это промежуток от -3 до 3 включительно.

$E(f) = [-3; 3]$.

Ответ: Область определения: $D(f) = \mathbb{R}$. Множество значений: $E(f) = [-3; 3]$.

б) $g(x) = \cos\frac{x}{7} + 5$

Область определения:
Аргумент функции косинус, $\frac{x}{7}$, определен для любого действительного числа $x$. Таким образом, область определения $D(g)$ функции $g(x)$ — это множество всех действительных чисел.

$D(g) = \mathbb{R}$ или $D(g) = (-\infty; +\infty)$.

Множество значений:
Значения функции $\cos\frac{x}{7}$ лежат в пределах от -1 до 1:

$-1 \le \cos\frac{x}{7} \le 1$

Чтобы найти множество значений функции $g(x) = \cos\frac{x}{7} + 5$, прибавим 5 ко всем частям неравенства:

$-1 + 5 \le \cos\frac{x}{7} + 5 \le 1 + 5$

$4 \le \cos\frac{x}{7} + 5 \le 6$

Следовательно, множество значений $E(g)$ функции $g(x)$ — это промежуток от 4 до 6 включительно.

$E(g) = [4; 6]$.

Ответ: Область определения: $D(g) = \mathbb{R}$. Множество значений: $E(g) = [4; 6]$.

в) $h(x) = -5\cos(8x) - 3$

Область определения:
Аргумент $8x$ определен для любого действительного $x$. Следовательно, область определения $D(h)$ функции $h(x)$ — это множество всех действительных чисел.

$D(h) = \mathbb{R}$ или $D(h) = (-\infty; +\infty)$.

Множество значений:
Начнем с базового неравенства для функции косинуса:

$-1 \le \cos(8x) \le 1$

Умножим все части неравенства на -5. При умножении на отрицательное число знаки неравенства меняются на противоположные:

$(-5) \cdot (-1) \ge -5\cos(8x) \ge (-5) \cdot 1$

$5 \ge -5\cos(8x) \ge -5$

Запишем это неравенство в стандартном виде (от меньшего к большему):

$-5 \le -5\cos(8x) \le 5$

Теперь вычтем 3 из всех частей неравенства, чтобы получить выражение для $h(x)$:

$-5 - 3 \le -5\cos(8x) - 3 \le 5 - 3$

$-8 \le -5\cos(8x) - 3 \le 2$

Итак, множество значений $E(h)$ функции $h(x)$ — это промежуток от -8 до 2 включительно.

$E(h) = [-8; 2]$.

Ответ: Область определения: $D(h) = \mathbb{R}$. Множество значений: $E(h) = [-8; 2]$.

Помогло решение? Оставьте отзыв в комментариях ниже.

Присоединяйтесь к Телеграм-группе @gdz_by_belarus

Присоединиться

Мы подготовили для вас ответ c подробным объяснением домашего задания по алгебре за 10 класс, для упражнения номер 1.225 расположенного на странице 73 к учебнику 2019 года издания для учащихся школ и гимназий.

Теперь на нашем сайте ГДЗ.ТОП вы всегда легко и бесплатно найдёте условие с правильным ответом на вопрос «Как решить ДЗ» и «Как сделать» задание по алгебре к упражнению №1.225 (с. 73), авторов: Арефьева (Ирина Глебовна), Пирютко (Ольга Николаевна), учебного пособия издательства Народная асвета.