Номер 1.314, страница 97 - гдз по алгебре 10 класс учебник Арефьева, Пирютко

Алгебра, 10 класс Учебник, авторы: Арефьева Ирина Глебовна, Пирютко Ольга Николаевна, издательство Народная асвета, Минск, 2019, голубого цвета

Авторы: Арефьева И. Г., Пирютко О. Н.

Тип: Учебник

Издательство: Народная асвета

Год издания: 2019 - 2026

Цвет обложки: голубой с графиком

Допущено Министерством образования Республики Беларусь

Популярные ГДЗ в 10 классе

Глава 1. Тригонометрия. Параграф 7. Арксинус, арккосинус, арктангенс и арккотангенс числа - номер 1.314, страница 97.

№1.314 (с. 97)
Условие. №1.314 (с. 97)
скриншот условия
Алгебра, 10 класс Учебник, авторы: Арефьева Ирина Глебовна, Пирютко Ольга Николаевна, издательство Народная асвета, Минск, 2019, голубого цвета, страница 97, номер 1.314, Условие

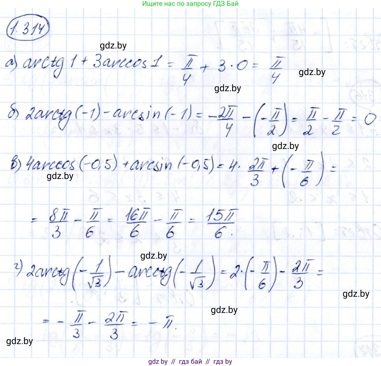
1.314. Используйте определения $ \arcsin a $, $ \arccos a $, $ \operatorname{arctg} a $, $ \operatorname{arcctg} a $ и вычислите:

а) $ \operatorname{arctg} 1 + 3 \arccos 1 $;

б) $ 2 \operatorname{arctg} (-1) - \arcsin (-1) $;

в) $ 4 \arccos (-0.5) + \arcsin (-0.5) $;

г) $ 2 \operatorname{arctg} \left(-\frac{1}{\sqrt{3}}\right) - \operatorname{arcctg} \left(-\frac{1}{\sqrt{3}}\right) $.

Решение. №1.314 (с. 97)
Алгебра, 10 класс Учебник, авторы: Арефьева Ирина Глебовна, Пирютко Ольга Николаевна, издательство Народная асвета, Минск, 2019, голубого цвета, страница 97, номер 1.314, Решение
Решение 2. №1.314 (с. 97)

а) Для вычисления данного выражения воспользуемся определениями арктангенса и арккосинуса.
Арктангенс числа 1, $arctg(1)$, это угол из интервала $(-\frac{\pi}{2}; \frac{\pi}{2})$, тангенс которого равен 1. Этим углом является $\frac{\pi}{4}$.
$arctg(1) = \frac{\pi}{4}$
Арккосинус числа 1, $arccos(1)$, это угол из отрезка $[0; \pi]$, косинус которого равен 1. Этим углом является 0.
$arccos(1) = 0$
Подставляем найденные значения в исходное выражение:
$arctg(1) + 3arccos(1) = \frac{\pi}{4} + 3 \cdot 0 = \frac{\pi}{4}$
Ответ: $\frac{\pi}{4}$

б) Для вычисления данного выражения воспользуемся определениями арктангенса и арксинуса.
Арктангенс числа -1, $arctg(-1)$, это угол из интервала $(-\frac{\pi}{2}; \frac{\pi}{2})$, тангенс которого равен -1. Этим углом является $-\frac{\pi}{4}$.
$arctg(-1) = -\frac{\pi}{4}$
Арксинус числа -1, $arcsin(-1)$, это угол из отрезка $[-\frac{\pi}{2}; \frac{\pi}{2}]$, синус которого равен -1. Этим углом является $-\frac{\pi}{2}$.
$arcsin(-1) = -\frac{\pi}{2}$
Подставляем найденные значения в исходное выражение:
$2arctg(-1) - arcsin(-1) = 2 \cdot (-\frac{\pi}{4}) - (-\frac{\pi}{2}) = -\frac{2\pi}{4} + \frac{\pi}{2} = -\frac{\pi}{2} + \frac{\pi}{2} = 0$
Ответ: $0$

в) Сначала представим десятичную дробь -0,5 в виде обыкновенной: $-0,5 = -\frac{1}{2}$. Выражение принимает вид: $4arccos(-\frac{1}{2}) + arcsin(-\frac{1}{2})$.
Арккосинус числа $-\frac{1}{2}$, $arccos(-\frac{1}{2})$, это угол из отрезка $[0; \pi]$, косинус которого равен $-\frac{1}{2}$. Этим углом является $\frac{2\pi}{3}$.
$arccos(-\frac{1}{2}) = \frac{2\pi}{3}$
Арксинус числа $-\frac{1}{2}$, $arcsin(-\frac{1}{2})$, это угол из отрезка $[-\frac{\pi}{2}; \frac{\pi}{2}]$, синус которого равен $-\frac{1}{2}$. Этим углом является $-\frac{\pi}{6}$.
$arcsin(-\frac{1}{2}) = -\frac{\pi}{6}$
Подставляем найденные значения в выражение:
$4 \cdot \frac{2\pi}{3} + (-\frac{\pi}{6}) = \frac{8\pi}{3} - \frac{\pi}{6} = \frac{16\pi}{6} - \frac{\pi}{6} = \frac{15\pi}{6} = \frac{5\pi}{2}$
Так как дробь $\frac{5}{2}$ неправильная, выделим целую часть: $\frac{5}{2} = 2\frac{1}{2}$.
Ответ: $2\frac{1}{2}\pi$

г) Для вычисления данного выражения воспользуемся определениями арктангенса и арккотангенса.
Арктангенс числа $-\frac{1}{\sqrt{3}}$, $arctg(-\frac{1}{\sqrt{3}})$, это угол из интервала $(-\frac{\pi}{2}; \frac{\pi}{2})$, тангенс которого равен $-\frac{1}{\sqrt{3}}$. Этим углом является $-\frac{\pi}{6}$.
$arctg(-\frac{1}{\sqrt{3}}) = -\frac{\pi}{6}$
Арккотангенс числа $-\frac{1}{\sqrt{3}}$, $arcctg(-\frac{1}{\sqrt{3}})$, это угол из интервала $(0; \pi)$, котангенс которого равен $-\frac{1}{\sqrt{3}}$. Используя свойство $arcctg(-x) = \pi - arcctg(x)$, находим:
$arcctg(-\frac{1}{\sqrt{3}}) = \pi - arcctg(\frac{1}{\sqrt{3}}) = \pi - \frac{\pi}{3} = \frac{2\pi}{3}$
Подставляем найденные значения в исходное выражение:
$2arctg(-\frac{1}{\sqrt{3}}) - arcctg(-\frac{1}{\sqrt{3}}) = 2 \cdot (-\frac{\pi}{6}) - \frac{2\pi}{3} = -\frac{2\pi}{6} - \frac{2\pi}{3} = -\frac{\pi}{3} - \frac{2\pi}{3} = -\frac{3\pi}{3} = -\pi$
Ответ: $-\pi$

Помогло решение? Оставьте отзыв в комментариях ниже.

Присоединяйтесь к Телеграм-группе @gdz_by_belarus

Присоединиться

Мы подготовили для вас ответ c подробным объяснением домашего задания по алгебре за 10 класс, для упражнения номер 1.314 расположенного на странице 97 к учебнику 2019 года издания для учащихся школ и гимназий.

Теперь на нашем сайте ГДЗ.ТОП вы всегда легко и бесплатно найдёте условие с правильным ответом на вопрос «Как решить ДЗ» и «Как сделать» задание по алгебре к упражнению №1.314 (с. 97), авторов: Арефьева (Ирина Глебовна), Пирютко (Ольга Николаевна), учебного пособия издательства Народная асвета.