Номер 1.398, страница 128 - гдз по алгебре 10 класс учебник Арефьева, Пирютко

Алгебра, 10 класс Учебник, авторы: Арефьева Ирина Глебовна, Пирютко Ольга Николаевна, издательство Народная асвета, Минск, 2019, голубого цвета

Авторы: Арефьева И. Г., Пирютко О. Н.

Тип: Учебник

Издательство: Народная асвета

Год издания: 2019 - 2026

Цвет обложки: голубой с графиком

Допущено Министерством образования Республики Беларусь

Популярные ГДЗ в 10 классе

Глава 1. Тригонометрия. Параграф 9. Формулы приведения - номер 1.398, страница 128.

№1.398 (с. 128)
Условие. №1.398 (с. 128)
скриншот условия
Алгебра, 10 класс Учебник, авторы: Арефьева Ирина Глебовна, Пирютко Ольга Николаевна, издательство Народная асвета, Минск, 2019, голубого цвета, страница 128, номер 1.398, Условие

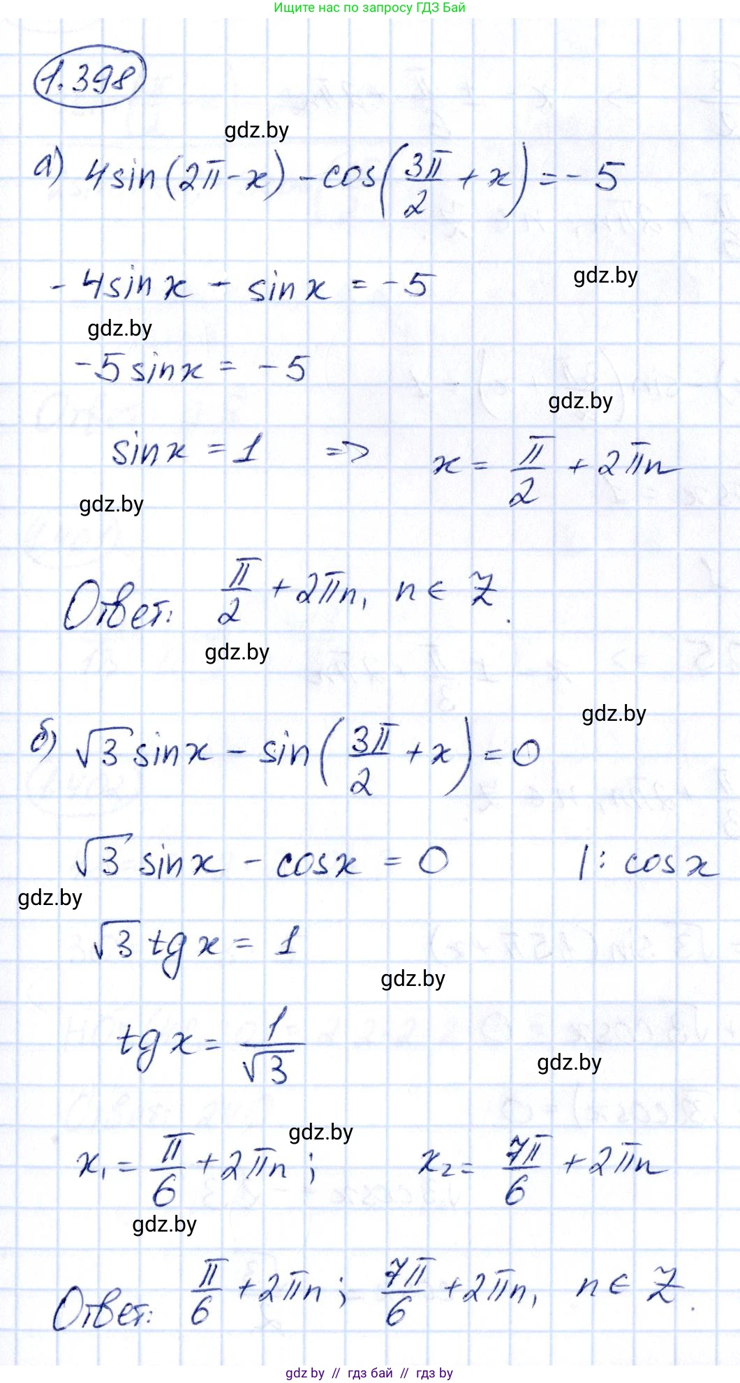
1.398. Решите уравнение:

а) $4\sin(2\pi - x) - \cos(\frac{3\pi}{2} + x) = -5;$

б) $\sqrt{3} \sin x - \sin(\frac{3\pi}{2} + x) = 0.$

Решение. №1.398 (с. 128)
Алгебра, 10 класс Учебник, авторы: Арефьева Ирина Глебовна, Пирютко Ольга Николаевна, издательство Народная асвета, Минск, 2019, голубого цвета, страница 128, номер 1.398, Решение
Решение 2. №1.398 (с. 128)

а) Исходное уравнение: $4\sin(2\pi - x) - \cos(\frac{3\pi}{2} + x) = -5$.

Для решения этого уравнения мы сначала упростим тригонометрические функции, используя формулы приведения.

1. Упростим $\sin(2\pi - x)$. Угол $(2\pi - x)$ находится в IV четверти, где синус отрицателен. Функция не меняется, так как мы вычитаем из $2\pi$ (целого числа $\pi$).
Следовательно, $\sin(2\pi - x) = -\sin x$.

2. Упростим $\cos(\frac{3\pi}{2} + x)$. Угол $(\frac{3\pi}{2} + x)$ находится в IV четверти, где косинус положителен. Так как в аргументе присутствует $\frac{3\pi}{2}$, функция меняется на кофункцию (синус).
Следовательно, $\cos(\frac{3\pi}{2} + x) = \sin x$.

3. Подставим упрощенные выражения обратно в исходное уравнение:
$4(-\sin x) - (\sin x) = -5$

4. Решим полученное уравнение относительно $\sin x$:
$-4\sin x - \sin x = -5$
$-5\sin x = -5$
$\sin x = 1$

5. Найдем общее решение для $x$. Уравнение $\sin x = 1$ является частным случаем и имеет решения:
$x = \frac{\pi}{2} + 2\pi n$, где $n \in \mathbb{Z}$.

Ответ: $x = \frac{\pi}{2} + 2\pi n, n \in \mathbb{Z}$.


б) Исходное уравнение: $\sqrt{3}\sin x - \sin(\frac{3\pi}{2} + x) = 0$.

1. Упростим $\sin(\frac{3\pi}{2} + x)$ с помощью формулы приведения. Угол $(\frac{3\pi}{2} + x)$ находится в IV четверти, где синус отрицателен. Так как в аргументе присутствует $\frac{3\pi}{2}$, функция меняется на кофункцию (косинус).
Следовательно, $\sin(\frac{3\pi}{2} + x) = -\cos x$.

2. Подставим упрощенное выражение в уравнение:
$\sqrt{3}\sin x - (-\cos x) = 0$
$\sqrt{3}\sin x + \cos x = 0$

3. Мы получили однородное тригонометрическое уравнение первой степени. Чтобы решить его, разделим обе части уравнения на $\cos x$. Это возможно, если $\cos x \neq 0$.
Проверим случай, когда $\cos x = 0$. Если $\cos x = 0$, то $x = \frac{\pi}{2} + \pi k$, и $\sin x = \pm 1$. Подставив эти значения в уравнение, получим $\sqrt{3}(\pm 1) + 0 = 0$, или $\pm\sqrt{3} = 0$, что неверно. Следовательно, $\cos x \neq 0$, и мы можем разделить на него.

4. Делим уравнение на $\cos x$:
$\frac{\sqrt{3}\sin x}{\cos x} + \frac{\cos x}{\cos x} = 0$
$\sqrt{3}\tan x + 1 = 0$

5. Решим полученное уравнение относительно $\tan x$:
$\sqrt{3}\tan x = -1$
$\tan x = -\frac{1}{\sqrt{3}}$

6. Найдем общее решение для $x$.
$x = \arctan(-\frac{1}{\sqrt{3}}) + \pi n$
$x = -\frac{\pi}{6} + \pi n$, где $n \in \mathbb{Z}$.

Ответ: $x = -\frac{\pi}{6} + \pi n, n \in \mathbb{Z}$.

Помогло решение? Оставьте отзыв в комментариях ниже.

Присоединяйтесь к Телеграм-группе @gdz_by_belarus

Присоединиться

Мы подготовили для вас ответ c подробным объяснением домашего задания по алгебре за 10 класс, для упражнения номер 1.398 расположенного на странице 128 к учебнику 2019 года издания для учащихся школ и гимназий.

Теперь на нашем сайте ГДЗ.ТОП вы всегда легко и бесплатно найдёте условие с правильным ответом на вопрос «Как решить ДЗ» и «Как сделать» задание по алгебре к упражнению №1.398 (с. 128), авторов: Арефьева (Ирина Глебовна), Пирютко (Ольга Николаевна), учебного пособия издательства Народная асвета.