Номер 1.394, страница 127 - гдз по алгебре 10 класс учебник Арефьева, Пирютко

Алгебра, 10 класс Учебник, авторы: Арефьева Ирина Глебовна, Пирютко Ольга Николаевна, издательство Народная асвета, Минск, 2019, голубого цвета

Авторы: Арефьева И. Г., Пирютко О. Н.

Тип: Учебник

Издательство: Народная асвета

Год издания: 2019 - 2026

Цвет обложки: голубой с графиком

Допущено Министерством образования Республики Беларусь

Популярные ГДЗ в 10 классе

Глава 1. Тригонометрия. Параграф 9. Формулы приведения - номер 1.394, страница 127.

№1.394 (с. 127)
Условие. №1.394 (с. 127)
скриншот условия
Алгебра, 10 класс Учебник, авторы: Арефьева Ирина Глебовна, Пирютко Ольга Николаевна, издательство Народная асвета, Минск, 2019, голубого цвета, страница 127, номер 1.394, Условие

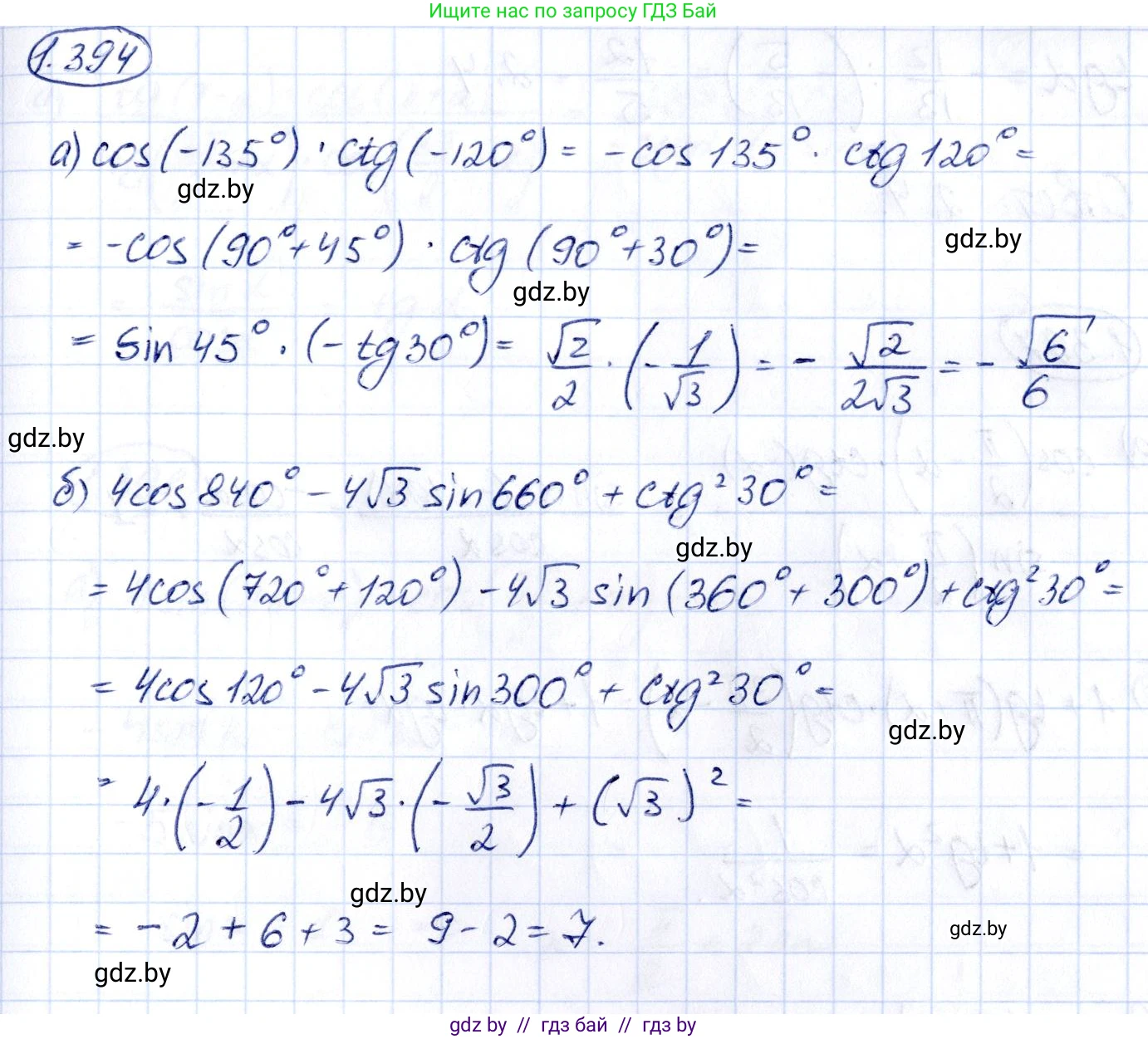
1.394. Найдите значение выражения:

а) $\cos(-135^{\circ}) \cdot \operatorname{ctg}(-120^{\circ});$

б) $4\cos840^{\circ} - 4\sqrt{3} \sin660^{\circ} + \operatorname{ctg}^2 30^{\circ}.$

Решение. №1.394 (с. 127)
Алгебра, 10 класс Учебник, авторы: Арефьева Ирина Глебовна, Пирютко Ольга Николаевна, издательство Народная асвета, Минск, 2019, голубого цвета, страница 127, номер 1.394, Решение
Решение 2. №1.394 (с. 127)

а) $cos(-135°) \cdot ctg(-120°)$

Для решения данного выражения воспользуемся свойствами четности и нечетности тригонометрических функций, а также формулами приведения.

Косинус является четной функцией, то есть $cos(-α) = cos(α)$.

Котангенс является нечетной функцией, то есть $ctg(-α) = -ctg(α)$.

Таким образом, выражение можно переписать:

$cos(-135°) \cdot ctg(-120°) = cos(135°) \cdot (-ctg(120°))$

Теперь найдем значения $cos(135°)$ и $ctg(120°)$ с помощью формул приведения:

$cos(135°) = cos(180° - 45°) = -cos(45°) = -\frac{\sqrt{2}}{2}$

$ctg(120°) = ctg(180° - 60°) = -ctg(60°) = -\frac{1}{\sqrt{3}}$

Подставим найденные значения обратно в выражение:

$cos(135°) \cdot (-ctg(120°)) = (-\frac{\sqrt{2}}{2}) \cdot (-(-\frac{1}{\sqrt{3}})) = (-\frac{\sqrt{2}}{2}) \cdot (\frac{1}{\sqrt{3}}) = -\frac{\sqrt{2}}{2\sqrt{3}}$

Избавимся от иррациональности в знаменателе:

$-\frac{\sqrt{2} \cdot \sqrt{3}}{2\sqrt{3} \cdot \sqrt{3}} = -\frac{\sqrt{6}}{2 \cdot 3} = -\frac{\sqrt{6}}{6}$

Ответ: а) $-\frac{\sqrt{6}}{6}$

б) $4cos(840°) - 4\sqrt{3}sin(660°) + ctg^2(30°)$

Для решения данного выражения воспользуемся периодичностью тригонометрических функций и формулами приведения, а также табличными значениями.

Период синуса и косинуса равен $360°$.

1. Упростим $cos(840°)$:

$840° = 2 \cdot 360° + 120°$

Следовательно, $cos(840°) = cos(120°)$.

$cos(120°) = cos(180° - 60°) = -cos(60°) = -\frac{1}{2}$

2. Упростим $sin(660°)$:

$660° = 2 \cdot 360° - 60° = 720° - 60°$

Следовательно, $sin(660°) = sin(-60°) = -sin(60°) = -\frac{\sqrt{3}}{2}$

3. Найдем значение $ctg^2(30°)$:

$ctg(30°) = \sqrt{3}$

$ctg^2(30°) = (\sqrt{3})^2 = 3$

4. Подставим все найденные значения в исходное выражение:

$4cos(840°) - 4\sqrt{3}sin(660°) + ctg^2(30°) = 4 \cdot (-\frac{1}{2}) - 4\sqrt{3} \cdot (-\frac{\sqrt{3}}{2}) + 3$

$= -2 - (-\frac{4\sqrt{3} \cdot \sqrt{3}}{2}) + 3 = -2 - (-\frac{4 \cdot 3}{2}) + 3 = -2 - (-\frac{12}{2}) + 3$

$= -2 - (-6) + 3 = -2 + 6 + 3 = 7$

Ответ: б) 7

Помогло решение? Оставьте отзыв в комментариях ниже.

Присоединяйтесь к Телеграм-группе @gdz_by_belarus

Присоединиться

Мы подготовили для вас ответ c подробным объяснением домашего задания по алгебре за 10 класс, для упражнения номер 1.394 расположенного на странице 127 к учебнику 2019 года издания для учащихся школ и гимназий.

Теперь на нашем сайте ГДЗ.ТОП вы всегда легко и бесплатно найдёте условие с правильным ответом на вопрос «Как решить ДЗ» и «Как сделать» задание по алгебре к упражнению №1.394 (с. 127), авторов: Арефьева (Ирина Глебовна), Пирютко (Ольга Николаевна), учебного пособия издательства Народная асвета.