Номер 1.423, страница 137 - гдз по алгебре 10 класс учебник Арефьева, Пирютко

Алгебра, 10 класс Учебник, авторы: Арефьева Ирина Глебовна, Пирютко Ольга Николаевна, издательство Народная асвета, Минск, 2019, голубого цвета

Авторы: Арефьева И. Г., Пирютко О. Н.

Тип: Учебник

Издательство: Народная асвета

Год издания: 2019 - 2026

Цвет обложки: голубой с графиком

Допущено Министерством образования Республики Беларусь

Популярные ГДЗ в 10 классе

Глава 1. Тригонометрия. Параграф 10. Синус, косинус, тангенс суммы и разности - номер 1.423, страница 137.

№1.423 (с. 137)
Условие. №1.423 (с. 137)
скриншот условия
Алгебра, 10 класс Учебник, авторы: Арефьева Ирина Глебовна, Пирютко Ольга Николаевна, издательство Народная асвета, Минск, 2019, голубого цвета, страница 137, номер 1.423, Условие

1.423. Решите уравнение:

а) $\sin 5x \sin \left(\frac{\pi}{2} - 4x\right) - \cos 5x \sin 4x = 1;$

б) $\cos \left(2x + \frac{\pi}{4}\right) \cos x + \sin \left(2x + \frac{\pi}{4}\right) \sin x = \frac{\sqrt{2}}{2};$

в) $\sin 6x \cos x - \sin \left(\frac{\pi}{2} + 6x\right) \sin x = 1;$

г) $\cos \frac{7x}{9} \cos \frac{10x}{9} - \cos \left(\frac{3\pi}{2} - \frac{7x}{9}\right) \sin \frac{10x}{9} = \frac{\sqrt{3}}{2}.$

Решение. №1.423 (с. 137)
Алгебра, 10 класс Учебник, авторы: Арефьева Ирина Глебовна, Пирютко Ольга Николаевна, издательство Народная асвета, Минск, 2019, голубого цвета, страница 137, номер 1.423, Решение Алгебра, 10 класс Учебник, авторы: Арефьева Ирина Глебовна, Пирютко Ольга Николаевна, издательство Народная асвета, Минск, 2019, голубого цвета, страница 137, номер 1.423, Решение (продолжение 2)
Решение 2. №1.423 (с. 137)

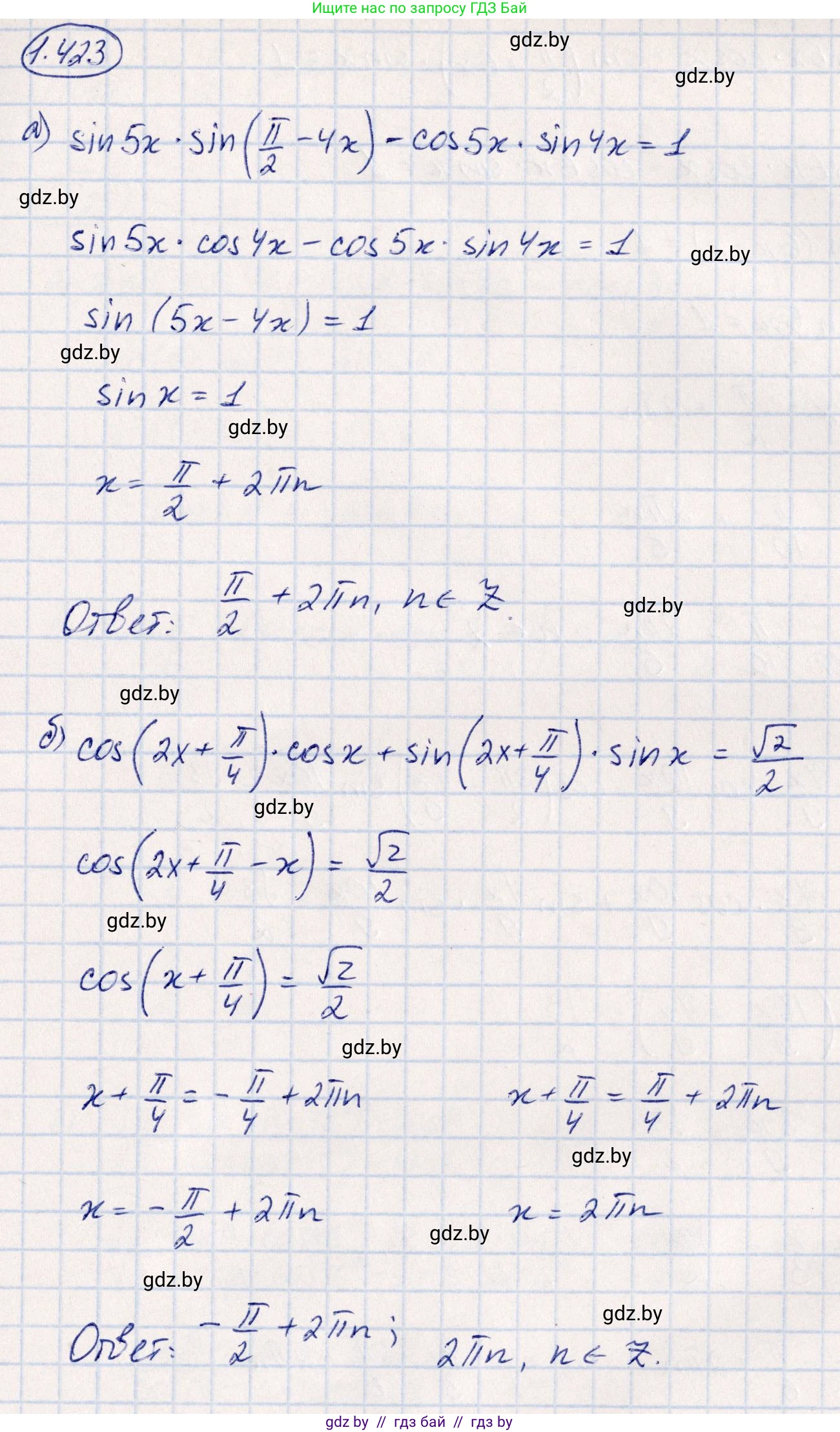
а) Исходное уравнение:

$$ \sin 5x \sin\left(\frac{\pi}{2} - 4x\right) - \cos 5x \sin 4x = 1 $$

Используем формулу приведения $ \sin\left(\frac{\pi}{2} - \alpha\right) = \cos \alpha $. Применив ее к $ \sin\left(\frac{\pi}{2} - 4x\right) $, получим $ \cos 4x $.

Уравнение принимает вид:

$$ \sin 5x \cos 4x - \cos 5x \sin 4x = 1 $$

Левая часть уравнения представляет собой формулу синуса разности двух углов: $ \sin(A - B) = \sin A \cos B - \cos A \sin B $.

В нашем случае $ A = 5x $ и $ B = 4x $. Таким образом, уравнение сворачивается в:

$$ \sin(5x - 4x) = 1 $$

$$ \sin x = 1 $$

Это простейшее тригонометрическое уравнение, решением которого является:

$$ x = \frac{\pi}{2} + 2\pi n, \text{ где } n \in Z $$

Ответ: $ x = \frac{\pi}{2} + 2\pi n, n \in Z $.

б) Исходное уравнение:

$$ \cos\left(2x + \frac{\pi}{4}\right)\cos x + \sin\left(2x + \frac{\pi}{4}\right)\sin x = \frac{\sqrt{2}}{2} $$

Левая часть уравнения соответствует формуле косинуса разности: $ \cos(A - B) = \cos A \cos B + \sin A \sin B $.

Здесь $ A = 2x + \frac{\pi}{4} $ и $ B = x $. Применяем формулу:

$$ \cos\left(\left(2x + \frac{\pi}{4}\right) - x\right) = \frac{\sqrt{2}}{2} $$

$$ \cos\left(x + \frac{\pi}{4}\right) = \frac{\sqrt{2}}{2} $$

Решаем это уравнение. Общее решение для $ \cos y = a $ имеет вид $ y = \pm \arccos(a) + 2\pi k $.

$$ x + \frac{\pi}{4} = \pm \arccos\left(\frac{\sqrt{2}}{2}\right) + 2\pi k, \text{ где } k \in Z $$

Поскольку $ \arccos\left(\frac{\sqrt{2}}{2}\right) = \frac{\pi}{4} $, получаем:

$$ x + \frac{\pi}{4} = \pm \frac{\pi}{4} + 2\pi k $$

Рассмотрим два случая:

1) Со знаком "плюс":

$$ x + \frac{\pi}{4} = \frac{\pi}{4} + 2\pi k $$

$$ x = 2\pi k $$

2) Со знаком "минус":

$$ x + \frac{\pi}{4} = -\frac{\pi}{4} + 2\pi k $$

$$ x = -\frac{\pi}{4} - \frac{\pi}{4} + 2\pi k = -\frac{2\pi}{4} + 2\pi k = -\frac{\pi}{2} + 2\pi k $$

Ответ: $ x = 2\pi k $; $ x = -\frac{\pi}{2} + 2\pi k, k \in Z $.

в) Исходное уравнение:

$$ \sin 6x \cos x - \sin\left(\frac{\pi}{2} + 6x\right)\sin x = 1 $$

Применим формулу приведения $ \sin\left(\frac{\pi}{2} + \alpha\right) = \cos \alpha $. Для $ \alpha = 6x $ получаем $ \sin\left(\frac{\pi}{2} + 6x\right) = \cos 6x $.

Уравнение преобразуется к виду:

$$ \sin 6x \cos x - \cos 6x \sin x = 1 $$

Снова используем формулу синуса разности $ \sin(A - B) = \sin A \cos B - \cos A \sin B $, где $ A = 6x $ и $ B = x $.

$$ \sin(6x - x) = 1 $$

$$ \sin 5x = 1 $$

Решение этого уравнения:

$$ 5x = \frac{\pi}{2} + 2\pi n, \text{ где } n \in Z $$

Разделим обе части на 5, чтобы найти x:

$$ x = \frac{\pi}{10} + \frac{2\pi n}{5} $$

Ответ: $ x = \frac{\pi}{10} + \frac{2\pi n}{5}, n \in Z $.

г) Исходное уравнение:

$$ \cos \frac{7x}{9} \cos \frac{10x}{9} - \cos\left(\frac{3\pi}{2} - \frac{7x}{9}\right)\sin \frac{10x}{9} = \frac{\sqrt{3}}{2} $$

Используем формулу приведения $ \cos\left(\frac{3\pi}{2} - \alpha\right) = -\sin \alpha $. При $ \alpha = \frac{7x}{9} $, имеем $ \cos\left(\frac{3\pi}{2} - \frac{7x}{9}\right) = -\sin \frac{7x}{9} $.

Подставляем в уравнение:

$$ \cos \frac{7x}{9} \cos \frac{10x}{9} - \left(-\sin \frac{7x}{9}\right)\sin \frac{10x}{9} = \frac{\sqrt{3}}{2} $$

$$ \cos \frac{7x}{9} \cos \frac{10x}{9} + \sin \frac{7x}{9}\sin \frac{10x}{9} = \frac{\sqrt{3}}{2} $$

Левая часть является формулой косинуса разности $ \cos(A - B) = \cos A \cos B + \sin A \sin B $. Возьмем $ A = \frac{10x}{9} $ и $ B = \frac{7x}{9} $.

$$ \cos\left(\frac{10x}{9} - \frac{7x}{9}\right) = \frac{\sqrt{3}}{2} $$

$$ \cos\left(\frac{3x}{9}\right) = \frac{\sqrt{3}}{2} $$

$$ \cos\left(\frac{x}{3}\right) = \frac{\sqrt{3}}{2} $$

Решаем простейшее уравнение:

$$ \frac{x}{3} = \pm \arccos\left(\frac{\sqrt{3}}{2}\right) + 2\pi k, \text{ где } k \in Z $$

Так как $ \arccos\left(\frac{\sqrt{3}}{2}\right) = \frac{\pi}{6} $, получаем:

$$ \frac{x}{3} = \pm \frac{\pi}{6} + 2\pi k $$

Умножаем обе части на 3:

$$ x = \pm \frac{3\pi}{6} + 6\pi k $$

$$ x = \pm \frac{\pi}{2} + 6\pi k $$

Ответ: $ x = \pm \frac{\pi}{2} + 6\pi k, k \in Z $.

Помогло решение? Оставьте отзыв в комментариях ниже.

Присоединяйтесь к Телеграм-группе @gdz_by_belarus

Присоединиться

Мы подготовили для вас ответ c подробным объяснением домашего задания по алгебре за 10 класс, для упражнения номер 1.423 расположенного на странице 137 к учебнику 2019 года издания для учащихся школ и гимназий.

Теперь на нашем сайте ГДЗ.ТОП вы всегда легко и бесплатно найдёте условие с правильным ответом на вопрос «Как решить ДЗ» и «Как сделать» задание по алгебре к упражнению №1.423 (с. 137), авторов: Арефьева (Ирина Глебовна), Пирютко (Ольга Николаевна), учебного пособия издательства Народная асвета.