Номер 1.417, страница 137 - гдз по алгебре 10 класс учебник Арефьева, Пирютко

Алгебра, 10 класс Учебник, авторы: Арефьева Ирина Глебовна, Пирютко Ольга Николаевна, издательство Народная асвета, Минск, 2019, голубого цвета

Авторы: Арефьева И. Г., Пирютко О. Н.

Тип: Учебник

Издательство: Народная асвета

Год издания: 2019 - 2026

Цвет обложки: голубой с графиком

Допущено Министерством образования Республики Беларусь

Глава 1. Тригонометрия. Параграф 10. Синус, косинус, тангенс суммы и разности - номер 1.417, страница 137.

№1.417 (с. 137)
Условие. №1.417 (с. 137)
скриншот условия
Алгебра, 10 класс Учебник, авторы: Арефьева Ирина Глебовна, Пирютко Ольга Николаевна, издательство Народная асвета, Минск, 2019, голубого цвета, страница 137, номер 1.417, Условие

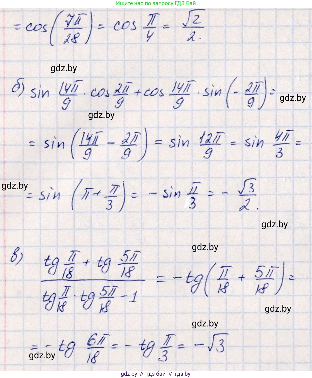
1.417. Вычислите, преобразуя выражение с помощью формул сложения:

a) $\cos \frac{\pi}{14}\cos \frac{5\pi}{28} - \sin \frac{\pi}{14}\sin \frac{5\pi}{28};$

б) $\sin \frac{14\pi}{9}\cos \frac{2\pi}{9} + \cos \frac{14\pi}{9}\sin\left(-\frac{2\pi}{9}\right);$

В) $\frac{\text{tg } \frac{\pi}{18} + \text{tg } \frac{5\pi}{18}}{\text{tg } \frac{\pi}{18}\text{tg } \frac{5\pi}{18} - 1}.$

Решение. №1.417 (с. 137)
Алгебра, 10 класс Учебник, авторы: Арефьева Ирина Глебовна, Пирютко Ольга Николаевна, издательство Народная асвета, Минск, 2019, голубого цвета, страница 137, номер 1.417, Решение Алгебра, 10 класс Учебник, авторы: Арефьева Ирина Глебовна, Пирютко Ольга Николаевна, издательство Народная асвета, Минск, 2019, голубого цвета, страница 137, номер 1.417, Решение (продолжение 2)
Решение 2. №1.417 (с. 137)

a) Исходное выражение имеет вид $\cos\alpha\cos\beta - \sin\alpha\sin\beta$, что соответствует формуле косинуса суммы $\cos(\alpha + \beta)$.
В данном случае $\alpha = \frac{\pi}{14}$ и $\beta = \frac{5\pi}{28}$.
Применяем формулу сложения:
$\cos\frac{\pi}{14}\cos\frac{5\pi}{28} - \sin\frac{\pi}{14}\sin\frac{5\pi}{28} = \cos\left(\frac{\pi}{14} + \frac{5\pi}{28}\right)$.
Выполним сложение в аргументе косинуса, приведя дроби к общему знаменателю 28:
$\frac{\pi}{14} + \frac{5\pi}{28} = \frac{2\pi}{28} + \frac{5\pi}{28} = \frac{7\pi}{28} = \frac{\pi}{4}$.
Теперь вычислим значение косинуса:
$\cos\left(\frac{\pi}{4}\right) = \frac{\sqrt{2}}{2}$.
Ответ: $\frac{\sqrt{2}}{2}$.

б) Сначала преобразуем выражение, используя свойство нечетности синуса: $\sin(-x) = -\sin(x)$.
$\sin\frac{14\pi}{9}\cos\frac{2\pi}{9} + \cos\frac{14\pi}{9}\sin\left(-\frac{2\pi}{9}\right) = \sin\frac{14\pi}{9}\cos\frac{2\pi}{9} - \cos\frac{14\pi}{9}\sin\frac{2\pi}{9}$.
Полученное выражение имеет вид $\sin\alpha\cos\beta - \cos\alpha\sin\beta$, что соответствует формуле синуса разности $\sin(\alpha - \beta)$.
Здесь $\alpha = \frac{14\pi}{9}$ и $\beta = \frac{2\pi}{9}$.
Применяем формулу сложения:
$\sin\left(\frac{14\pi}{9} - \frac{2\pi}{9}\right) = \sin\left(\frac{12\pi}{9}\right) = \sin\left(\frac{4\pi}{3}\right)$.
Для вычисления значения представим угол в виде суммы $\frac{4\pi}{3} = \pi + \frac{\pi}{3}$.
Используя формулу приведения $\sin(\pi + x) = -\sin(x)$, получаем:
$\sin\left(\pi + \frac{\pi}{3}\right) = -\sin\left(\frac{\pi}{3}\right) = -\frac{\sqrt{3}}{2}$.
Ответ: $-\frac{\sqrt{3}}{2}$.

в) Исходное выражение: $\frac{\tg\frac{\pi}{18} + \tg\frac{5\pi}{18}}{\tg\frac{\pi}{18}\tg\frac{5\pi}{18} - 1}$.
Формула тангенса суммы имеет вид: $\tg(\alpha + \beta) = \frac{\tg\alpha + \tg\beta}{1 - \tg\alpha\tg\beta}$.
Заметим, что знаменатель в исходном выражении является противоположным по знаку знаменателю в формуле тангенса суммы. Вынесем минус за скобки в знаменателе:
$\frac{\tg\frac{\pi}{18} + \tg\frac{5\pi}{18}}{-(\left(1 - \tg\frac{\pi}{18}\tg\frac{5\pi}{18}\right))} = -\frac{\tg\frac{\pi}{18} + \tg\frac{5\pi}{18}}{1 - \tg\frac{\pi}{18}\tg\frac{5\pi}{18}}$.
Теперь выражение после знака "минус" полностью соответствует формуле тангенса суммы, где $\alpha = \frac{\pi}{18}$ и $\beta = \frac{5\pi}{18}$.
Получаем: $-\tg\left(\frac{\pi}{18} + \frac{5\pi}{18}\right) = -\tg\left(\frac{6\pi}{18}\right) = -\tg\left(\frac{\pi}{3}\right)$.
Вычислим значение тангенса:
$-\tg\left(\frac{\pi}{3}\right) = -\sqrt{3}$.
Ответ: $-\sqrt{3}$.

Помогло решение? Оставьте отзыв в комментариях ниже.

Присоединяйтесь к Телеграм-группе @gdz_by_belarus

Присоединиться

Мы подготовили для вас ответ c подробным объяснением домашего задания по алгебре за 10 класс, для упражнения номер 1.417 расположенного на странице 137 к учебнику 2019 года издания для учащихся школ и гимназий.

Теперь на нашем сайте ГДЗ.ТОП вы всегда легко и бесплатно найдёте условие с правильным ответом на вопрос «Как решить ДЗ» и «Как сделать» задание по алгебре к упражнению №1.417 (с. 137), авторов: Арефьева (Ирина Глебовна), Пирютко (Ольга Николаевна), учебного пособия издательства Народная асвета.