Номер 1.515, страница 152 - гдз по алгебре 10 класс учебник Арефьева, Пирютко

Алгебра, 10 класс Учебник, авторы: Арефьева Ирина Глебовна, Пирютко Ольга Николаевна, издательство Народная асвета, Минск, 2019, голубого цвета

Авторы: Арефьева И. Г., Пирютко О. Н.

Тип: Учебник

Издательство: Народная асвета

Год издания: 2019 - 2026

Цвет обложки: голубой с графиком

Допущено Министерством образования Республики Беларусь

Глава 1. Тригонометрия. Параграф 11. Формулы двойного аргумента - номер 1.515, страница 152.

№1.515 (с. 152)
Условие. №1.515 (с. 152)
скриншот условия
Алгебра, 10 класс Учебник, авторы: Арефьева Ирина Глебовна, Пирютко Ольга Николаевна, издательство Народная асвета, Минск, 2019, голубого цвета, страница 152, номер 1.515, Условие

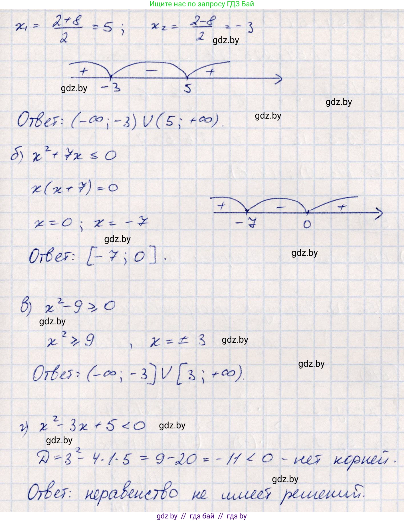
1.515. Решите квадратное неравенство:

а) $x^2 - 2x - 15 > 0;$

б) $x^2 + 7x \le 0;$

в) $x^2 - 9 \ge 0;$

г) $x^2 - 3x + 5 < 0.$

Решение. №1.515 (с. 152)
Алгебра, 10 класс Учебник, авторы: Арефьева Ирина Глебовна, Пирютко Ольга Николаевна, издательство Народная асвета, Минск, 2019, голубого цвета, страница 152, номер 1.515, Решение Алгебра, 10 класс Учебник, авторы: Арефьева Ирина Глебовна, Пирютко Ольга Николаевна, издательство Народная асвета, Минск, 2019, голубого цвета, страница 152, номер 1.515, Решение (продолжение 2)
Решение 2. №1.515 (с. 152)

Для решения квадратного неравенства необходимо сначала найти корни соответствующего квадратного уравнения. Затем, зная направление ветвей параболы, определить интервалы, на которых неравенство выполняется.

а) $x^2 - 2x - 15 > 0$

1. Найдем корни квадратного уравнения $x^2 - 2x - 15 = 0$.

Используем формулу для нахождения корней через дискриминант $D = b^2 - 4ac$:

$D = (-2)^2 - 4 \cdot 1 \cdot (-15) = 4 + 60 = 64 = 8^2$

Корни уравнения:

$x_1 = \frac{-b - \sqrt{D}}{2a} = \frac{2 - 8}{2 \cdot 1} = \frac{-6}{2} = -3$

$x_2 = \frac{-b + \sqrt{D}}{2a} = \frac{2 + 8}{2 \cdot 1} = \frac{10}{2} = 5$

2. Графиком функции $y = x^2 - 2x - 15$ является парабола, ветви которой направлены вверх (так как коэффициент при $x^2$ равен 1, что больше нуля). Парабола пересекает ось Ox в точках $x = -3$ и $x = 5$.

3. Неравенство $x^2 - 2x - 15 > 0$ означает, что мы ищем значения $x$, при которых парабола находится выше оси Ox. Это происходит на интервалах левее меньшего корня и правее большего корня.

Так как неравенство строгое (>), точки $x = -3$ и $x = 5$ не включаются в решение.

Ответ: $x \in (-\infty; -3) \cup (5; +\infty)$.

б) $x^2 + 7x \le 0$

1. Найдем корни неполного квадратного уравнения $x^2 + 7x = 0$.

Вынесем $x$ за скобки:

$x(x + 7) = 0$

Отсюда корни: $x_1 = 0$ и $x_2 = -7$.

2. Графиком функции $y = x^2 + 7x$ является парабола, ветви которой направлены вверх (коэффициент при $x^2$ равен 1 > 0). Парабола пересекает ось Ox в точках $x = -7$ и $x = 0$.

3. Неравенство $x^2 + 7x \le 0$ означает, что мы ищем значения $x$, при которых парабола находится ниже оси Ox или на ней. Это происходит на интервале между корнями.

Так как неравенство нестрогое ($\le$), точки $x = -7$ и $x = 0$ включаются в решение.

Ответ: $x \in [-7; 0]$.

в) $x^2 - 9 \ge 0$

1. Найдем корни уравнения $x^2 - 9 = 0$.

Это разность квадратов: $(x - 3)(x + 3) = 0$.

Корни уравнения: $x_1 = -3$ и $x_2 = 3$.

2. Графиком функции $y = x^2 - 9$ является парабола, ветви которой направлены вверх (коэффициент при $x^2$ равен 1 > 0). Парабола пересекает ось Ox в точках $x = -3$ и $x = 3$.

3. Неравенство $x^2 - 9 \ge 0$ означает, что мы ищем значения $x$, при которых парабола находится выше оси Ox или на ней. Это происходит на интервалах левее меньшего корня и правее большего корня.

Так как неравенство нестрогое ($\ge$), точки $x = -3$ и $x = 3$ включаются в решение.

Ответ: $x \in (-\infty; -3] \cup [3; +\infty)$.

г) $x^2 - 3x + 5 < 0$

1. Найдем корни квадратного уравнения $x^2 - 3x + 5 = 0$.

Вычислим дискриминант $D = b^2 - 4ac$:

$D = (-3)^2 - 4 \cdot 1 \cdot 5 = 9 - 20 = -11$

2. Так как дискриминант $D < 0$, квадратное уравнение не имеет действительных корней. Это означает, что парабола $y = x^2 - 3x + 5$ не пересекает ось Ox.

3. Коэффициент при $x^2$ равен 1 (больше нуля), следовательно, ветви параболы направлены вверх. Поскольку парабола не пересекает ось Ox и ее ветви направлены вверх, она полностью расположена в верхней полуплоскости, то есть значения функции $y = x^2 - 3x + 5$ всегда положительны при любом значении $x$.

4. Неравенство $x^2 - 3x + 5 < 0$ требует найти значения $x$, при которых выражение отрицательно. Так как выражение всегда положительно, таких значений $x$ не существует.

Ответ: решений нет (или $x \in \emptyset$).

Помогло решение? Оставьте отзыв в комментариях ниже.

Присоединяйтесь к Телеграм-группе @gdz_by_belarus

Присоединиться

Мы подготовили для вас ответ c подробным объяснением домашего задания по алгебре за 10 класс, для упражнения номер 1.515 расположенного на странице 152 к учебнику 2019 года издания для учащихся школ и гимназий.

Теперь на нашем сайте ГДЗ.ТОП вы всегда легко и бесплатно найдёте условие с правильным ответом на вопрос «Как решить ДЗ» и «Как сделать» задание по алгебре к упражнению №1.515 (с. 152), авторов: Арефьева (Ирина Глебовна), Пирютко (Ольга Николаевна), учебного пособия издательства Народная асвета.