Номер 2.117, страница 186 - гдз по алгебре 10 класс учебник Арефьева, Пирютко

Алгебра, 10 класс Учебник, авторы: Арефьева Ирина Глебовна, Пирютко Ольга Николаевна, издательство Народная асвета, Минск, 2019, голубого цвета

Авторы: Арефьева И. Г., Пирютко О. Н.

Тип: Учебник

Издательство: Народная асвета

Год издания: 2019 - 2026

Цвет обложки: голубой с графиком

Допущено Министерством образования Республики Беларусь

Популярные ГДЗ в 10 классе

Глава 2. Корень n-й степени из числа. Параграф 15. Применение свойств корней n-й степени для преобразования выражений - номер 2.117, страница 186.

№2.117 (с. 186)
Условие. №2.117 (с. 186)
скриншот условия
Алгебра, 10 класс Учебник, авторы: Арефьева Ирина Глебовна, Пирютко Ольга Николаевна, издательство Народная асвета, Минск, 2019, голубого цвета, страница 186, номер 2.117, Условие

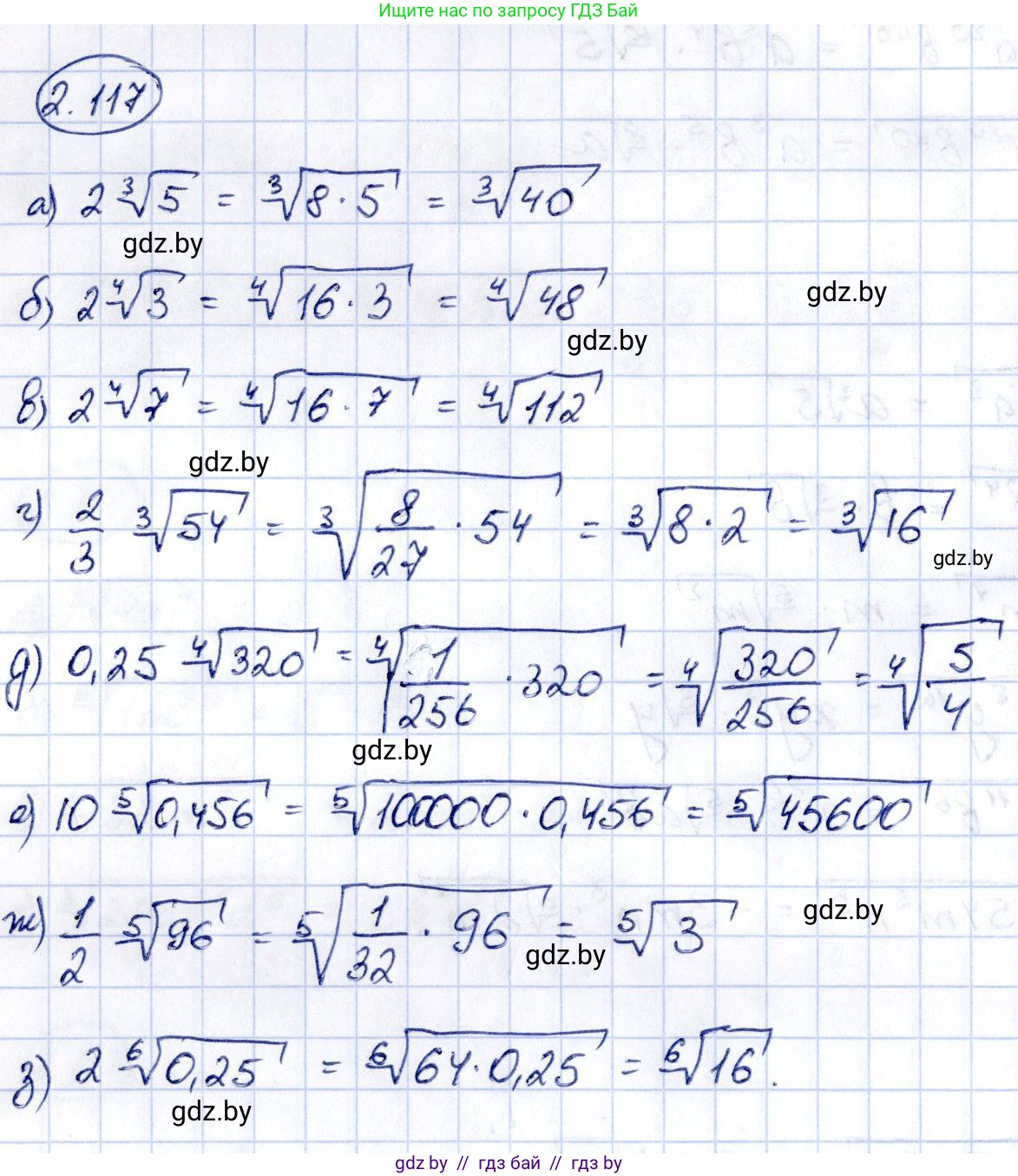
2.117. Пользуясь алгоритмом, внесите множитель под знак корня:

а) $2\sqrt[3]{5}$;

б) $2\sqrt[4]{3}$;

в) $2\sqrt[4]{7}$;

г) $\frac{2}{3}\sqrt[3]{54}$;

д) $0,25\sqrt[4]{320}$;

е) $10\sqrt[5]{0,456}$;

ж) $\frac{1}{2}\sqrt[5]{96}$;

з) $2\sqrt[6]{0,25}$.

Решение. №2.117 (с. 186)
Алгебра, 10 класс Учебник, авторы: Арефьева Ирина Глебовна, Пирютко Ольга Николаевна, издательство Народная асвета, Минск, 2019, голубого цвета, страница 186, номер 2.117, Решение
Решение 2. №2.117 (с. 186)

Для внесения множителя под знак корня используется следующий алгоритм: чтобы внести положительный множитель $a$ под знак корня n-й степени, необходимо возвести этот множитель в степень $n$ и умножить на подкоренное выражение $b$. Все выражение записывается под знаком корня.

Формула для внесения множителя под знак корня: $a \cdot \sqrt[n]{b} = \sqrt[n]{a^n \cdot b}$, где $a \ge 0$.

а) $2\sqrt[3]{5}$
Вносим множитель 2 под знак кубического корня. Для этого возводим 2 в 3-ю степень и умножаем на подкоренное выражение:
$2\sqrt[3]{5} = \sqrt[3]{2^3 \cdot 5} = \sqrt[3]{8 \cdot 5} = \sqrt[3]{40}$.
Ответ: $\sqrt[3]{40}$.

б) $2\sqrt[4]{3}$
Вносим множитель 2 под знак корня 4-й степени, возведя его в 4-ю степень:
$2\sqrt[4]{3} = \sqrt[4]{2^4 \cdot 3} = \sqrt[4]{16 \cdot 3} = \sqrt[4]{48}$.
Ответ: $\sqrt[4]{48}$.

в) $2\sqrt[4]{7}$
Вносим множитель 2 под знак корня 4-й степени, возведя его в 4-ю степень:
$2\sqrt[4]{7} = \sqrt[4]{2^4 \cdot 7} = \sqrt[4]{16 \cdot 7} = \sqrt[4]{112}$.
Ответ: $\sqrt[4]{112}$.

г) $\frac{2}{3}\sqrt[3]{54}$
Вносим дробный множитель $\frac{2}{3}$ под знак кубического корня, возведя его в 3-ю степень:
$\frac{2}{3}\sqrt[3]{54} = \sqrt[3]{(\frac{2}{3})^3 \cdot 54} = \sqrt[3]{\frac{8}{27} \cdot 54} = \sqrt[3]{8 \cdot \frac{54}{27}} = \sqrt[3]{8 \cdot 2} = \sqrt[3]{16}$.
Ответ: $\sqrt[3]{16}$.

д) $0,25\sqrt[4]{320}$
Сначала представим десятичный множитель 0,25 в виде обыкновенной дроби: $0,25 = \frac{1}{4}$. Затем внесем его под знак корня 4-й степени:
$\frac{1}{4}\sqrt[4]{320} = \sqrt[4]{(\frac{1}{4})^4 \cdot 320} = \sqrt[4]{\frac{1}{256} \cdot 320} = \sqrt[4]{\frac{320}{256}}$.
Сократим подкоренную дробь: $\frac{320}{256} = \frac{5 \cdot 64}{4 \cdot 64} = \frac{5}{4}$.
Так как дробь $\frac{5}{4}$ неправильная, выделим из нее целую часть: $\frac{5}{4} = 1\frac{1}{4}$.
Ответ: $\sqrt[4]{\mathbf{1}\frac{1}{4}}$.

е) $10\sqrt[5]{0,456}$
Вносим множитель 10 под знак корня 5-й степени:
$10\sqrt[5]{0,456} = \sqrt[5]{10^5 \cdot 0,456} = \sqrt[5]{100000 \cdot 0,456} = \sqrt[5]{45600}$.
Ответ: $\sqrt[5]{45600}$.

ж) $\frac{1}{2}\sqrt[5]{96}$
Вносим множитель $\frac{1}{2}$ под знак корня 5-й степени:
$\frac{1}{2}\sqrt[5]{96} = \sqrt[5]{(\frac{1}{2})^5 \cdot 96} = \sqrt[5]{\frac{1}{32} \cdot 96} = \sqrt[5]{\frac{96}{32}} = \sqrt[5]{3}$.
Ответ: $\sqrt[5]{3}$.

з) $2\sqrt[6]{0,25}$
Представим 0,25 в виде дроби $\frac{1}{4}$. Вносим множитель 2 под знак корня 6-й степени:
$2\sqrt[6]{0,25} = 2\sqrt[6]{\frac{1}{4}} = \sqrt[6]{2^6 \cdot \frac{1}{4}} = \sqrt[6]{64 \cdot \frac{1}{4}} = \sqrt[6]{\frac{64}{4}} = \sqrt[6]{16}$.
Ответ: $\sqrt[6]{16}$.

Помогло решение? Оставьте отзыв в комментариях ниже.

Присоединяйтесь к Телеграм-группе @gdz_by_belarus

Присоединиться

Мы подготовили для вас ответ c подробным объяснением домашего задания по алгебре за 10 класс, для упражнения номер 2.117 расположенного на странице 186 к учебнику 2019 года издания для учащихся школ и гимназий.

Теперь на нашем сайте ГДЗ.ТОП вы всегда легко и бесплатно найдёте условие с правильным ответом на вопрос «Как решить ДЗ» и «Как сделать» задание по алгебре к упражнению №2.117 (с. 186), авторов: Арефьева (Ирина Глебовна), Пирютко (Ольга Николаевна), учебного пособия издательства Народная асвета.