Номер 2.174, страница 191 - гдз по алгебре 10 класс учебник Арефьева, Пирютко

Алгебра, 10 класс Учебник, авторы: Арефьева Ирина Глебовна, Пирютко Ольга Николаевна, издательство Народная асвета, Минск, 2019, голубого цвета

Авторы: Арефьева И. Г., Пирютко О. Н.

Тип: Учебник

Издательство: Народная асвета

Год издания: 2019 - 2026

Цвет обложки: голубой с графиком

Допущено Министерством образования Республики Беларусь

Популярные ГДЗ в 10 классе

Глава 2. Корень n-й степени из числа. Параграф 15. Применение свойств корней n-й степени для преобразования выражений - номер 2.174, страница 191.

№2.174 (с. 191)
Условие. №2.174 (с. 191)
скриншот условия
Алгебра, 10 класс Учебник, авторы: Арефьева Ирина Глебовна, Пирютко Ольга Николаевна, издательство Народная асвета, Минск, 2019, голубого цвета, страница 191, номер 2.174, Условие

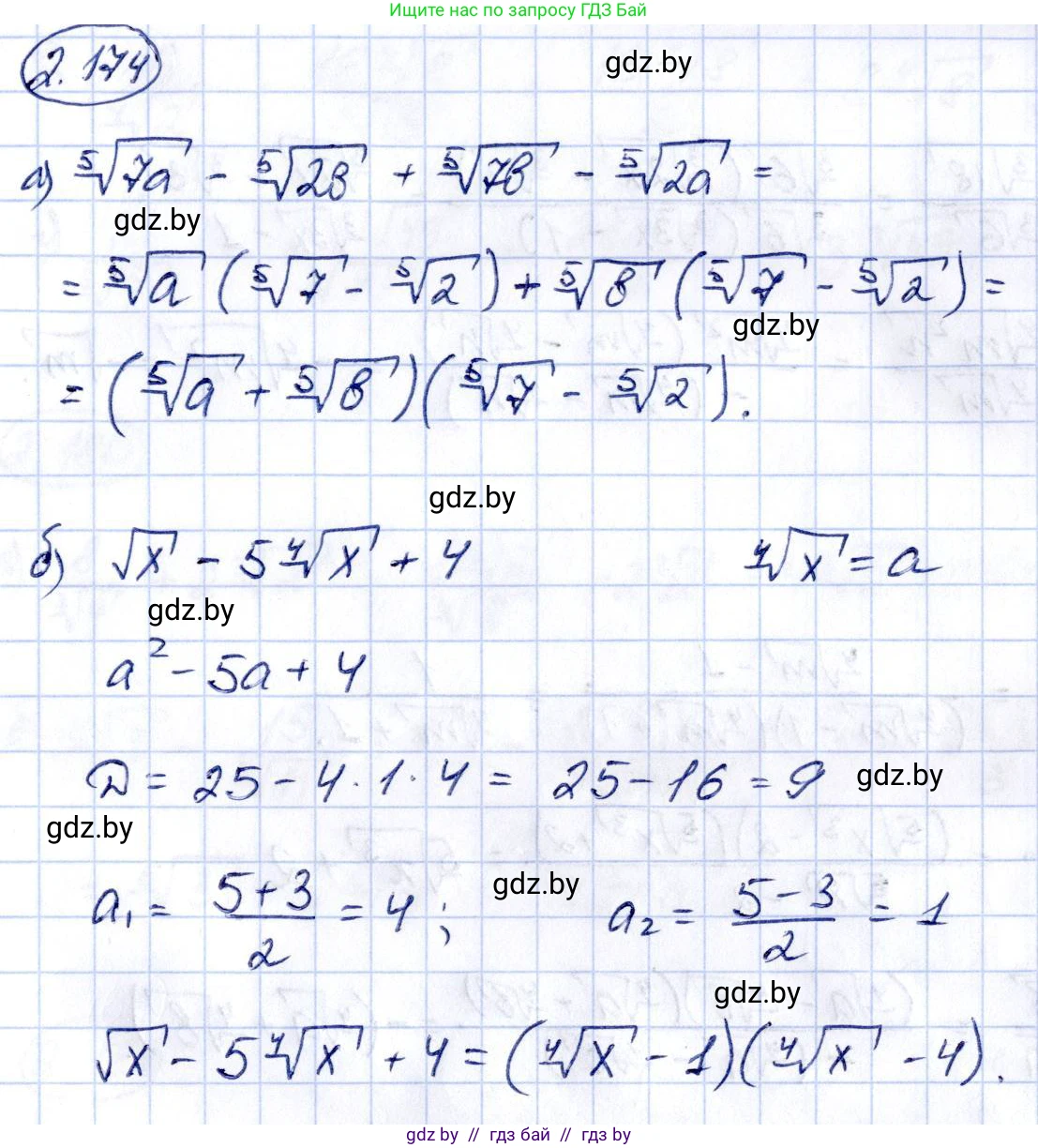
2.174. Представьте в виде произведения:

а) $ \sqrt[5]{7a} - \sqrt[5]{2b} + \sqrt[5]{7b} - \sqrt[5]{2a} $;

б) $ \sqrt{x} - 5\sqrt[4]{x} + 4 $.

Решение. №2.174 (с. 191)
Алгебра, 10 класс Учебник, авторы: Арефьева Ирина Глебовна, Пирютко Ольга Николаевна, издательство Народная асвета, Минск, 2019, голубого цвета, страница 191, номер 2.174, Решение
Решение 2. №2.174 (с. 191)

a) Чтобы представить выражение $\sqrt[5]{7a} - \sqrt[5]{2b} + \sqrt[5]{7b} - \sqrt[5]{2a}$ в виде произведения, применим метод группировки. Сгруппируем слагаемые, содержащие одинаковые переменные ($a$ и $b$):
$(\sqrt[5]{7a} - \sqrt[5]{2a}) + (\sqrt[5]{7b} - \sqrt[5]{2b})$
Используя свойство корня $\sqrt[n]{xy} = \sqrt[n]{x}\sqrt[n]{y}$, вынесем общие множители из каждой группы. Из первой группы вынесем $\sqrt[5]{a}$, а из второй — $\sqrt[5]{b}$:
$\sqrt[5]{a}(\sqrt[5]{7} - \sqrt[5]{2}) + \sqrt[5]{b}(\sqrt[5]{7} - \sqrt[5]{2})$
Теперь можно вынести за скобки общий множитель $(\sqrt[5]{7} - \sqrt[5]{2})$:
$(\sqrt[5]{a} + \sqrt[5]{b})(\sqrt[5]{7} - \sqrt[5]{2})$
Ответ: $(\sqrt[5]{a} + \sqrt[5]{b})(\sqrt[5]{7} - \sqrt[5]{2})$

б) Рассмотрим выражение $\sqrt{x} - 5\sqrt[4]{x} + 4$. Заметим, что $\sqrt{x} = (\sqrt[4]{x})^2$, поэтому это выражение можно рассматривать как квадратный трехчлен относительно $\sqrt[4]{x}$.
Сделаем замену переменной: пусть $y = \sqrt[4]{x}$. Тогда выражение примет вид:
$y^2 - 5y + 4$
Разложим этот квадратный трехчлен на множители. Корнями уравнения $y^2 - 5y + 4 = 0$ являются $y_1=1$ и $y_2=4$ (по теореме Виета). Таким образом, разложение имеет вид:
$(y - 1)(y - 4)$
Выполним обратную замену $y = \sqrt[4]{x}$:
$(\sqrt[4]{x} - 1)(\sqrt[4]{x} - 4)$
Каждый из полученных множителей можно, в свою очередь, разложить дальше, используя формулу разности квадратов $a^2 - b^2 = (a - b)(a + b)$.
Для первого множителя: $\sqrt[4]{x} - 1 = (\sqrt[8]{x})^2 - 1^2 = (\sqrt[8]{x} - 1)(\sqrt[8]{x} + 1)$
Для второго множителя: $\sqrt[4]{x} - 4 = (\sqrt[8]{x})^2 - 2^2 = (\sqrt[8]{x} - 2)(\sqrt[8]{x} + 2)$
Собрав все множители вместе, получаем окончательное разложение на множители:
$(\sqrt[8]{x} - 1)(\sqrt[8]{x} + 1)(\sqrt[8]{x} - 2)(\sqrt[8]{x} + 2)$
Ответ: $(\sqrt[8]{x} - 1)(\sqrt[8]{x} + 1)(\sqrt[8]{x} - 2)(\sqrt[8]{x} + 2)$

Помогло решение? Оставьте отзыв в комментариях ниже.

Присоединяйтесь к Телеграм-группе @gdz_by_belarus

Присоединиться

Мы подготовили для вас ответ c подробным объяснением домашего задания по алгебре за 10 класс, для упражнения номер 2.174 расположенного на странице 191 к учебнику 2019 года издания для учащихся школ и гимназий.

Теперь на нашем сайте ГДЗ.ТОП вы всегда легко и бесплатно найдёте условие с правильным ответом на вопрос «Как решить ДЗ» и «Как сделать» задание по алгебре к упражнению №2.174 (с. 191), авторов: Арефьева (Ирина Глебовна), Пирютко (Ольга Николаевна), учебного пособия издательства Народная асвета.