Номер 2.202, страница 199 - гдз по алгебре 10 класс учебник Арефьева, Пирютко

Алгебра, 10 класс Учебник, авторы: Арефьева Ирина Глебовна, Пирютко Ольга Николаевна, издательство Народная асвета, Минск, 2019, голубого цвета

Авторы: Арефьева И. Г., Пирютко О. Н.

Тип: Учебник

Издательство: Народная асвета

Год издания: 2019 - 2026

Цвет обложки: голубой с графиком

Допущено Министерством образования Республики Беларусь

Популярные ГДЗ в 10 классе

Глава 2. Корень n-й степени из числа. Параграф 16. Свойства и график функции y=n√x (n>1, n∈N) - номер 2.202, страница 199.

№2.202 (с. 199)
Условие. №2.202 (с. 199)
скриншот условия
Алгебра, 10 класс Учебник, авторы: Арефьева Ирина Глебовна, Пирютко Ольга Николаевна, издательство Народная асвета, Минск, 2019, голубого цвета, страница 199, номер 2.202, Условие

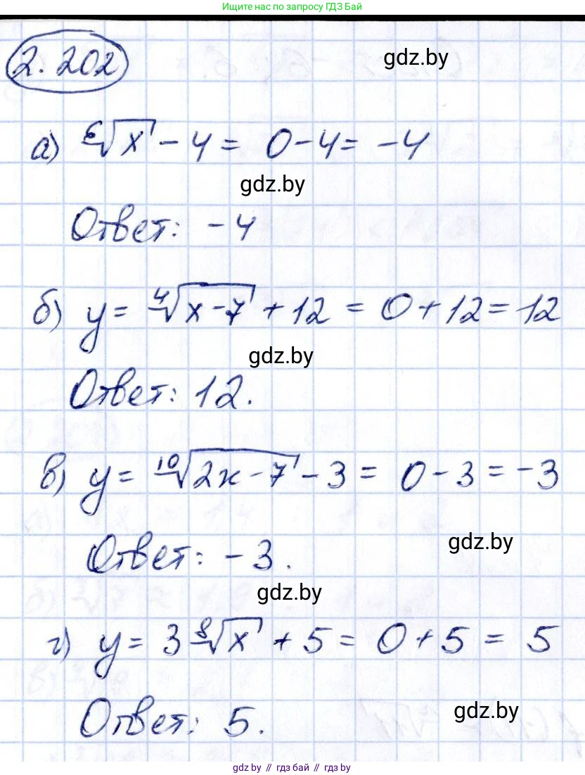
2.202. Найдите наименьшее значение функции:

а) $f(x) = \sqrt[6]{x - 4}$;

б) $f(x) = \sqrt[4]{x - 7} + 12$;

в) $f(x) = \sqrt[10]{2x - 7} - 3$;

г) $f(x) = 3\sqrt[8]{x} + 5$.

Решение. №2.202 (с. 199)
Алгебра, 10 класс Учебник, авторы: Арефьева Ирина Глебовна, Пирютко Ольга Николаевна, издательство Народная асвета, Минск, 2019, голубого цвета, страница 199, номер 2.202, Решение
Решение 2. №2.202 (с. 199)

а) Область определения функции $f(x) = \sqrt[6]{x} - 4$ задается условием $x \ge 0$, так как показатель корня (6) — четное число. Выражение $\sqrt[6]{x}$ всегда неотрицательно, то есть $\sqrt[6]{x} \ge 0$. Его наименьшее значение равно 0 и достигается при $x=0$. Следовательно, наименьшее значение всей функции составляет:
$f_{min} = 0 - 4 = -4$.
Ответ: -4.

б) Область определения функции $f(x) = \sqrt[4]{x-7} + 12$ задается условием $x-7 \ge 0$, то есть $x \ge 7$, так как показатель корня (4) — четное число. Выражение $\sqrt[4]{x-7}$ всегда неотрицательно, то есть $\sqrt[4]{x-7} \ge 0$. Его наименьшее значение равно 0 и достигается при $x=7$. Следовательно, наименьшее значение всей функции составляет:
$f_{min} = 0 + 12 = 12$.
Ответ: 12.

в) Область определения функции $f(x) = \sqrt[10]{2x-7} - 3$ задается условием $2x-7 \ge 0$, то есть $x \ge \frac{7}{2}$, так как показатель корня (10) — четное число. Выражение $\sqrt[10]{2x-7}$ всегда неотрицательно, то есть $\sqrt[10]{2x-7} \ge 0$. Его наименьшее значение равно 0 и достигается при $x=\frac{7}{2}$. Следовательно, наименьшее значение всей функции составляет:
$f_{min} = 0 - 3 = -3$.
Ответ: -3.

г) Область определения функции $f(x) = 3\sqrt[8]{x} + 5$ задается условием $x \ge 0$, так как показатель корня (8) — четное число. Выражение $\sqrt[8]{x}$ всегда неотрицательно, $\sqrt[8]{x} \ge 0$. Его наименьшее значение равно 0 и достигается при $x=0$. Так как множитель 3 положителен, наименьшее значение слагаемого $3\sqrt[8]{x}$ также равно $3 \cdot 0 = 0$. Следовательно, наименьшее значение всей функции составляет:
$f_{min} = 0 + 5 = 5$.
Ответ: 5.

Помогло решение? Оставьте отзыв в комментариях ниже.

Присоединяйтесь к Телеграм-группе @gdz_by_belarus

Присоединиться

Мы подготовили для вас ответ c подробным объяснением домашего задания по алгебре за 10 класс, для упражнения номер 2.202 расположенного на странице 199 к учебнику 2019 года издания для учащихся школ и гимназий.

Теперь на нашем сайте ГДЗ.ТОП вы всегда легко и бесплатно найдёте условие с правильным ответом на вопрос «Как решить ДЗ» и «Как сделать» задание по алгебре к упражнению №2.202 (с. 199), авторов: Арефьева (Ирина Глебовна), Пирютко (Ольга Николаевна), учебного пособия издательства Народная асвета.