Номер 2.31, страница 169 - гдз по алгебре 10 класс учебник Арефьева, Пирютко

Алгебра, 10 класс Учебник, авторы: Арефьева Ирина Глебовна, Пирютко Ольга Николаевна, издательство Народная асвета, Минск, 2019, голубого цвета

Авторы: Арефьева И. Г., Пирютко О. Н.

Тип: Учебник

Издательство: Народная асвета

Год издания: 2019 - 2026

Цвет обложки: голубой с графиком

Допущено Министерством образования Республики Беларусь

Популярные ГДЗ в 10 классе

Глава 2. Корень n-й степени из числа. Параграф 13. Корень n-й степени из числа а (n≥2, n∈N) - номер 2.31, страница 169.

№2.31 (с. 169)
Условие. №2.31 (с. 169)
скриншот условия
Алгебра, 10 класс Учебник, авторы: Арефьева Ирина Глебовна, Пирютко Ольга Николаевна, издательство Народная асвета, Минск, 2019, голубого цвета, страница 169, номер 2.31, Условие

2.31. Выполните действия:

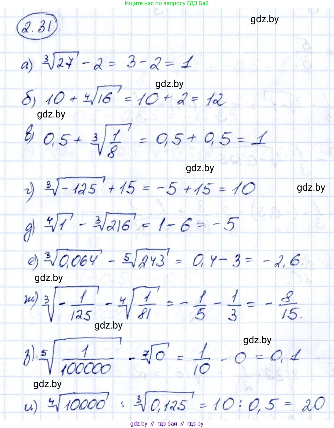
а) $\sqrt[3]{27} - 2;$

б) $10 + \sqrt[4]{16};$

в) $0,5 + 3\sqrt[3]{\frac{1}{8}};$

г) $\sqrt[3]{-125} + 15;$

д) $\sqrt[4]{1} - \sqrt[3]{216};$

е) $\sqrt[3]{0,064} - \sqrt[5]{243};$

ж) $3\sqrt[3]{\frac{1}{125}} - 4\sqrt[4]{\frac{1}{81}};$

з) $\sqrt[5]{\frac{1}{100000}} - \sqrt[7]{0};$

и) $\sqrt[4]{10000} : \sqrt[3]{0,125};$

к) $-\sqrt[5]{0,00001} : \sqrt[3]{-8};$

л) $\sqrt[4]{\frac{81}{625}} \cdot \sqrt[5]{0,00032};$

м) $\sqrt[5]{-7\frac{19}{32}} \cdot \sqrt[3]{27000}.$

Решение. №2.31 (с. 169)
Алгебра, 10 класс Учебник, авторы: Арефьева Ирина Глебовна, Пирютко Ольга Николаевна, издательство Народная асвета, Минск, 2019, голубого цвета, страница 169, номер 2.31, Решение Алгебра, 10 класс Учебник, авторы: Арефьева Ирина Глебовна, Пирютко Ольга Николаевна, издательство Народная асвета, Минск, 2019, голубого цвета, страница 169, номер 2.31, Решение (продолжение 2)
Решение 2. №2.31 (с. 169)

а) $\sqrt[3]{27} - 2$
Для решения данного примера необходимо сначала извлечь кубический корень из 27, а затем вычесть 2.
1. Находим кубический корень из 27. Так как $3^3 = 3 \cdot 3 \cdot 3 = 27$, то $\sqrt[3]{27} = 3$.
2. Выполняем вычитание: $3 - 2 = 1$.
Ответ: 1.

б) $10 + \sqrt[4]{16}$
Сначала извлекаем корень четвертой степени из 16, а затем прибавляем 10.
1. Находим корень четвертой степени из 16. Так как $2^4 = 2 \cdot 2 \cdot 2 \cdot 2 = 16$, то $\sqrt[4]{16} = 2$.
2. Выполняем сложение: $10 + 2 = 12$.
Ответ: 12.

в) $0,5 + \sqrt[3]{\frac{1}{8}}$
Сначала извлекаем кубический корень из дроби, а затем выполняем сложение.
1. Находим кубический корень из $\frac{1}{8}$. Так как $(\frac{1}{2})^3 = \frac{1^3}{2^3} = \frac{1}{8}$, то $\sqrt[3]{\frac{1}{8}} = \frac{1}{2}$.
2. Преобразуем дробь $\frac{1}{2}$ в десятичную: $\frac{1}{2} = 0,5$.
3. Выполняем сложение: $0,5 + 0,5 = 1$.
Ответ: 1.

г) $\sqrt[3]{-125} + 15$
Извлекаем кубический корень из отрицательного числа, а затем прибавляем 15.
1. Находим кубический корень из -125. Так как $(-5)^3 = (-5) \cdot (-5) \cdot (-5) = -125$, то $\sqrt[3]{-125} = -5$.
2. Выполняем сложение: $-5 + 15 = 10$.
Ответ: 10.

д) $\sqrt[4]{1} - \sqrt[3]{216}$
Извлекаем каждый корень по отдельности, а затем выполняем вычитание.
1. Находим корень четвертой степени из 1: $\sqrt[4]{1} = 1$, так как $1^4=1$.
2. Находим кубический корень из 216: $\sqrt[3]{216} = 6$, так как $6^3 = 216$.
3. Выполняем вычитание: $1 - 6 = -5$.
Ответ: -5.

е) $\sqrt[3]{0,064} - \sqrt[5]{243}$
Извлекаем каждый корень, а затем выполняем вычитание.
1. Находим кубический корень из 0,064. Так как $0,4^3 = 0,064$, то $\sqrt[3]{0,064} = 0,4$.
2. Находим корень пятой степени из 243. Так как $3^5 = 243$, то $\sqrt[5]{243} = 3$.
3. Выполняем вычитание: $0,4 - 3 = -2,6$.
4. Представим результат в виде смешанной дроби: $-2,6 = -2\frac{6}{10} = -2\frac{3}{5}$.
Ответ: $-2\frac{3}{5}$.

ж) $\sqrt[3]{\frac{1}{125}} - \sqrt[4]{\frac{1}{81}}$
Извлекаем корни из дробей, а затем вычитаем полученные значения.
1. Находим кубический корень из $\frac{1}{125}$: $\sqrt[3]{\frac{1}{125}} = \frac{1}{5}$, так как $(\frac{1}{5})^3 = \frac{1}{125}$.
2. Находим корень четвертой степени из $\frac{1}{81}$: $\sqrt[4]{\frac{1}{81}} = \frac{1}{3}$, так как $(\frac{1}{3})^4 = \frac{1}{81}$.
3. Выполняем вычитание дробей, приводя их к общему знаменателю 15: $\frac{1}{5} - \frac{1}{3} = \frac{3}{15} - \frac{5}{15} = \frac{3-5}{15} = -\frac{2}{15}$.
Ответ: $-\frac{2}{15}$.

з) $\sqrt[5]{\frac{1}{100000}} - \sqrt[7]{0}$
Вычисляем значения корней и выполняем вычитание.
1. Находим корень пятой степени из $\frac{1}{100000}$: $\sqrt[5]{\frac{1}{100000}} = \frac{1}{10}$, так как $(\frac{1}{10})^5 = \frac{1}{100000}$.
2. Находим корень седьмой степени из 0: $\sqrt[7]{0} = 0$.
3. Выполняем вычитание: $\frac{1}{10} - 0 = \frac{1}{10}$.
Ответ: $\frac{1}{10}$.

и) $\sqrt[4]{10000} : \sqrt[3]{0,125}$
Находим значения корней, а затем выполняем деление.
1. Находим корень четвертой степени из 10000: $\sqrt[4]{10000} = 10$, так как $10^4 = 10000$.
2. Находим кубический корень из 0,125: $\sqrt[3]{0,125} = 0,5$, так как $0,5^3 = 0,125$.
3. Выполняем деление: $10 : 0,5 = 10 : \frac{1}{2} = 10 \cdot 2 = 20$.
Ответ: 20.

к) $-\sqrt[5]{0,00001} : \sqrt[3]{-8}$
Вычисляем значения корней с учетом знаков, а затем выполняем деление.
1. Находим значение первого выражения: $-\sqrt[5]{0,00001} = -0,1$, так как $0,1^5 = 0,00001$.
2. Находим значение второго выражения: $\sqrt[3]{-8} = -2$, так как $(-2)^3 = -8$.
3. Выполняем деление: $-0,1 : (-2) = \frac{-1/10}{-2} = \frac{1}{20}$.
Ответ: $\frac{1}{20}$.

л) $\sqrt[4]{\frac{81}{625}} \cdot \sqrt[5]{0,00032}$
Вычисляем значения корней, а затем выполняем умножение.
1. Находим корень четвертой степени из $\frac{81}{625}$: $\sqrt[4]{\frac{81}{625}} = \frac{\sqrt[4]{81}}{\sqrt[4]{625}} = \frac{3}{5}$.
2. Находим корень пятой степени из 0,00032: $\sqrt[5]{0,00032} = 0,2$, так как $0,2^5 = 0,00032$.
3. Выполняем умножение: $\frac{3}{5} \cdot 0,2 = \frac{3}{5} \cdot \frac{2}{10} = \frac{3}{5} \cdot \frac{1}{5} = \frac{3}{25}$.
Ответ: $\frac{3}{25}$.

м) $\sqrt[5]{-7\frac{19}{32}} \cdot \sqrt[3]{27000}$
Вычисляем значения корней, а затем выполняем умножение.
1. Преобразуем смешанное число в неправильную дробь: $-7\frac{19}{32} = -\frac{7 \cdot 32 + 19}{32} = -\frac{224+19}{32} = -\frac{243}{32}$.
2. Находим корень пятой степени: $\sqrt[5]{-\frac{243}{32}} = -\frac{\sqrt[5]{243}}{\sqrt[5]{32}} = -\frac{3}{2}$.
3. Находим кубический корень из 27000: $\sqrt[3]{27000} = \sqrt[3]{27 \cdot 1000} = 3 \cdot 10 = 30$.
4. Выполняем умножение: $-\frac{3}{2} \cdot 30 = -3 \cdot \frac{30}{2} = -3 \cdot 15 = -45$.
Ответ: -45.

Помогло решение? Оставьте отзыв в комментариях ниже.

Присоединяйтесь к Телеграм-группе @gdz_by_belarus

Присоединиться

Мы подготовили для вас ответ c подробным объяснением домашего задания по алгебре за 10 класс, для упражнения номер 2.31 расположенного на странице 169 к учебнику 2019 года издания для учащихся школ и гимназий.

Теперь на нашем сайте ГДЗ.ТОП вы всегда легко и бесплатно найдёте условие с правильным ответом на вопрос «Как решить ДЗ» и «Как сделать» задание по алгебре к упражнению №2.31 (с. 169), авторов: Арефьева (Ирина Глебовна), Пирютко (Ольга Николаевна), учебного пособия издательства Народная асвета.